2. 宁夏医科大学总医院超声科,银川 750004;
3. 宁夏医科大学总医院重症医学科,银川 750004
2. Ultrasonic Department of General Hospital of Ningxia Medical University, Yinchuan 750004, China;
3. General Hospital of Ningxia Medical University, Yinchuan 750004, China
ICU机械通气患者60%~80%发生膈肌功能障碍,增加患者机械通气时间和不良预后,且危重患者膈肌功能障碍发生率是肢体肌肉无力的两倍[1-2]。感染是危重患者膈肌功能障碍发生最主要的危险因素[3]。脓毒症是全身性感染,研究脓毒症患者膈肌功能具有重要意义。目前临床评估膈肌功能的金标准是跨膈压[4],但其测定耗材昂贵,技术要求高。床旁超声因具有无创、可反复监测等优点成为膈肌功能评价的新技术。本研究拟使用床旁超声评估脓毒症及感染性休克患者膈肌功能,评估其与疾病严重程度和预后的关系,并初步探讨脓毒症患者膈肌功能障碍的危险因素。
1 资料与方法 1.1 研究对象及分组本研究为前瞻性观察性研究,纳入2020年1月至2021年5月入住宁夏医科大学总医院ICU脓毒症和感染性休克患者为研究对象,同期入住ICU的普通术后患者为术后对照组,并纳入年龄、性别与其他三组匹配的健康志愿者为正常对照组。脓毒症和感染性休克诊断标准采用“Sepsis-3.0”定义[5];纳入标准:⑴年龄≥18周岁;⑵诊断为脓毒症或感染性休克24 h内。排除标准:⑴妊娠状态;⑵年龄 < 18周岁;⑶既往有神经肌肉疾病史;⑷颈脊髓损伤;⑸慢性阻塞性肺疾病;⑹肋骨骨折及腹腔高压综合征。本研究经宁夏医科大学总医院伦理审查委员会批准(审批号:KYLL-2021-388),所有研究对象均获取书面知情同意书。
1.2 观察指标 1.2.1 一般临床资料本研究收集资料包括⑴年龄、性别、基础疾病、入ICU 24 h内的急性生理学与慢性健康状况(acute physiology and chronic health evaluation, APACHE)-Ⅱ评分、预计病死率(根据APACHEⅡ评分计算)、序贯器官衰竭评分(sequential organ failure assessment, SOFA)等;⑵手术相关:术中肌松药剂量及类型、手术时间、部位及方式;⑶预后指标:机械通气时间、ICU留治时间、28 d生存情况及总住院时间。
1.2.2 炎症、内脏蛋白与组织灌注指标脓毒症和感染性休克患者入ICU第1、3、7天采外周静脉血测定超敏C反应蛋白(high sensitive c-reactive protein, hs-CRP)、白细胞介素-6(interleukin-6, IL-6),以及血清白蛋白、转铁蛋白、前白蛋白水平。采外周动脉血和中心静脉血行血气分析检测,获得血乳酸(lactate, Lac)水平、动静脉二氧化碳分压差(Pcv-aCO2)、中心静脉血氧饱和度(ScvO2)。术后对照组仅于入ICU第1天内测定上述指标。hs-CRP、血清白蛋白、转铁蛋白及前白蛋白用德国西门子公司BNII全自动蛋白分析仪采用免疫散射比浊法测定,IL-6用瑞士罗氏公司cobas8000全自动化学分析仪采用电化学发光法测定。
1.2.3 间接测热法测量静息能量消耗(measured resting energy expenditure, MREE)脓毒症和感染性休克患者入ICU第1、3、7天用Engstrom Carestation(美国GE公司)呼吸机由呼吸治疗师测量MREE水平。测量前1 h禁止行引起患者能量消耗波动的操作,且患者呼吸平稳,记录5个值取平均值。计算MREE水平与实际给予能量的差值(即能量缺失值)。
1.2.4 床旁超声评估膈肌功能脓毒症和感染性休克患者入ICU第1、3、7天,术后对照组入ICU第1天由同一位超声科医师使用美国GE超声诊断仪(型号为LOGIQ C5/C5 PRO, )测量。本研究统一测量右侧膈肌,测量时床头抬高30°,呼吸机CPAP模式,PEEP 5 cmH2O(1 cmH2O=0.098 kPa)[6]。测量具体方法参照[7-8](如图 1、2)。测量同一呼吸周期内膈肌移动度(diaphragmatic excursion,DE)、吸气末膈肌厚度(DTei)及呼气末膈肌厚度(DTee),测量3次取平均值。DE < 10 mm或出现膈肌矛盾运动诊断膈肌功能障碍[9]。计算膈肌增厚分数(DTF)、膈肌浅快呼吸指数(D-RSBI)及膈肌增厚浅快呼吸指数(DT-RSBI),具体公式如下:DTF =(DTei−DTee)/DTee×100%,D-RSBI=呼吸频率(RR)/DE,DT-RSBI=RR/DTF。McCool等[10]提出DTee≤2 mm,DTF < 20%提示膈肌功能障碍。
|
| A:感染性休克患者;B:脓毒症患者;C:术后患者;D:健康志愿者 图 1 膈肌移动度 Fig 1 Diaphragmatic excursion |
|
|
|
| A:感染性休克患者;B:脓毒症患者;C:术后患者;D:健康志愿者 图 2 膈肌厚度 Fig 2 Diaphragmatic thickness |
|
|
采用SPSS 26.0软件进行数据分析,计量资料进行正态性检验及方差齐性检验,正态分布及方差齐的计量资料以均数±标准差(x±s)表示,多组间比较均数采用单因素方差分析,两两比较采用LSD-t检验或Bonferroni检验;非正态分布的计量资料以中位数(四分位间距)[M(Q1,Q3)]表示,多个样本比较采用Kruskal-Wallis H检验,两两比较采用Wilcoxon秩和检验,并对检验水准进行校正;计数资料以频数(率)表示,多组间比较采用χ2检验。相关分析采用Pearson相关性分析。以P < 0.05为差异具有统计学意义。
2 结果 2.1 四组间一般资料比较四组间年龄、性别、基础疾病构成比差异无统计学意义;手术患者术中肌松药使用剂量、手术方式差异无统计学意义(均P>0.05)。脓毒症组和感染性休克组腹部手术比例高于术后对照组(均P < 0.05)。感染性休克组高乳酸血症持续时间、APACHE Ⅱ评分、预计病死率均高于脓毒症组和术后对照组;机械通气时间、住ICU时间、28 d病死率高于术后对照组(均P < 0.05)。脓毒症组仅住ICU时间高于术后对照组(P < 0.05),其余差异无统计学意义(均P>0.05)。见表 1。
| 指标 | 感染性休克组 (n=49) |
脓毒症组 (n=31) |
术后对照组 (n=30) |
正常对照组 (n=15) |
F/χ2/H/Z值 | P值 |
| 年龄(岁)a | 64.8±14.2 | 56.5±17.4 | 64.1±16.1 | 58.9±5.8 | 2.431 | 0.068 |
| 男(例,%) | 27(55.1) | 23(74.2) | 19(63.3) | 10(66.7) | 2.967 | 0.227 |
| 基础疾病(例,%) | ||||||
| 冠心病 | 4(8.2) | 2(6.5) | 4(13.3) | 0(0.0) | 2.567 | 0.463 |
| 高血压病 | 17(34.7) | 9(29.0) | 8(26.7) | 6(40.0) | 2.122 | 0.772 |
| 糖尿病 | 5(10.2) | 4(12.9) | 4(13.3) | 1(6.7) | 0.587 | 0.901 |
| 手术相关b | ||||||
| 肌松药剂量(mg) | 112.5(63.8, 150.0) | 105(67.5, 137.5) | 130.0(100.0, 152.5) | — | 3.621 | 0.164 |
| 手术持续时间(h) | 3.3(2.0, 4.1)c | 3.5(2.3, 6.0) | 4.0(3.0, 5.5) | — | 8.482 | 0.014 |
| 手术部位(例,%) | ||||||
| 腹部 | 33(86.8)c | 19(95.0)c | 20(66.7) | — | 7.612 | 0.022 |
| 颈部 | 0(0.0) | 0(0.0) | 2(6.7) | — | 0.451 | 0.294 |
| 胸部 | 2(5.3) | 1(5.0) | 0(0.0) | — | 1.589 | 0.452 |
| 四肢 | 3(7.9) | 0(0.0) | 3(10.0) | — | 2.105 | 0.349 |
| 手术方式(例,%) | ||||||
| 开腹 | 25(65.8) | 14(66.7) | 14(46.7) | — | 3.123 | 0.211 |
| 腔镜 | 4(10.5) | 2(9.5) | 6(20.0) | — | 1.659 | 0.436 |
| 高乳酸持续时间(h)b | 24.0(8.0, 72.0)cd | 0.0(0.0, 4.0) | 0.0(0.0, 2.0) | — | 28.042 | < 0.001 |
| 机械通气时间(h)b | 87.0(32.5, 148.5)c | 40.0(0.0, 110.0) | 20.1(11.0, 40.0) | — | 13.962 | 0.001 |
| 住ICU时间(d)b | 5.0(3.0, 10.5)c | 5.0(3.0, 11.0)c | 1.0(1.0, 2.3) | — | 34.354 | < 0.001 |
| 总住院时间(d)b | 17.0(11.0, 25.5) | 21.0(11.0, 27.0) | 18.0(15.0, 25.0) | — | 1.406 | 0.495 |
| SOFA评分(分)b | 9.0(7.0, 11.5)d | 5.0(3.0, 7.0) | — | — | 27.988 | < 0.001 |
| APACHEⅡ评分(分)b | 17.0(14.0, 21.0)cd | 12.0(9.0, 17.0) | 10.0(8.0, 13.3) | — | 30.349 | < 0.001 |
| 预计病死率(%)b | 0.26(0.19, 0.41)cd | 0.16(0.10, 0.32) | 0.11(0.09, 0.19) | — | 22.265 | < 0.001 |
| 28 d病死率(例,%) | 8(16.3)c | 1(3.2) | 0(0.0) | — | 8.014 | 0.018 |
| 注:SOFA评分为序贯器官衰竭评分;APACHE Ⅱ评分为急性生理学与慢性健康状况评分Ⅱ;a为x±s,b为M(Q1,Q3);与术后对照组比较,cP < 0.05;与脓毒症组比较,dP < 0.05 | ||||||
入ICU第1天,感染性休克组、脓毒症组及术后对照组DE均低于正常对照组,DTF < 20%发生率均高于正常对照组(均P < 0.05)。感染性休克组和脓毒症组DE < 10 mm发生率高于正常对照组和术后对照组(均P < 0.05),DTF < 20%发生率与术后对照组比较差异无统计学意义(均P>0.05)。见表 2。
| 指标 | 感染性休克组 (n=49) |
脓毒症组 (n=31) |
术后对照组 (n=30) |
正常对照组 (n=15) |
H/χ2值 | P值 |
| DE(mm)a | 10.3(9.0, 13.6)c | 12.3(9.1, 15.0)c | 12.9(10.5, 15.7)c | 22.0(16.0, 24.6) | 25.652 | < 0.001 |
| DTei(mm)a | 2.5(2.2, 2.9) | 2.4(2.0, 2.9) | 2.4(2.1, 2.7) | 2.6(2.5, 2.8) | 5.168 | 0.160 |
| DTee(mm)a | 2.0(1.8, 2.4) | 1.9(1.7, 2.3) | 2.0(1.7, 2.2) | 2.1(2.0, 2.2) | 3.322 | 0.345 |
| DTF(%)a | 24.6(16.2, 31.7) | 20.8(12.4, 31.6) | 23.0(17.2, 28.9) | 23.8(22.3, 40.1) | 4.141 | 0.247 |
| D-RSBI[次/(min·mm)]a | 1.36(0.92, 1.97) | 1.55(1.96, 2.28) | 1.21(0.88, 1.47) | _ | 4.408 | 0.110 |
| DT-RSBI[次/(min·%)]a | 62.8(48.2, 89.2) | 75.0(52.5, 159.6) | 62.9(52.0, 92.2) | _ | 2.575 | 0.276 |
| DE < 10 mm发生情况(例,%) | 18(36.7)bc | 11(35.5)bc | 3(10.0) | 0(0.0) | 13.774 | 0.003 |
| DTee≤2 mm发生情况(例,%) | 21(42.9) | 17(54.8) | 14(46.7) | 2(13.3) | 7.314 | 0.063 |
| DTF < 20%发生情况(例,%) | 16(32.7)c | 13(41.9)c | 10(33.3)c | 0(0.0) | 8.579 | 0.035 |
| 注:DE为膈肌移动度,DTei为吸气末厚度,DTee为呼气末厚度,DTF为膈肌增厚分数,D-RSBI为膈肌浅快呼吸指数=RR/DE,DT-RSBI为膈肌增厚浅快呼吸指数=RR/DTF;术后对照组所有膈肌指标均为脱离呼吸机前;a为M(Q1,Q3);与术后对照组比较,bP < 0.05;与正常对照组比较,cP < 0.05 | ||||||
两组于入ICU第1、3天DE、DTee、DTF及发生膈肌功能障碍的患者比例差异无统计学意义(均P>0.05)。入ICU第7天时感染性休克组DE较脓毒症组减低(P < 0.05)。见表 3。
| 项目 | 感染性休克 | 脓毒症 | Z/χ2值 | P值 |
| 第1天 | (n=49) | (n=31) | ||
| DE [mm,M(Q1,Q3)] | 10.3(9.0, 13.6) | 12.3(9.1, 15.0) | -0.672 | 0.502 |
| DTee [mm,M(Q1,Q3)] | 2.0(1.8, 2.4) | 1.9(1.7, 2.3) | -1.219 | 0.223 |
| DTF [%,M(Q1,Q3)] | 24.6(16.2, 31.7) | 20.8(12.4, 31.6) | -1.161 | 0.246 |
| DE < 10mm发生情况(例,%) | 18(36.7) | 11(35.5) | 0.013 | 0.910 |
| DTee≤2mm发生情况(例,%) | 21(42.9) | 17(54.8) | 1.093 | 0.296 |
| DTF < 20%发生情况(例,%) | 16(32.7) | 13(41.9) | 0.708 | 0.401 |
| 第3天 | (n=38) | (n=20) | ||
| DE [mm,M(Q1,Q3)] | 10.7(7.8, 14.6) | 12.5(9.2, 18.0) | -1.783 | 0.075 |
| DTee [mm,M(Q1,Q3)] | 2.0(1.7, 2.4) | 2.1(1.8, 2.6) | -1.051 | 0.293 |
| DTF [%,M(Q1,Q3)] | 25.4(18.2, 34.2) | 21.7(16.6, 33.0) | -0.417 | 0.677 |
| DE < 10mm发生情况(例,%) | 17(44.4) | 6(30.0) | 1.189 | 0.275 |
| DTee≤2mm发生情况(例,%) | 18(47.4) | 5(25.0) | 2.740 | 0.980 |
| DTF < 20%发生情况(例,%) | 11(28.9) | 9(45.0) | 1.495 | 0.222 |
| 第7天 | (n=18) | (n=6) | ||
| DE [mm,M(Q1,Q3)] | 10.5(6.8, 13.5) | 14.4(10.6, 18.6) | -1.901 | 0.048 |
| DTee [mm,M(Q1,Q3)] | 1.8(1.5, 2.2) | 2.1(1.8, 2.5) | -1.377 | 0.168 |
| DTF [%,M(Q1,Q3)] | 27.2(15.7, 34.2) | 19.9(11.9, 37.3) | 0.667 | 0.505 |
| E < 10mm发生情况(例,%) | 8(44.4) | 1(16.7) | 0.481 | 0.224 |
| DTee≤2mm发生情况(例,%) | 11(61.1) | 2(33.3) | 1.399 | 0.237 |
| DTF < 20%发生情况(例,%) | 6(33.3) | 2(50.0) | 0.533 | 0.465 |
| 注:DE为膈肌移动度,DTee为呼气末厚度,DTF为膈肌增厚分数 | ||||
感染性休克组hs-CRP和IL-6均高于术后对照组(均P < 0.05),其中hs-CRP高于脓毒症组(P < 0.05);感染性休克组转铁蛋白、前白蛋白均低于术后对照组和脓毒症组(均P < 0.05);脓毒症组仅转铁蛋白、血清白蛋白低于术后对照组(均P < 0.05)。见表 4。
| 指标 | 感染性休克组 (n=49) |
脓毒症组 (n=31) |
术后对照组 (n=30) |
H/F/Z值 | P值 |
| 炎症指标 | |||||
| hs-CRP(mg/L)a | 179.0(116.6, 266.0)cd | 135.0(26.0, 183.0) | 67.8(38.5, 127.3) | 22.375 | < 0.001 |
| IL-6(pg/mL)a | 233.4(56.3, 1 172.5)c | 232.0(118.6, 372.5) | 87.6(25.3, 213.9) | 8.612 | 0.013 |
| 内脏蛋白指标 | |||||
| 血清白蛋白(g/L)a | 26.1(23.5, 28.5)c | 27.0(24.9, 30.7)c | 31.8(27.5, 35.1) | 19.906 | < 0.001 |
| 转铁蛋白(g/L)b | 0.977±0.291cd | 1.177±0.344c | 1.596±0.399 | 31.357 | < 0.001 |
| 前白蛋白(g/L)a | 0.08(0.06, 0.10)cd | 0.10(0.07, 0.18) | 0.15(0.12, 0.18) | 28.891 | < 0.001 |
| 能量缺失值(kJ)a | 6 501.9(4 002.0, 1 3 722.5) | 523.0(315.9, 5 745.5) | - | -1.429 | 0.173 |
| 组织灌注及氧代谢指标 | |||||
| Lac(mmol/L)a | 1.9(1.3, 2.7)cd | 1.3(1.0, 18.0) | 1.4(0.9, 1.7) | 13.357 | 0.001 |
| ScvO2(%)b | 77.15±6.62 | 79.19±9.88 | 75.77±9.32 | 0.651 | 0.525 |
| Pcv-aCO2(mmHg)a | 4.60(2.23, 6.88) | 3.45(1.93, 6.38) | 5.70(4.35, 8.50) | 2.024 | 0.363 |
| 注:hs-CRP为超敏C反应蛋白,IL-6为白细胞介素-6,Lac为血乳酸水平,ScvO2为中心静脉血氧饱和度,Pcv-aCO2为动静脉二氧化碳分压差;a为M(Q1,Q3),b为x±s;与术后对照组比较,cP < 0.05;与脓毒症组比较,dP < 0.05 | |||||
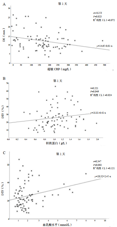
入ICU第1天,患者DE与hs-CRP呈负相关(r=-0.253,P=0.023),DTF与转铁蛋白呈正相关(r=0.221,P=0.049)。DE和DTF与IL-6、血清白蛋白、前白蛋白、能量缺失值、APACHEⅡ评分和SOFA评分均无相关关系(均P>0.05)。见图 3。
|
| A:DE与超敏CRP;B:DTF与转铁蛋白;C:DTF与血乳酸水平 图 3 DE、DTF与其他指标的相关性散点图(第1天) Fig 3 Correlation scatter plot of DE, DTF and other indicators (Day1) |
|
|
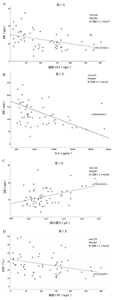
入ICU第3天,患者DE与hs-CRP及IL-6呈负相关(r分别为-0.436、-0.338,P值分别为0.001、0.009),DE与前白蛋白呈正相关(r=0.318,P=0.015);患者DTF仅与hs-CRP呈负相关(r=-0.375,P=0.004);DE和DTF与其他指标均无相关关系(均P>0.05)。见图 4。
|
| A:DE与超敏CRP;B:DE与IL-6;C:DE与前白蛋白;D:DTF与超敏CRP 图 4 DE、DTF与其他指标的相关性散点图(第3天) Fig 4 Correlation scatter plot of DE, DTF and other indicators (Day3) |
|
|
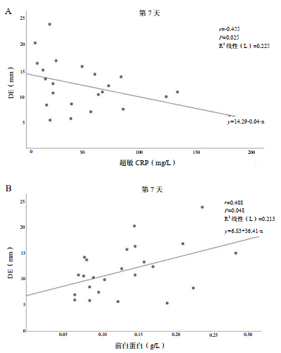
入ICU第7天,DE仍与hs-CRP呈负相关(r=-0.455,P=0.025),而与前白蛋白呈正相关(r=0.408,P=0.048), 与其他指标均无相关关系(均P>0.05),见图 5。血Lac仅在患者入ICU第1天与DTF呈正相关(r=0.347,P=0.002,见图 3C),其他时相Lac水平与膈肌功能指标均无相关关系(均P>0.05)。
|
| A:DE与超敏CRP;B:DE与前白蛋白 图 5 DE与其他指标的相关性散点图(第7天) Fig 5 Correlation scatter plot of DE and other indicators (Day7) |
|
|
脓毒症膈肌功能障碍在ICU很普遍,Jung等[11]用CT成像测量脓毒症患者膈肌体积,并刺激膈神经评估膈肌收缩强度,发现与非脓毒症患者相比,脓毒症患者更容易出现膈肌变薄和肌力下降,但该监测设备要求高,操作复杂,不适用于重症患者。本研究采用无创床旁超声评估脓毒症及感染性休克患者膈肌功能,发现在入ICU 24 h内DE和DTF已降低,提示脓毒症患者早期即出现膈肌功能障碍。韩铭欣等[12]发现脓毒症患者在诊断脓毒症7 d内出现膈肌功能障碍,而本研究发现入ICU第1天,脓毒症和感染性休克患者DE < 10 mm的发生率分别为35.5%和36.7%;DTF < 20%的发生率分别为41.9%和32.7%,提示发生膈肌功能障碍的时间更早。Lu等[13]发现入ICU 24 h内机械通气脓毒症组较机械通气非脓毒症组DTF减低,膈肌厚度无差异,与本研究结果一致,提示脓毒症患者早期膈肌功能障碍可能主要表现为膈肌收缩能力减低,而非膈肌萎缩。
本研究还动态随访膈肌功能随住院时间延长的变化,发现感染性休克组入ICU第3天DE较脓毒症组降低,但差异无统计学意义;入ICU第7天DE低于脓毒症组,但两组患者DTee和DTF随住院时间延长均差异无统计学意义,提示脓毒症患者随疾病加重和住院时间延长,膈肌功能障碍更明显,且DE较DTF反映脓毒症患者膈肌功能障碍更有意义。既往研究亦提出DE对预测成功脱机更具意义[14-15]。
本研究动态评估脓毒症及感染性休克患者膈肌功能障碍的影响因素,发现入ICU第1、3、7天其DE均与当天的hs-CRP呈负相关。第3天,DTF亦与hs-CRP呈负相关,同时DE与IL-6呈负相关,提示脓毒症及感染性休克患者体内炎症反应强度与其膈肌功能障碍程度相关。Maes等[16]在脓毒症大鼠模型中证实,促炎细胞因子可抑制膈肌肌肉收缩力,支持本研究结果。本研究还发现入ICU第1天,DTF与转铁蛋白呈正相关;第3、7天,DE与前白蛋白呈正相关,提示脓毒症早期存在的蛋白质高分解代谢,参与膈肌功能障碍。而DE和DTF与第1、3天的能量缺失值无相关关系,考虑脓毒症患者蛋白质高分解代谢比能量水平更影响膈肌功能。Jaber等[17]研究机械通气患者的膈肌功能,发现膈肌功能障碍患者较膈肌功能正常患者体内蛋白分解增加。Levine等[18]研究也证实膈肌收缩功能下降与蛋白分解有关。动物研究发现,脓毒症时泛素连接酶相关基因肌肉萎缩因子和肌肉环指蛋白增加了膈肌纤维蛋白降解[16]。
本研究未发现感染性休克组与脓毒症组间的ScvO2、Pcv-aCO2有差异,仅Lac感染性休克组增高,考虑与样本例数少,数据离散趋势大有关。且未发现组织灌注和氧代谢异常参与膈肌功能障碍的发生。相反,脓毒症和感染性休克患者DTF与入ICU第1天Lac呈正相关,考虑与酸中毒刺激呼吸中枢,导致膈肌运动增强有关。
本研究随住院时间延长,样本例数逐渐减少, 存在样本量小的不足,且本研究缺乏超声评估膈肌功能与金标准跨膈压的比较。因此需大样本、多中心研究进一步验证本研究结果。
综上所述,本研究提示脓毒症与感染性休克患者入住ICU首日已出现膈肌功能障碍,主要表现为膈肌移动度及膈肌增厚分数减低。脓毒症或感染性休克患者膈肌功能障碍可能与炎症反应程度和蛋白质高分解代谢相关,与能量缺失程度无关。
利益冲突 所有作者声明无利益冲突
作者贡献声明 马金兰:设计及实施研究、论文撰写;杨光飞、杨红晓、李灿:实施研究、数据采集及分析;曹相原:支持性贡献;王晓红:研究设计、论文修改
| [1] | Dres M, Dubé BP, Mayaux J, et al. Coexistence and impact of limb muscle and diaphragm weakness at time of liberation from mechanical ventilation in medical intensive care unit patients[J]. Am J Respir Crit Care Med, 2017, 195(1): 57-66. DOI:10.1164/rccm.201602-0367OC |
| [2] | Supinski GS, Morris PE, Dhar S, et al. Diaphragm dysfunction in critical illness[J]. Chest, 2018, 153(4): 1040-1051. DOI:10.1016/j.chest.2017.08.1157 |
| [3] | Supinski GS, Alimov AP, Wang L, et al. Calcium-dependent phospholipase A2 modulates infection-induced diaphragm dysfunction[J]. Am J Physiol Lung Cell Mol Physiol, 2016, 310(10): L975-L984. DOI:10.1152/ajplung.00312.2015 |
| [4] | American Thoracic Society/European Respiratory Society. ATS/ERS Statement on respiratory muscle testing[J]. Am J Respir Crit Care Med, 2002, 166(4): 518-624. DOI:10.1164/rccm.166.4.518 |
| [5] | Singer M, Deutschman CS, Seymour CW, et al. The third international consensus definitions for sepsis and septic shock (Sepsis-3)[J]. JAMA, 2016, 315(8): 801-810. DOI:10.1001/jama.2016.0287 |
| [6] | Dong ZH, Liu Y, Gai YB, et al. Early rehabilitation relieves diaphragm dysfunction induced by prolonged mechanical ventilation: A randomised control study[J]. BMC Pulm Med, 2021, 21(1): 106. DOI:10.1186/s12890-021-01461-2 |
| [7] | Ayoub J, Cohendy R, Dauzat M, et al. Non-invasive quantification of diaphragm kinetics using m-mode sonography[J]. J Can D'anesthesie, 1997, 44(7): 739-744. DOI:10.1007/BF03013389 |
| [8] | Goligher EC, Laghi F, Detsky ME, et al. Measuring diaphragm thickness with ultrasound in mechanically ventilated patients: Feasibility, reproducibility and validity[J]. Intensive Care Med, 2015, 41(4): 734. DOI:10.1007/s00134-015-3724-2 |
| [9] | Kim WY, Suh HJ, Hong SB, et al. Diaphragm dysfunction assessed by ultrasonography: Influence on weaning from mechanical ventilation[J]. Crit Care Med, 2011, 39(12): 2627-2630. DOI:10.1097/CCM.0b013e3182266408 |
| [10] | McCool FD, Tzelepis GE. Dysfunction of the diaphragm[J]. N Engl J Med, 2012, 366(10): 932-942. DOI:10.1056/NEJMra1007236 |
| [11] | Jung B, Nougaret S, Conseil M, et al. Sepsis is associated with a preferential diaphragmatic atrophy: A critically ill patient study using tridimensional computed tomography[J]. Anesthesiology, 2014, 120(5): 1182-1191. DOI:10.1097/ALN.0000000000000201 |
| [12] | 韩铭欣, 潘萌萌, 宋维, 等. 床旁超声评估脓毒症患者膈肌的形态与功能研究[J]. 中华结核和呼吸杂志, 2020, 43(1): 35-39. DOI:10.3760/cma.j.issn.1001-0939.2020.01.009 |
| [13] | Lu ZH, Ge HQ, Xu LL, et al. Alterations in diaphragmatic function assessed by ultrasonography in mechanically ventilated patients with sepsis[J]. J Clin Ultrasound, 2019, 47(4): 206-211. DOI:10.1002/jcu.22690 |
| [14] | Farghaly S, Hasan AA. Diaphragm ultrasound as a new method to predict extubation outcome in mechanically ventilated patients[J]. Aust Crit Care, 2017, 30(1): 37-43. DOI:10.1016/j.aucc.2016.03.004 |
| [15] | 郑清江, 石松菁, 邱陆阵, 等. 肺部超声B线评分联合膈肌移动度在预测撤机成功率的价值研究[J]. 中华急诊医学杂志, 2019, 28(4): 532-536. DOI:10.3760/cma.j.issn.1671-0282.2019.04.027 |
| [16] | Maes K, Stamiris A, Thomas D, et al. Effects of controlled mechanical ventilation on sepsis-induced diaphragm dysfunction in rats[J]. Crit Care Med, 2014, 42(12): e772-e782. DOI:10.1097/CCM.0000000000000685 |
| [17] | Jaber S, Petrof BJ, Jung B, et al. Rapidly progressive diaphragmatic weakness and injury during mechanical ventilation in humans[J]. Am J Respir Crit Care Med, 2011, 183(3): 364-371. DOI:10.1164/rccm.201004-0670OC |
| [18] | Levine S, Biswas C, Dierov J, et al. Increased proteolysis, myosin depletion, and atrophic AKT-FOXO signaling in human diaphragm disuse[J]. Am J Respir Crit Care Med, 2011, 183(4): 483-490. DOI:10.1164/rccm.200910-1487OC |
2022, Vol. 31



