急诊气管插管(endotracheal intubation, ETI)后最常见和最严重的致命并发症之一是严重循环崩溃(cardiovascular collapse, CVC)[1]。有研究表明急诊ETI后发生严重CVC并不少见,每1 000例急诊插管患者中即有110例发生[2]。ETI后严重CVC是急诊ETI患者不良事件和病死率增加的主要危险因素[3-4]。因此,在ETI后早期对严重CVC的预警并及时干预是避免其发生的关键。然而目前临床缺乏对于严重CVC的预警指标。血压和呼气末二氧化碳(end expiratory carbon dioxide,ETCO2)是急诊科常用的监测指标,其监测方便,应用广泛[5-6]。平均动脉压(mean arterial pressure, MAP)是循环监测的主要指标之一,ETCO2也很早就被发现和循环状态密切相关[7]。因此,本研究希望通过分析急诊ETI后发生严重CVC患者的MAP及ETCO2的变化特点,来探讨急诊ETI后监测MAP和ETCO2对于严重CVC的预测价值。
1 资料与方法 1.1 一般资料2015年3月至2020年5月在北京协和医院急诊科行急诊ETI成人患者按时间顺序纳入本研究。纳入标准:⑴年龄≥18岁;⑵急诊行ETI患者。排除标准:⑴急诊ETI前即存在血流动力学不稳定的情况,如已存在休克、心搏骤停、使用血管活性药物;⑵孕妇;⑶急诊ETI后未在急诊科继续监护治疗;⑷不同意参与本项研究者。根据患者急诊ETI后是否发生严重CVC分为严重CVC组和无严重CVC组。严重CVC定义为急诊ETI后血流动力学不稳定,即尽管静脉补充晶体液500~1 000 mL和(或)在应用血管活性药物的情况下,收缩压≤65 mmHg(1 mmHg=0.133 kPa)至少记录一次和(或)收缩压≤90 mmHg持续≥30 min[1]。
1.2 伦理及知情同意本研究为观察性、非干预性设计,已通过中国医学科学院北京协和医院伦理审查委员会批准(伦理审批文件编号:S-559)。所有被纳入研究患者的授权委托人均签署知情同意书。
1.3 研究方法 1.3.1 一般临床资料收集本研究为前瞻性观察性研究。对ETI前患者的临床资料进行收集记录。ETI前的临床资料包括性别、年龄、急诊就诊原因、基础疾病、急诊ETI原因及生命体征。
1.3.2 ETI实施方法若患者临床条件允许,常规采用快速诱导ETI(rapid sequence intubation, RSI)[8]。先对患者进行预氧合,酌情给予镇痛、镇静和肌松药物后,直接或经可视喉镜暴露声门后给予ETI。如果声门不可见,按困难气道管理流程处理[9]。ETI后根据指南推荐给予吗啡联合咪唑安定和(或)丙泊酚镇痛镇静治疗[10],维持目标值为行为疼痛量表(behavior pain scale, BPS) < 5分,Richmond躁动-镇静评分(Richmond agitation-sedation scale, RASS)-3~+1分。若ETI后患者出现MAP < 65 mmHg,首先给予补充晶体液500~1 000 mL;若血压仍不能恢复,给予持续静脉泵入去甲肾上腺素,滴定剂量至血压不低于65 mmHg。
1.3.3 数据采集和分析采用监护仪(IntelliVue MP50,飞利浦,荷兰)监测无创血压,测量间隔时间5 min。采用配置旁流ETCO2监测模块的监护仪(BeneView T8, 迈瑞, 深圳)在ETI后连续监测ETCO2。观察并记录患者急诊ETI后5、10、30、60和120 min MAP和ETCO2的数值。对两组患者ETI后5、10、30、60和120 min的MAP和ETCO2的数值分别进行组间相同时间点和组内相邻前后时间点的分析比较,并将所有患者ETI后的MAP与ETCO2进行相关性分析。采用ROC曲线分析ETI后5 min和10 min的MAP及ETCO2对严重CVC的预测能力。
1.4 统计学方法使用IBM SPSS 19软件包进行统计分析。计数资料采用频数和百分率表示。用卡方检验或Fisher精确检验比较组间的分类变量。所有连续性变量进行正态分布检验,符合正态分布的连续变量用均数±标准差(Mean±SD)描述,自身前后对照用配对t检验,组间比较用独立样本t检验。而不符合正态分布的连续性变量用中位数(四分位数)[M(QL, QU)]表示,自身前后对照用Wilcoxon符号秩检验,组间比较用Mann-Whitney U检验。相关分析选用双变量相关模型,数据采用Spearman相关分析。对相关参数绘制ROC曲线并对曲线下面积进行分析比较。以P < 0.05为差异有统计学意义。
2 结果 2.1 一般情况共纳入研究患者116例,其中75(64.7%)例患者ETI后发生严重CVC。严重CVC组中以男性和高龄患者居多。两组在急诊就诊原因、基础疾病及ETI原因等方面差异无统计学意义(均P > 0.05),见表 1。
| 指标 | 全部患者(n=116) | 严重CVC组(n=75) | 无严重CVC组(n=41) | χ2/U值 | P值 |
| 年龄[岁,M(QL, QU)] | 63.50 (54.50, 71.00) | 65.00 (57.00, 72.00) | 56.00 (49.00, 67.00) | 1 049.5 | 0.005 |
| 性别(例,%) | |||||
| 男性 | 59 (50.9) | 44 (58.7) | 15 (36.6) | 5.172 | 0.023 |
| 女性 | 57 (49.1) | 31 (41.3) | 26 (63.4) | ||
| 急诊就诊原因(例,%) | |||||
| 急性呼吸衰竭 | 71(61.2) | 47 (62.7) | 24 (58.5) | 0.190 | 0.663 |
| 意识不清 | 32 (27.6) | 19 (25.3) | 13 (31.7) | 0.539 | 0.463 |
| 抽搐 | 5 (4.3) | 3 (4.0) | 2 (4.9) | - | 1.000 |
| 创伤 | 10 (8.6) | 7 (9.3) | 3 (7.3) | 0.001 | 0.981 |
| 基础疾病(例,%) | |||||
| 慢性阻塞性肺疾病 | 25 (21.6) | 19 (25.3) | 6 (14.6) | 1.795 | 0.180 |
| 糖尿病 | 65 (56.0) | 47 (62.7) | 18 (43.9) | 3.789 | 0.052 |
| 高血压 | 63 (54.3) | 40 (53.3) | 23 (56.1) | 0.082 | 0.775 |
| 气管插管原因(例,%) | |||||
| 低氧血症 | 81 (69.8) | 55 (73.3) | 26 (63.4) | 1.238 | 0.266 |
| 呼吸窘迫 | 36 (31.0) | 25 (33.3) | 11 (26.8) | 0.524 | 0.469 |
| 气道保护 | 27 (23.3) | 15 (20.0) | 12 (29.3) | 1.275 | 0.259 |
| 痰液阻塞 | 6 (5.2) | 4 (5.3) | 2 (4.9) | - | 1.000 |
| 注:CVC为循环崩溃 | |||||
急诊ETI后5 min严重CVC组MAP和ETCO2明显低于无严重CVC组[64 (57, 72) mmHg vs 80 (75.5, 89.5) mmHg;33 (30, 35) mmHg vs 41 (37, 44) mmHg, P < 0.01],见表 2。其后两组MAP和ETCO2随时间推移呈同步下降趋势(图 1~2),且下降幅度明显。ETI后10 min两组MAP和ETCO2数值均较5 min时明显降低且严重CVC组明显低于无严重CVC组;ETI后30 min较插管后10 min进一步降低并达到最低值,且严重CVC组仍明显低于无严重CVC组[48 (41, 55) mmHg vs 70 (67, 79)mmHg; 26(25, 27) mmHg vs 37.5 (35, 40.75) mmHg, P < 0.01];此后两组的MAP和ETCO2数值呈逐渐回升趋势,插管后60 min较30 min时明显回升且严重CVC组仍明显低于无严重CVC组;ETI后120 min与60 min相比MAP及ETCO2数值明显升高且严重CVC组仍明显低于无严重CVC组[65 (59, 76) mmHg vs 80 (72.5, 89) mmHg; 34(32, 36) mmHg vs 38.5 (37, 40) mmHg, P < 0.01]。
| 指标 | 全部患者(n=116) | 严重CVC组(n=75) | 无严重CVC组(n=41) | U值 | P值 |
| MAP(mmHg) | |||||
| 5 min | 70 (62, 80.75) | 64 (57, 72) | 80 (75.5, 89.5) | 427.0 | < 0.01 |
| 10 min | 62 (53, 73) | 55 (51, 63) | 75 (70, 82) | 321.5 | < 0.01 |
| 30 min | 55 (45.25, 68) | 48 (41, 55) | 70 (67, 79) | 151.5 | < 0.01 |
| 60 min | 66 (55.25, 76) | 59(52, 68) | 77 (72, 81) | 376.5 | < 0.01 |
| 120 min | 72 (61.25, 81) | 65 (59, 76) | 80 (72.5, 89) | 595.5 | < 0.01 |
| ETCO2 (mmHg) | |||||
| 5 min | 34 (31.5, 39) | 33 (30, 35) | 41 (37, 44) | 471.5 | < 0.01 |
| 10 min | 32 (29, 37.5) | 30(28, 33) | 39.5 (34, 41) | 392.5 | < 0.01 |
| 30 min | 27 (26, 35.5) | 26(25, 27) | 37.5 (35, 40.75) | 56.0 | < 0.01 |
| 60 min | 34 (29.5, 37.5) | 31(29, 34) | 38 (36, 41) | 169.5 | < 0.01 |
| 120 min | 36 (33, 38) | 34(32, 36) | 38.5 (37, 40) | 281.0 | < 0.01 |
| 注:MAP为平均动脉压;ETCO2为呼气末二氧化碳;CVC为循环崩溃 | |||||
|
| MAP为平均动脉压;和前一时间点相比,aP < 0.05 图 1 气管插管后严重CVC组和无严重CVC组平均动脉压变化 Fig 1 Changes of mean arterial pressure in the severe CVC group and non-severe CVC group after endotracheal intubation |
|
|
|
| ETCO2为呼气末二氧化碳;和前一时间点相比,aP < 0.05 图 2 气管插管后严重CVC组和无严重CVC组呼气末二氧化碳变化 Fig 2 Changes of end expiratory carbon dioxide in the severe CVC group and non-severe CVC group after endotracheal intubation |
|
|
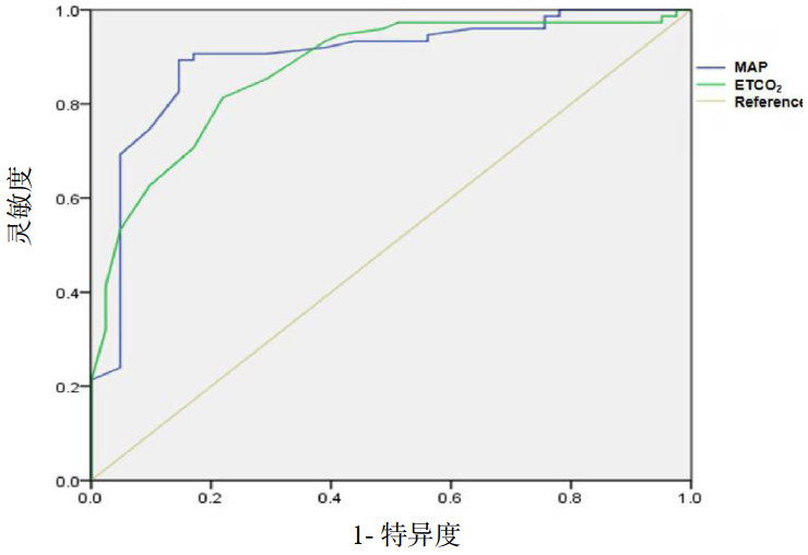
ETI后MAP和ETCO2两者数值的变化具有相关性(rs =0.653,P < 0.01),见图 3。ETI后5 min MAP可准确预测严重CVC(AUC=0.86,P < 0.01),最佳截断值为MAP≤72 mmHg(灵敏度为78.7%,特异度为87.8%)。ETI后5 min ETCO2也可准确预测严重CVC(AUC=0.85,P < 0.01),最佳截断值为ETCO2≤35 mmHg(灵敏度为77.3%,特异度为85.4%)。见图 4和表 3。ETI后10 min MAP可准确预测严重CVC(AUC=0.90,P < 0.01),最佳截断值为MAP≤67 mmHg(灵敏度为89.3%,特异度为85.4%)。ETI后10 min ETCO2也可准确预测严重CVC(AUC=0.87,P < 0.01),最佳截断值为ETCO2≤33 mmHg(灵敏度为81.3%,特异度为78%)。见图 5和表 3。
|
| MAP为平均动脉压;ETCO2为呼气末二氧化碳;aP < 0.01 图 3 116例气管插管后患者平均动脉压和呼气末二氧化碳的相关性分析 Fig 3 Correlation between mean arterial pressure and end expiratory carbon dioxide in 116 patients after endotracheal intubation |
|
|
|
| MAP为平均动脉压;ETCO2为呼气末二氧化碳 图 4 气管插管后5 min平均动脉压和呼气末二氧化碳对严重CVC预测的ROC曲线 Fig 4 ROC curve of mean arterial pressure and end expiratory carbon dioxide at 5 min after endotracheal intubation for predicting severe CVC |
|
|
| 时点 | Cut-off值 | AUC(95% CI) | 灵敏度(%) | 特异度(%) | PPV(%) | NPV(%) |
| 5 min | ||||||
| MAP | ≤72 mmHg | 0.86(0.80~0.93) | 78.7 | 87.8 | 92.2 | 69.3 |
| ETCO2 | ≤35 mmHg | 0.85(0.77~0.93) | 77.3 | 85.4 | 90.6 | 67.3 |
| 10 min | ||||||
| MAP | ≤67 mmHg | 0.90(0.83~0.96) | 89.3 | 85.4 | 91.8 | 81.4 |
| ETCO2 | ≤33 mmHg | 0.87(0.81~0.94) | 81.3 | 78.0 | 87.1 | 69.5 |
| 注:Cut-off为最佳截断值;AUC为曲线下面积;PPV为阳性预测值;NPV为阴性预测值;MAP为平均动脉压;ETCO2为呼气末二氧化碳 | ||||||
|
| MAP为平均动脉压;ETCO2为呼气末二氧化碳 图 5 气管插管后10 min平均动脉压和呼气末二氧化碳对严重CVC预测的ROC曲线 Fig 5 ROC curve of mean arterial pressure and end expiratory carbon dioxide at 10 min after tracheal intubation for predicting severe CVC |
|
|
急诊ETI后5 min和10 min的MAP和ETCO2中任意两个指标的预测能力差异无统计学意义(P > 0.05)。
3 讨论本研究通过观察急诊ETI后患者MAP和ETCO2的变化情况,发现有64.7%急诊ETI患者出现严重CVC。出现严重CVC的患者插管后5、10、30、60、120 min MAP和ETCO2的数值明显低于无严重CVC患者,且在ETI后30 min达最低值。两组MAP和ETCO2在急诊ETI后5~30 min表现为同步下降,其后至ETI后120 min表现为同步回升,ETI后MAP和ETCO2两者的变化具有正相关性。ETI后5 min和10 min的MAP和ETCO2均可准确预测严重CVC。
本研究发现严重CVC患者急诊ETI后5、10、30、60、120 min MAP和ETCO2的数值均明显低于无严重CVC患者。这些发现提示急诊ETI后严重CVC患者与无严重CVC患者相比低血压和低ETCO2在插管后早期(ETI后5 min)即已出现。虽然此时的MAP可能仍然略高于或低于正常范围最低临界值,但尚达不到严重CVC的标准。可能由于缺乏对严重CVC的早期识别和充分干预,与此相关的是随时间推移,患者血压不仅没有恢复的迹象,而是呈进行性下降趋势。本研究结果显示在ETI 5 min后血压一直进行性下降,在插管后30 min达到最低值(中位数小于50 mmHg),此后虽受治疗影响缓慢逐渐回升,但在插管后120 min仍明显低于无严重CVC患者。这提示对于严重CVC患者,若不能早期识别其严重性并给予足够干预,其循环崩溃持续时间较长且不容易恢复。长时间MAP < 65 mmHg将导致重要器官的低灌注,而持续低血压状态与较高的病死率相关[11]。当冠脉灌注压严重下降导致心脏供血供氧不足,甚至有可能发生最严重的并发症,即心搏骤停[12]。因此为避免上述严重并发症的出现,对急诊ETI后严重CVC的早期预测显得尤为重要。本研究发现ETI后5 min和10 min的MAP能准确预测严重CVC的发生,且插管后5 min和10 min MAP的最佳截断值分别72 mmHg和67 mmHg,均在65 mmHg以上,这些发现为预防急诊ETI后严重CVC发生的早期干预提供了决策依据。
另外,本研究发现急诊ETI后监测ETCO2对预测严重CVC具有重要意义。本研究结果显示ETCO2与MAP在急诊ETI后呈同步变化,MAP和ETCO2两者的变化具有相关性。ETI后5 min和10 min的ETCO2也可准确预测严重CVC,且预测效能并不低于MAP。ETCO2是呼出空气中二氧化碳(PCO2)在呼气末测得的分压。二氧化碳是在灌注组织有氧代谢中产生的,它从细胞扩散到血液中,通过静脉回流到肺中,在肺中通过换气将其清除。这意味着ETCO2的主要决定因素包括CO2的产生、心输出量(CO)、肺灌注血流量和肺泡通气量。因此,ETCO2可以对人体的三个主要功能进行全面评估:新陈代谢、循环和通气。如果其中两个功能处于相对稳定状态,则ETCO2的变化可反映第三个功能指标的变化[7]。在急诊ETI机械通气一段时间后,如果体内并无二氧化碳蓄积,体内代谢和肺通气量处于相对稳定的状态,这时ETCO2读数的变化可以反映CO的变化[13]。而CO又是血压的一个重要影响因素,因此在其他因素相对稳定的情况下,ETCO2与MAP应当同步变化,ETCO2和MAP应该具有一定的相关性,本研究结果也证实了这一点。这提示在急诊ETI后CO的降低可能是血压下降的主要原因。据此,有研究报道ETCO2可以作为对休克患者的一种无创监测手段[14]。而本研究也发现ETI后5 min和10 min的ETCO2也可准确预测严重CVC,且预测效能并不低于MAP。ETCO2监测有其优点与缺点。因患者无需接受额外的有创性操作,ETCO2相对于有创动脉血压监测具有一定优势;另外,目前我国大多数医院急诊科受条件所限并未常规开展有创血压监测,而ETCO2监测技术已普遍开展[15],因此在此基础上,将ETCO2监测技术应用于ETI后循环监测相对简单。ETCO2相对于无创袖带血压,其优点是可以连续即时监测。但需要注意的是,当存在其他影响ETCO2的因素时,ETCO2的数值需谨慎解读。例如Ⅱ型呼吸衰竭的患者ETI后,因其体内有蓄积的二氧化碳而ETCO2明显升高,此时ETCO2的数值可能并不能真实反映体内循环情况。
本研究也存在一些不足之处。首先本研究是单中心前瞻性研究,总体样本量偏少,可能难以全面反映患者急诊ETI后循环变化的全部情况。其次,本研究为单纯观察性研究,研究中的临床干预措施,如补液及血管活性药物使用可对MAP和ETCO2的数值造成一定影响。再次,有部分患者插管原因为肺源性呼吸衰竭,这有可能对ETCO2的数值产生干扰。
综上所述,急诊ETI后严重CVC患者早期即有MAP和ETCO2下降表现,但识别滞后和干预不足可能与患者循环崩溃的发生发展有关。ETI后早期MAP和ETCO2对预测严重CVC均有较高效能。插管后5 min MAP≤72 mmHg、ETCO2≤35 mmHg、插管后10 min MAP≤67 mmHg及ETCO2≤33 mmHg均提示患者发生严重CVC的可能性大。
作者个人贡献声明 戴佳原、尹路、徐胜勇、付阳阳、徐军负责研究设计及数据收集;朱华栋、付阳阳负责数据计算;戴佳原负责论文书写;于学忠负责论文修改;徐军和于学忠为共同通信作者
利益冲突 所有作者均声明不存在利益冲突
| [1] | Perbet S, de Jong A, Delmas J, et al. Incidence of and risk factors for severe cardiovascular collapse after endotracheal intubation in the ICU: a multicenter observational study[J]. Crit Care, 2015, 19: 257. DOI:10.1186/s13054-015-0975-9 |
| [2] | Green R, Hutton B, Lorette J, et al. Incidence of postintubation hemodynamic instability associated with emergent intubations performed outside the operating room: a systematic review[J]. CJEM, 2014, 16(1): 69-79. DOI:10.2310/8000.2013.131004 |
| [3] | Smischney NJ, Demirci O, Ricter BD, et al. Vasopressor use as a surrogate for post-intubation hemodynamic instability is associated with in-hospital and 90-day mortality: a retrospective cohort study[J]. BMC Res Notes, 2015, 8: 445. DOI:10.1186/s13104-015-1410-7 |
| [4] | Trivedi S, Demirci O, Arteaga G, et al. Evaluation of preintubation shock index and modified shock index as predictors of postintubation hypotension and other short-term outcomes[J]. J Crit Care, 2015, 30(4): 861.e1-861.e7. DOI:10.1016/j.jcrc.2015.04.013 |
| [5] | Selby ST, Abramo T, Hobart-Porter N. An update on end-tidal CO2 monitoring[J]. Pediatr Emerg Care, 2018, 34(12): 888-892. DOI:10.1097/PEC.0000000000001682 |
| [6] | Aminiahidashti H, Shafiee S, Zamani Kiasari A, et al. Applications of end-tidal carbon dioxide (ETCO2) monitoring in emergency department; a narrative review[J]. Emerg (Tehran), 2018, 6(1): e5. |
| [7] | Trillò G, von Planta M, Kette F. ETCO2 monitoring during low flow states: clinical aims and limits[J]. Resuscitation, 1994, 27(1): 1-8. DOI:10.1016/0300-9572(94)90014-0 |
| [8] | Hinkelbein J, Kranke P. Rapid sequence induction[J]. Anasthesiol Intensivmed Notfallmed Schmerzther, 2018, 53(9): 631-624. DOI:10.1055/a-0628-3122 |
| [9] | 徐军, 孙峰, 王亚, 等. 急诊气道管理共识[J]. 中国急救医学, 2016, 36(6): 481-485. DOI:10.3969/j.issn.1002-1949.2016.06.001 |
| [10] | 中华医学会重症医学分会. 中国成人ICU镇痛和镇静治疗指南[J]. 中华危重病急救医学, 2018, 30(6): 497-514. DOI:10.3760/cma.j.issn.2095-4352.2018.06.001 |
| [11] | Vincent JL, Nielsen ND, Shapiro NI, et al. Mean arterial pressure and mortality in patients with distributive shock: a retrospective analysis of the MIMIC-III database[J]. Ann Intensive Care, 2018, 8(1): 107. DOI:10.1186/s13613-018-0448-9 |
| [12] | Althunayyan SM. Shock index as a predictor of post-intubation hypotension and cardiac arrest; A review of the current evidence[J]. Bull Emerg Trauma, 2019, 7(1): 21-27. DOI:10.29252/beat-070103 |
| [13] | 李晨, 徐军, 付阳阳, 等. 高级气道建立对心肺复苏质量指数评估心肺复苏预后的影响[J]. 中华急诊医学杂志, 2020, 29(2): 257-261. DOI:10.3760/cma.j.issn.1671-0282.2020.02.0028 |
| [14] | Kheng CP, Rahman NH. The use of end-tidal carbon dioxide monitoring in patients with hypotension in the emergency department[J]. Int J Emerg Med, 2012, 5(1): 31. DOI:10.1186/1865-1380-5-31 |
| [15] | 顾建新. 呼气末二氧化碳分压连续监测在心肺复苏患者中的意义[J]. 中华急诊医学杂志, 2019, 28(4): 448-451. DOI:10.3760/cma.j.issn.1671-0282.2019.04.009 |
2021, Vol. 30



