2 江苏省盐城市第一人民医院心内科 2240006
急性胸痛(acute chest pain,ACP)是急诊常见病多发病,其中有49.7%的患者为急性冠脉综合征(acute coronary syndrome, ACS),临床医生必须快速识别诊断[1]。对于ST段抬高性心肌梗死(ST-segment elevation myocardial infarction, STEMI)患者心电图具有典型的定位表现,但在ACS中非ST段抬高型ACS(NSTE-ACS)占74.2%[1],且非ST段抬高性心肌梗死(non ST-segment elevation myocardial infarction, NSTEMI)的比例在逐年增加[2-3],单纯通过心电图难以诊断。心肌标志物是诊断NSTEMI的重要手段,但对于早期NSTEMI患者,心肌标志物大多正常,难以鉴别,临床上只能通过动态观察心电图及心肌标志物的变化才能进一步作出判断,这不仅增加了患者在院风险,而且日后发生心力衰竭、心律失常等不良事件的风险也大大提高。研究表明,早期侵入性治疗策略能降低NSTEMI患者院内病死率、缩短住院时间,但这同时也大幅度增加了医疗成本及辐射暴露时间[3-4]。如何快速、经济、安全、有效地早期诊断显得至关重要。心肌梗死发生后,心肌细胞因缺血缺氧即开始释放细胞酶,但短期内监测数值大多在正常范围,此时正常的心肌标志物对于NSTEMI是否具有诊断价值尚无明确结论。本文回顾性分析了正常心肌标志物与心肌梗死发生的关系,初步探讨正常心肌酶谱、心肌肌钙蛋白T(cardiac troponin T, TnT)对早期NSTEMI患者的诊断价值。
1 资料与方法 1.1 一般资料回顾性分析2018年1月至2019年5月江苏省中医药研究院急诊科抢救室收治发病6 h内的胸痛患者,共416例。入选存在冠心病高危因素且心电图有心肌缺血表现的患者,排除标准:①STEMI;②初始cTnT > 30 pg/mL;③新发完全性左束支传导阻滞;④急性心包炎;⑤主动脉夹层;⑥肺栓塞;⑦肺部感染、肿瘤、结核、气胸;⑧胸廓疾病;⑨资料不完整的患者,共290例;符合纳入患者126例,其中37例患者在院内通过冠脉造影明确诊断为NSTEMI。89例为非NSTEMI,其中35例行冠脉CTA、51例行冠脉造影明确,3例患者因经济及自身原因拒绝进一步检查,通过监测心肌标志物排除心肌梗死。患者纳入流程图见图 1。
|
| 图 1 患者纳入流程图 |
|
|
收集入选患者的基线资料,如发病时间、年龄、性别、身高、体质量、既往病史、家族史、肌酐、心肌酶谱及血清肌钙蛋白T,同时计算患者入院时的GRACE评分。NSTEMI及心电图心肌缺血诊断标准参考2015年ESC发布的关于ACS管理指南[5]。冠状动脉造影由本院心内科专业医师进行。本研究经医院伦理委员会审核批准(审批号:2020LWKY005)。
1.3 实验室检查患者血肌酐、心肌酶谱测定值由美国强生V5600全自动生化分析仪测得,cTnT由罗氏cobas411-1全自动化学发光仪测定,CK、CK-MB、LDH、cTnT的参考范围分别为30~135 U/L、0~24 U/L、313~618 U/L、0~30 pg/mL。BNP参考范围0~100 pg/mL。
1.4 统计学方法采用SPSS 22.0统计学软件进行分析,符合正态分布的计量资料以均数±标准差(Mean±SD)进行描述,组间比较采用LSD-t检验;计数资料组间比较采用卡方检验;受试者工作特征(ROC)曲线来分析心肌酶谱及cTnT相应的敏感度、特异度、曲线下面积(AUC)、最佳诊断数值;心肌梗死危险因素采用二分类Logistic回归;联合ROC曲线分析年龄、糖尿病、BNP、cTnT对心肌梗死的联合诊断价值,以P < 0.05为差异有统计学意义。
2 结果 2.1 一般资料本研究共纳入416例ACP患者,其中STEMI患者44例(10.58%),NSTEMI患者37例(8.89%),排除STEMI、肺部疾病、初始cTnT > 30 pg/mL等病例后,最终纳入非ST段抬高型ACS患者126例,其中男性97例,年龄(61.70±13.64)岁,发病时间(3.67±1.43)h,GRACE评分(122.97±28.00)。两组在吸烟、高血压、高血脂等方面差异无统计学意义(P > 0.05)。糖尿病是心肌梗死的等危症,两组差异有统计学意义(P < 0.05),见表 1。
| 指标 | 总数 (n=126) |
NSTEMI组 (n=37) |
非NSTEMI组 (n=89) |
统计量 | P值 |
| 年龄(岁)a | 61.70±13.64 | 60.54±13.03 | 62.18±13.93 | t=-0.613 | 0.373 |
| 体质量指数a | 24.10±2.47 | 24.14±2.70 | 24.08±2.39 | t=0.134 | 0.405 |
| 男性(例,%) | 97(76.98) | 34(26.98) | 63(50.00) | x2=6.570 | 0.010 |
| 吸烟(例,%) | 61(48.41) | 21(16.67) | 40(31.75) | x2=1.460 | 0.227 |
| 高血压(例,%) | 72(57.14) | 21(16.67) | 51(40.48) | x2=0.003 | 0.955 |
| 糖尿病(例,%) | 24(19.05) | 12(9.52) | 12(9.52) | x2=6.086 | 0.014 |
| 高血脂(例,%) | 26(20.64) | 7(5.56) | 19(15.08) | x2=0.094 | 0.759 |
| 冠心病(例,%) | 24(19.05) | 7(5.56) | 17(13.49) | x2=0.001 | 0.981 |
| 脑血管(例,%) | 31(19.75) | 7(5.56) | 24(19.05) | x2=0.912 | 0.339 |
| 家族史(例,%) | 22(17.46) | 6(4.76) | 16(12.70) | x2=0.056 | 0.813 |
| 发病时间(h)a | 3.67±1.43 | 3.78±1.56 | 3.63±1.38 | t=0.551 | 0.350 |
| 收缩压(mmHg)a | 136.90±19.24 | 134.95±19.14 | 137.71±19.33 | t=-0.733 | 0.630 |
| 心率(次/min)a | 79.60±14.45 | 79.14±14.94 | 79.80±14.32 | t=-0.234 | 0.720 |
| GRACE评分a | 122.97±28.00 | 127.44±25.19 | 120.97±29.09 | t=1.201 | 0.243 |
| 1~108(例,%) | 45(35.71) | 10(7.94) | 35(27.78) | x2=1.722 | 0.189 |
| 109~140(例,%) | 47(37.30) | 13(10.32) | 34(26.98) | x2=0.105 | 0.746 |
| 141~372(例,%) | 34(26.98) | 14(11.11) | 20(15.87) | x2=3.132 | 0.077 |
| 注:a为Mean±SD | |||||
两组患者CK-MB、CK、LDH的水平差异无统计学意义(P > 0.05)。NSTEMI组cTnT水平显著高于非NSTEMI组,差异有统计学意义(P < 0.01)。因心肌标志物复查时间长短不一,本研究复查cTnT为患者就诊后24 h内最高值,NSTEMI组显著升高(P < 0.05),BNP为(66.57±135.73)pg/mL,两组差异无统计学意义(P > 0.05),见表 2。
| 指标 | 总数 (n=126) |
NSTEMI组 (n=37) |
非NSTEMI组 (n=89) |
t值 | P值 |
| CK-MB(U/L) | 15.22±10.71 | 17.28±12.13 | 14.37±10.01 | 1.398 | 0.154 |
| CK(U/L) | 115.33±103.69 | 132.43±108.32 | 108.21±101.48 | 1.196 | 0.284 |
| LDH(U/L) | 478.12±125.13 | 475.30±139.44 | 479.29±101.48 | -0.163 | 0.97 |
| BNP(pg/mL) | 66.57±135.73 | 89.52±212.99 | 57.02±85.42 | 1.227 | 0.222 |
| cTnT(pg/mL) | 10.50±6.67 | 16.63±7.39 | 7.95±4.31 | 8.237 | < 0.01 |
| 复查cTnT(pg/mL) | 108.00±231.77 | 336.71±331.89 | 12.91±10.16 | 9.246 | < 0.01 |
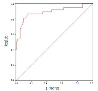
应用ROC曲线对心肌标志物进行诊断价值的分析,结果显示,在非ST段抬高型ACS中cTnT曲线下面积明显高于其他指标,其AUC为0.846,对应cTnT的界值为11.35 pg/mL,其敏感度为0.730,特异度为0.888,阳性预测值(PPV)72.97%,阴性预测值(NPV)87.64%,见表 3和图 2。
| 指标 | 敏感度 | 特异度 | AUC | Youden指数 |
| CK-MB | 0.243 | 0.955 | 0.565 | 0.198 |
| CK | 0.568 | 0.685 | 0.539 | 0.253 |
| LDH | 0.568 | 0.539 | 0.504 | 0.107 |
| cTnT | 0.730 | 0.888 | 0.846 | 0.618 |
|
| 图 2 心肌标志物的ROC曲线 |
|
|
通过二分类Logistic回归模型,用年龄、性别、是否吸烟、高血压、cTnT、BNP、CK-MB、LDH、糖尿病等危险因素分析对NSTEMI的影响。最终模型纳入了cTnT、年龄、糖尿病、BNP四个变量具有统计学意义(表 4)。该Logistic回归模型提示,这四个变量可以预测患者是否为NSTEMI。最终,得到的Logistic模型具有统计学意义,χ2(4)=64.079,P < 0.01。模型的敏感度为0.690,特异度为0.944,阳性预测值为82.76%,阴性预测值为96.55%。在SPSS中绘出ROC曲线,获得ROC曲线下面积,其AUC为0.886(图 3)。
| 指标 | B | S.E. | Wald | P值 | OR | 95%CI |
| cTnT | -0.353 | 0.068 | 26.700 | < 0.01 | 1.423 | 1.245~1.627 |
| 年龄 | 0.071 | 0.026 | 7.594 | 0.006 | 0.932 | 0.886~0.980 |
| 糖尿病 | -1.594 | 0.647 | 6.067 | 0.014 | 4.922 | 1.385~17.496 |
| BNP | 0.008 | 0.003 | 5.328 | 0.021 | 0.992 | 0.985~0.999 |
|
| 图 3 多指标联合诊断ROC曲线 |
|
|
急性心肌梗死是ACP重要病因,常危及患者生命,尽早识别有利于患者预后。STEMI患者能被尽早识别并进行再灌注治疗,而NSTEMI患者在早期6 h内,通过临床症状、心电图难以确诊,此时只能依赖心肌标志物,但此时心肌标志物大多“正常”,限制进一步诊断治疗,只能动态观察患者心电图及心肌标志物,常会错过再灌注黄金时间。相关研究表明ACP的原因中STEMI占5%~10%、NSTEMI占15%~20%、不稳定性心绞痛占10%[6]。本研究发现以胸痛入抢救室的患者中,STEMI占10.58%,NSTEMI占8.89%,STEMI患者比例略高于NSTEMI,这种差异可能是由于NSTEMI患者初始心电图无诊断价值,部分患者被分流到急诊室或门诊。这些被分流的NSTEMI患者在院风险极大,就诊过程中随时可能发生一些不良事件,如何早期识别显得至关重要。
高血压、高血脂、糖尿病均是冠心病独立危险因素。国外一些研究表明心肌梗死中高血压患者占47.7%~53.9%[7],高血压是年轻ACS患者多支冠脉病变的独立预测因子[8]。总胆固醇及低密度脂蛋白水平每下降1%、高密度脂蛋白上升1%,冠心病的发病率下降2%[9],心肌梗死中有59.5%~73.6%的患者存在高脂血症[10]。本研究结果中NSTE-ACS患者存在高血压、高血脂、糖尿病分别占57.14%、20.64%、19.05%,高血压、高血脂两组比较差异无统计学意义,NSTEMI中糖尿病患者显著高于非NSTEMI(P < 0.05),这也提醒要格外注意血糖控制,糖尿病是心血管疾病的主要危险因素,大大增加了冠心病的死亡风险[11]。
CK、CK-MB及肌钙蛋白是诊断心肌梗死时常用的标志物,其中肌钙蛋白被认为是诊断AMI的“金标准”[12]。本研究发现,NSTE-ACS发病6 h内,正常的cTnT也可作为预测NSTEMI的参考指标,当cTnT大于11.35 pg/mL时,其对NSTEMI的诊断敏感度为0.730,特异度为0.888,阳性预测值(PPV)为72.97%,阴性预测值(NPV)为87.64%,其AUC为0.846,提示6 h内胸痛患者若初始心电图有心肌缺血表现,排除肺部、胸廓等疾病后,若初始cTnT > 11.35 pg/mL,应高度怀疑冠脉事件,建议尽早行冠脉造影检查,避免错过冠脉再灌注的黄金时间,减少不良事件发生。Fabbri等[13]研究表明,当hs-cTnT < 5 ng/L时,30 d内发生急性心肌梗死的概率为0%(NPV为100%),1年内发生心肌梗死的概率为0.6%(NPV为99.4%)、发生ACS的概率为3.4%(NPV为96.6%),这对于临床医师可快速排除心肌梗死,避免患者反复抽取血样,减少患者在急诊的滞留时间及医疗费用。Baro等[14]研究表明,hs-cTnT可作为NSTE-ACS患者冠脉闭塞的良好预测因子,其AUC为0.95,对应hs-cTnT为1 006 ng/L,其敏感度为86%、特异度为95%、PPV为86%、NPV为94%,hs-cTnT其诊断价值要高于本研究的cTnT,建议急诊检测hs-cTnT,但因该试验的样本、人群及诊断指标与本文不同,诊断价值有所下降,但这都提示肌钙蛋白T是冠脉闭塞良好的预测因子。
单纯通过肌钙蛋白单一指标诊断或排除NSTEMI仍存在一定的局限性,多指标多方法的联合诊断能进一步提高诊断的准确性。本研究进一步分析发现,cTnT、年龄、糖尿病、BNP四个变量对NSTEMI的预测具有统计学意义(P < 0.05),通过Logistic回归模型分析,四者联合后其模型敏感度为64.9%,特异度为94.4%,阳性预测值为82.76%,阴性预测值为96.55%,特异度、阳性预测值、阴性预测值较前均有升高,通过联合ROC曲线分析发现,多指标联合能进一步提高诊断的可靠性,当cTnT、BNP、年龄、糖尿病史四者联合诊断NSTEMI时,对应的AUC分别为0.886。国外一些文献表明,斑点追踪超声心动图是一种新颖、便于使用超声心动图形式,可以准确测定区域性室壁运动障碍,联合心脏超声多指标的评估,可进一步提高诊断的准确性[15]。Carubbi等[16]证明血小板表达的蛋白激酶C联合肌钙蛋白可用于ACP患者心肌梗死的快速诊断。Xue等[17]研究表明循环miR-17-5p、miR-126-5p、miR-145-3p是早期诊断AMI新型的生物标志物。Morawiec等[18]研究表明hs-TnT、和肽素的基线浓度、改良HEART评分的组合对于短期ACP危险分层具有良好的敏感性和特异性,可用于改善急诊的分诊系统。但上述指标尚未广泛开展应用,难以实现多指标联合诊断。胡乐和曾红[19]建议床旁快速检测各项心肌标志物及心肌型脂肪酸结合蛋白,有助于早期诊断及漏诊,更适合急诊应用。
本研究为单中心回顾性的研究,纳入样本量有限,为避免二类错误发生,建议进行多中心大样本数据提供精确cTnT的界值。另外,本研究将STEMI患者排除,未对此部分患者进行心肌标志物的统计,无法与非STEMI患者心肌标志物进行对比,存在缺陷。
利益冲突 所有作者均声明不存在利益冲突
| [1] | Rapezzi C, Biagini E, Branzi A. Guidelines for the diagnosis and treatment of non-ST-segment elevation acute coronary syndromes: the task force for the diagnosis and treatment of non-ST-segment elevation acute coronary syndromes of the European Society of Cardiology[J]. Eur Heart J, 2008, 29(2): 277-278. DOI:10.1093/eurheartj/ehm498 |
| [2] | 雍婧雯, 王志坚, 林徐泽, 等. 急性心肌梗死患者患病构成比及住院死亡率变化趋势[J]. 中华心血管病杂志, 2019, 47(3): 209-214. DOI:10.3760/cma.j.issn.0253-3758.2019.03.006 |
| [3] | Khera S, Kolte D, Aronow WS, et al. Non-ST-elevation myocardial infarction in the United States: contemporary trends in incidence, utilization of the early invasive strategy, and in-hospital outcomes[J]. J Am Heart Assoc, 2014, 3(4): pii: e000995. DOI:10.1161/JAHA.114.000995 |
| [4] | Piątek Ł, Wilczek K, Kurzawski J, et al. Impact of routine invasive strategy on outcomes in patients with non-ST segment elevation myocardial infarction during 2005-2014: A report from the Polish Registry of Acute Coronary Syndromes (PL-ACS)[J]. Cardiol J, 2018. DOI:10.5603/CJ.a2018.0136.[Epubaheadofprint |
| [5] | Prejean SP, Din M, Reyes E, Hage FG. Guidelines in review: Comparison of the 2014 AHA/ACC guideline for the management of patients with non-ST-elevation acute coronary syndromes and the 2015 ESC guidelines for the management of acute coronary syndromes in patients presenting without persistent ST-segment elevation[J]. J Nucl Cardiol, 2018, 25(3): 769-776. DOI:10.1007/s12350-017-1137-z |
| [6] | Smulders MW, Bekkers S, van Cauteren Y, et al. Risk stratification and role for additional diagnostic testing in patients with acute chest pain and normal high-sensitivity cardiac troponin levels[J]. PLoS One, 2018, 13(9): e0203506. DOI:10.1371/journal.pone.0203506 |
| [7] | Trzeciak P, Gierlotka M, Gąsior M, et al. In-hospital and 12-month outcomes after acute coronary syndrome treatment in patients aged < 40 years of age (from the Polish Registry of Acute Coronary Syndromes)[J]. Am J Cardiol, 2014, 114(2): 175-180. DOI:10.1016/j.amjcard.2014.04.024 |
| [8] | Ge J, Li J, Yu H, et al. Hypertension is an independent predictor of multivessel coronary artery disease in young adults with acute coronary syndrome[J]. Int J Hypertens, 2018, 2018: 7623639. DOI:10.1155/2018/7623639 |
| [9] | Wyrzykowski B, Zdrojewski T, Sygnowska E, et al. Epidemiology of metabolic syndrome in Poland.Results of the WOBASZ program[J]. Kardiol Pol, 2005, 63(6 Suppl 4): S641-S644. |
| [10] | Pineda J, Marín F, Roldán V, et al. Premature myocardial infarction: clinical profile and angiographic findings[J]. Int J Cardiol, 2008, 126(1): 127-129. DOI:10.1016/j.ijcard.2007.02.038 |
| [11] | Grundy SM, Benjamin IJ, Burke GL, et al. Diabetes and cardiovascular disease: a statement for healthcare professionals from the American Heart Association[J]. Circulation, 1999, 100(10): 1134-1146. DOI:10.1161/01.cir.100.10.1134 |
| [12] | Aldous SJ, Richards M, Cullen L, et al. Diagnostic and prognostic utility of early measurement with high-sensitivity troponin T assay in patients presenting with chest pain[J]. CMAJ, 2012, 184(5): E260-E268. DOI:10.1503/cmaj.110773 |
| [13] | Fabbri A, Bachetti C, Ottani F, et al. Rapid rule-out of suspected acute coronary syndrome in the Emergency Department by high-sensitivity cardiac troponin T levels at presentation[J]. Intern Emerg Med, 2019, 14(3): 403-410. DOI:10.1007/s11739-018-1996-6 |
| [14] | Baro R, Haseeb S, Ordoñez S, et al. High-sensitivity cardiac troponin T as a predictor of acute Total occlusion in patients with non-ST-segment elevation acute coronary syndrome[J]. Clin Cardiol, 2019, 42(2): 222-226. DOI:10.1002/clc.23128 |
| [15] | Colla J, Martin J, Eilbert W, et al. Bedside use of speckle tracking echocardiography in the emergency department to identify acute myocardial infarction[J]. J Emerg Med, 2019, 56(5): 530-535. DOI:10.1016/j.jemermed.2019.01.014 |
| [16] | Carubbi C, Masselli E, Pozzi G, et al. Combination of platelet expression of PKCepsilon and cardiac troponin-Ⅰ for early diagnosis of chest pain patients in the emergency department[J]. Sci Rep, 2019, 9: 2125. DOI:10.1038/s41598-019-38624-5 |
| [17] | Xue S, Liu D, Zhu W, et al. Circulating MiR-17-5p, MiR-126-5p and MiR-145-3p are novel biomarkers for diagnosis of acute myocardial infarction[J]. Front Physiol, 2019, 10: 123. DOI:10.3389/fphys.2019.00123 |
| [18] | Morawiec B, Przywara-Chowaniec B, Muzyk P, et al. Combined use of high-sensitive cardiac troponin, copeptin, and the modified heart score for rapid evaluation of chest pain patients[J]. Dis Markers, 2018, 2018: 9136971. DOI:10.1155/2018/9136971 |
| [19] | 胡乐, 曾红. 床旁快速检测对早期急性心肌梗死诊断及预后的影响[J]. 中华急诊医学杂志, 2019, 28(6): 791-794. DOI:10.3760/cma.j.issn.1671-0282.2019.06.029 |
2020, Vol. 29



