脓毒症是宿主感染后免疫反应失控,导致患者出现危及生命的器官功能障碍的疾病[1],由于其高发病率及病死率[2-3],是为全球重大疾病之一[4-5]。脓毒症患者合并急性肾损伤时,易出现呼吸衰竭,病死率显著升高[6-8],若早期需有创通气支持呼吸,则提示预后不良[9],因此有必要开发一个模型用于预测脓毒症伴急性肾损伤患者早期有创通气风险。
目前临床预测工具SOFA[10]、NEWS[11]、APACHEⅡ[12-13]能有效预测器官衰竭风险,但在预测脓毒症患者的有创通气风险上存疑。因此,需要开发一个用于预测脓毒症伴急性肾损伤患者48 h内是否需要机械通气的模型,帮助临床医生决策及沟通。
1 资料与方法 1.1 研究对象研究对象为2011年1月至2023年10月期间入东阳市人民医院的脓毒症患者,纳入标准:①存在感染且感染引起SOFA评分在原基础上上升2分;②急性肾损伤标准,发病48 h内肌酐升高大于26.5 mmol/L或者较原肌酐水平升高50%,或者尿量少于0.5 mL/(kg·h)超过6 h。排除标准:①小于18岁患者;②不能确定平时肾功能水平的患者;③放弃治疗的患者;④急腹症手术患者
1.2 观察指标患者基本信息,既往病史,入院时实验室指标,入院时的生命体征及感染部位。有创通气的指征:①经积极治疗后(包括药物吸氧、无创呼吸机使用等),患者仍有明显的呼吸困难,呼吸频率快 > 30次/min伴氧分压 < 60 mmHg(或氧合指数300);②出现呼吸抑制,呼吸次数小于8次/min;③出现意识障碍患者,包括昏睡、昏迷等;④二氧化碳分压进行性升高,伴有pH < 7.20;⑤经积极治疗后仍循环衰竭。
1.3 伦理描述本研究符合《赫尔辛基宣言》原则,经东阳市人民医院伦理委员会批准,批号:东人医2023-YX-410。
1.4 变量筛选首先对数据进行插补。按临床正常值,将部分连续性变量转换为分类变量,将数据按7:3的比例随机分为建模组及验证组。在建模组进行单因素分析、多重共线分析(计算VIF值)和变量与logitp之间的线性关系分析(boxTidwell检验),最后经多因素Logistic分析和逐步回归分析后,筛选出独立危险因素,建立列线图。
1.5 模型的建立、验证和评价分别在建模组和验证组中用ROC曲线、校准图及DCA曲线判断模型的区分度、校准度及临床有效性;并与SOFA及NEWS模型在区分度上进行比较。在验证人群中利用建立机器学习模型,并用stacking的方法建立集成模型[14],与本研究模型进行比较。
1.6 统计学方法连续性变量呈正态分布的以均数±标准差(x±s)表示,行成组t检验;非正态分布变量用中位数(四分位数)[M(P25, P75)]表示,予以秩和检验;分类变量予χ2检验,百分比表示。以上统计均在R软件中完成,以P < 0.05为差异有统计学意义。
2 结果 2.1 纳入人群的基本资料共纳入脓毒症伴急性肾损伤患者773例,有创通气患者共98例,占比13%,建模组542例,验证组231例,两组间差异无统计学意义,见表 1。
| 变量 | 总数(n=773) | 训练组(n=542) | 验证组(n=231) | P值 |
| 性别(n, %) | 0.828 | |||
| 男 | 468 (61) | 330 (61) | 138 (60) | |
| 女 | 305 (39) | 212 (39) | 93 (40) | |
| 年龄(岁) | 73 (61, 82) | 73 (61, 82) | 75 (61.5, 83) | 0.286 |
| C-反应蛋白[mg/L, M(P25, P75)] | 144.9 (77.88, 200) | 146.7 (78.64, 200) | 144.73 (71.42, 200) | 0.85 |
| 谷草转氨酶[U/L, M(P25, P75)] | 23 (14, 43) | 24 (14, 44) | 22 (13, 40.5) | 0.411 |
| 甘油三酯[mol/L, M(P25, P75)] | 2.92 (2.38, 3.6) | 2.89 (2.37, 3.58) | 2.96 (2.49, 3.61) | 0.348 |
| 总胆红素[mmol/L, M(P25, P75)] | 11.6 (7.4, 20.1) | 11.65 (7.5, 20.08) | 11.1 (7.25, 20.85) | 0.556 |
| 肌酐[mmol/L, M(P25, P75)] | 184 (147, 272) | 182.5 (148, 263) | 189 (146.5, 292.5) | 0.291 |
| 乳酸[mmol/L, M(P25, P75)] | 2.3 (1.4, 3.8) | 2.3 (1.33, 3.8) | 2.1 (1.4, 3.85) | 0.781 |
| B型脑钠肽前体[pg/mL, M(P25, P75)] | 2327 (882.5, 7844) | 2316 (893.6, 8068.75) | 2437 (862.7, 7833.5) | 0.888 |
| 胆碱酯酶[U/L, M(P25, P75)] | 4094 (3008, 5160) | 3995 (2970.25, 5157) | 4271 (3157.5, 5162) | 0.208 |
| 凝血酶原时间[s, M(P25, P75)] | 15.5 (14.3, 16.9) | 15.5 (14.3, 17) | 15.4 (14.2, 16.7) | 0.235 |
| D二聚体[μg/L, M(P25, P75)] | 3.79 (2.17, 7.76) | 3.77 (2.1, 7.62) | 3.82 (2.3, 8.14) | 0.591 |
| 钾(mmol/L, n, %) | 0.455 | |||
| 3.5~5.5 | 481 (62) | 342 (63) | 139 (60) | |
| <3.5 | 244 (32) | 170 (31) | 74 (32) | |
| >5.5 | 48 (6) | 30 (6) | 18 (8) | |
| 钠(mmol/L, n, %) | 0.155 | |||
| 135~145 | 369 (48) | 258 (48) | 111 (48) | |
| <135 | 356 (46) | 256 (47) | 100 (43) | |
| >145 | 48 (6) | 28 (5) | 20 (9) | |
| 镁(mmol/L, n, %) | 0.259 | |||
| 0.75~1.25 | 488 (63) | 336 (62) | 152 (66) | |
| <0.75 | 274 (35) | 196 (36) | 78 (34) | |
| >1.25 | 11 (1) | 10 (2) | 1 (0) | |
| 钙(mmol/L, n, %) | 0.530 | |||
| 2.25~2.75 | 46 (6) | 30 (6) | 16 (7) | |
| <2.25 | 724 (94) | 509 (94) | 215 (93) | |
| >2.25 | 3 (0) | 3 (1) | 0 (0) | |
| 白细胞(×109/L, n, %) | 0.541 | |||
| 4~10 | 231 (30) | 156 (29) | 75 (32) | |
| <4 | 51 (7) | 35 (6) | 16 (7) | |
| >10 | 491 (64) | 351 (65) | 140 (61) | |
| 血红蛋白(g/L)(n, %) | 0.980 | |||
| 110~160 | 389 (50) | 272 (50) | 117 (51) | |
| <110 | 355 (46) | 250 (46) | 105 (45) | |
| >160 | 29 (4) | 20 (4) | 9 (4) | |
| 血小板(×109/L)(n, %) | 0.741 | |||
| 100-300 | 522 (68) | 363 (67) | 159 (69) | |
| <100 | 207 (27) | 146 (27) | 61 (26) | |
| >300 | 44 (6) | 33 (6) | 11 (5) | |
| 白蛋白[g/L, M(P25, P75)] | 29 (25.7, 32) | 29.3 (25.5, 32.1) | 28.8 (26.45, 31.6) | 0.518 |
| 球蛋白[g/L, M(P25, P75)] | 26.6 (23.5, 30.5) | 26.6 (23.6, 30.3) | 26.5 (23.2, 31.5) | 0.865 |
| 经皮血氧饱和度[%, M(P25, P75)] | 97 (95, 98) | 97 (95, 98) | 97 (95, 98) | 0.481 |
| 体温(℃) | 0.461 | |||
| 36~37.5 | 394 (51) | 276 (51) | 118 (51) | |
| <36 | 48 (6) | 30 (6) | 18 (8) | |
| >37.5 | 331 (43) | 236 (44) | 95 (41) | |
| 平均动脉压(mmHg, n, %) | 0.316 | |||
| 70~105 | 464 (60) | 316 (58) | 148 (64) | |
| <70 | 220 (28) | 160 (30) | 60 (26) | |
| >105 | 89 (12) | 66 (12) | 23 (10) | |
| 心率[M(P25, P75)次/min] | 99 (86, 116) | 100.5 (86, 116) | 98 (86, 114.5) | 0.536 |
| 呼吸[M(P25, P75)次/min] | 20 (20, 22) | 20 (20, 22) | 20 (19, 22) | 0.877 |
| GCS评分 | 15 (15, 15) | 15 (15, 15) | 15 (15, 15) | 0.833 |
| 糖尿病(n, %) | 0.925 | |||
| 无 | 609 (79) | 428 (79) | 181 (78) | |
| 有 | 164 (21) | 114 (21) | 50 (22) | |
| 高血压(n, %) | 0.968 | |||
| 无 | 389 (50) | 272 (50) | 117 (51) | |
| 有 | 384 (50) | 270 (50) | 114 (49) | |
| 既往脑梗死(n, %) | 0.931 | |||
| 无 | 732 (95) | 514 (95) | 218 (94) | |
| 有 | 41 (5) | 28 (5) | 13 (6) | |
| 既往肿瘤史(n, %) | 0.971 | |||
| 无 | 657 (85) | 460 (85) | 197 (85) | |
| 有 | 116 (15) | 82 (15) | 34 (15) | |
| 慢性肺病(n, %) | 0.191 | |||
| 无 | 740 (96) | 515 (95) | 225 (97) | |
| 有 | 33 (4) | 27 (5) | 6 (3) | |
| 慢性肾病(n, %) | 0.906 | |||
| 无 | 747 (97) | 523 (96) | 224 (97) | |
| 有 | 26 (3) | 19 (4) | 7 (3) | |
| 慢性心脏病(n, %) | 0.085 | |||
| 无 | 744 (96) | 517 (95) | 227 (98) | |
| 有 | 29 (4) | 25 (5) | 4 (2) | |
| 慢性肝病(n, %) | 0.604 | |||
| 无 | 704 (91) | 496 (92) | 208 (90) | |
| 有 | 69 (9) | 46 (8) | 23 (10) | |
| 白血病(n, %) | 1 | |||
| 无 | 765 (99) | 536 (99) | 229 (99) | |
| 有 | 8 (1) | 6 (1) | 2 (1) | |
| 颅内感染(n, %) | 1 | |||
| 不是 | 771 (100) | 540 (100) | 231 (100) | |
| 是 | 2 (0) | 2 (0) | 0 (0) | |
| 肺部感染(n, %) | 0.803 | |||
| 不是 | 549 (71) | 383 (71) | 166 (72) | |
| 是 | 224 (29) | 159 (29) | 65 (28) | |
| 胆道感染(n, %) | 0.744 | |||
| 不是 | 721 (93) | 504 (93) | 217 (94) | |
| 是 | 52 (7) | 38 (7) | 14 (6) | |
| 泌尿道感染(n, %) | 0.792 | |||
| 不是 | 623 (81) | 435 (80) | 188 (81) | |
| 是 | 150 (19) | 107 (20) | 43 (19) | |
| 消化道感染(n, %) | 0.792 | |||
| 不是 | 623 (81) | 435 (80) | 188 (81) | |
| 是 | 150 (19) | 107 (20) | 43 (19) | |
| 有创通气(n, %) | 0.511 | |||
| 不是 | 675 (87) | 470 (87) | 205 (89) | |
| 是 | 98 (13) | 72 (13) | 26 (11) | |
| NEWS评分 | 4 (3, 6) | 4 (3, 6) | 4 (3, 6) | 0.637 |
| SOFA评分 | 6 (5, 8) | 6 (5, 8) | 6 (5, 8) | 0.963 |
乳酸、B型脑钠肽前体、凝血酶原时间、D二聚体、经皮血氧饱和度、心率及肺部感染为有意义的变量(P < 0.001),见表 2,各个变量之间无多重共性(VIF小于10),连续性变量与logitp之间存在线性关系(boxTidwell检验,P > 0.05)。
| 变量 | 总数(n=542) | 无创通气(n=470) | 有创通气(n=72) | P值 |
| 性别(n, %) | 0.342 | |||
| 男 | 330 (61) | 282 (60) | 48 (67) | |
| 女 | 212 (39) | 188 (40) | 24 (33) | |
| 年龄(岁) | 73 (61, 82) | 73 (61, 82) | 71.5 (61.25, 82) | 0.901 |
| C-反应蛋白[mg/L, M(P25, P75)] | 146.7 (78.64, 200) | 147.92 (83.41, 200) | 129.44 (53.82, 200) | 0.437 |
| 谷草转氨酶[U/L, M(P25, P75)] | 24 (14, 44) | 23 (14, 42) | 28.5 (15.75, 57) | 0.041 |
| 甘油三酯[mol/L, M(P25, P75)] | 2.89 (2.37, 3.58) | 2.89 (2.43, 3.62) | 2.81 (1.88, 3.52) | 0.033 |
| 总胆红素[mmol/L, M(P25, P75)] | 11.65 (7.5, 20.08) | 11.3 (7.2, 19.35) | 14.05 (9.23, 30.4) | 0.004 |
| 肌酐[mmol/L, M(P25, P75)] | 182.5 (148, 263) | 178 (145, 257.75) | 206 (160.5, 289.25) | 0.05 |
| 乳酸[mmol/L, M(P25, P75)] | 2.3 (1.33, 3.8) | 2.1 (1.3, 3.3) | 4.35 (2.9, 7.05) | <0.001 |
| B型脑钠肽前体[pg/mL, M(P25, P75)] | 2316 (893.6, 8068.8) | 2099 (838.8, 6547.3) | 8422.5 (2097.8, 19284.25) | <0.001 |
| 胆碱酯酶[U/L, M(P25, P75)] | 3995 (2970.3, 5157) | 4023.5 (3010.3, 5132) | 3824.5 (2358, 5250.5) | 0.178 |
| 凝血酶原时间[s, M(P25, P75)] | 15.5 (14.3, 17) | 15.4 (14.3, 16.8) | 16.65 (15.07, 19.42) | <0.001 |
| D二聚体[μg/L, M(P25, P75)] | 3.77 (2.1, 7.62) | 3.46 (1.97, 6.99) | 7.53 (3.77, 14.36) | <0.001 |
| 钾(mmol/L, n, %) | 0.951 | |||
| 3.5~5.5 | 342 (63) | 296 (63) | 46 (64) | |
| <3.5 | 170 (31) | 147 (31) | 23 (32) | |
| >5.5 | 30 (6) | 27 (6) | 3 (4) | |
| 钠(mmol/L, n, %) | 0.002 | |||
| 135~145 | 258 (48) | 223 (47) | 35 (49) | |
| <135 | 256 (47) | 229 (49) | 27 (38) | |
| >145 | 28 (5) | 18 (4) | 10 (14) | |
| 镁(mmol/L, n, %) | 0.16 | |||
| 0.75~1.25 | 336 (62) | 289 (61) | 47 (65) | |
| <0.75 | 196 (36) | 174 (37) | 22 (31) | |
| >1.25 | 10 (2) | 7 (1) | 3 (4) | |
| 钙(mmol/L, n, %) | 0.711 | |||
| 2.25~2.75 | 30 (6) | 25 (5) | 5 (7) | |
| <2.25 | 509 (94) | 442 (94) | 67 (93) | |
| >2.25 | 3 (1) | 3 (1) | 0 (0) | |
| 白细胞(×109/L n, %) | 0.007 | |||
| 4~10 | 156 (29) | 131 (28) | 25 (35) | |
| <4 | 35 (6) | 25 (5) | 10 (14) | |
| >10 | 351 (65) | 314 (67) | 37 (51) | |
| 血红蛋白(g/L, n, %) | 0.427 | |||
| 110~160 | 272 (50) | 234 (50) | 38 (53) | |
| <110 | 250 (46) | 220 (47) | 30 (42) | |
| >160 | 20 (4) | 16 (3) | 4 (6) | |
| 血小板(×109/L, n, %) | 0.259 | |||
| 100~300 | 363 (67) | 319 (68) | 44 (61) | |
| <100 | 146 (27) | 125 (27) | 21 (29) | |
| >300 | 33 (6) | 26 (6) | 7 (10) | |
| 白蛋白(g/L, n, %) | 28.83 ± 5.06 | 29.06 ± 5.01 | 27.33 ± 5.11 | 0.009 |
| 球蛋白[g/L, M(P25, P75)] | 26.6 (23.6, 30.3) | 26.7 (24, 30.48) | 25.4 (20.48, 28.45) | 0.001 |
| 经皮血氧饱和度(%, n, %) | 97 (95, 98) | 97 (95, 99) | 95 (88, 98) | <0.001 |
| 体温(℃, n, %) | 0.797 | |||
| 36~37.5 | 276 (51) | 241 (51) | 35 (49) | |
| <36 | 30 (6) | 27 (6) | 3 (4) | |
| >37.5 | 236 (44) | 202 (43) | 34 (47) | |
| 平均动脉压(mmHg, n, %) | 0.097 | |||
| 70~105 | 316 (58) | 281 (60) | 35 (49) | |
| <70 | 160 (30) | 131 (28) | 29 (40) | |
| >105 | 66 (12) | 58 (12) | 8 (11) | |
| 心率[次/min, M(P25, P75)] | 100.5 (86, 116) | 98 (85, 114.75) | 108.5 (94.75, 127.75) | <0.001 |
| 呼吸[次/min, M(P25, P75)] | 20 (20, 22) | 20 (18.25, 22) | 20 (20, 25.25) | 0.001 |
| GCS评分[M(P25, P75)] | 15 (15, 15) | 15 (15, 15) | 15 (15, 15) | 0.028 |
| 糖尿病(n, %) | 0.842 | |||
| 无 | 428 (79) | 370 (79) | 58 (81) | |
| 有 | 114 (21) | 100 (21) | 14 (19) | |
| 高血压(n, %) | 0.549 | |||
| 无 | 272 (50) | 233 (50) | 39 (54) | |
| 有 | 270 (50) | 237 (50) | 33 (46) | |
| 既往脑梗死(n, %) | 1 | |||
| 无 | 514 (95) | 445 (95) | 69 (96) | |
| 有 | 28 (5) | 25 (5) | 3 (4) | |
| 既往肿瘤史(n, %) | 0.02 | |||
| 无 | 460 (85) | 406 (86) | 54 (75) | |
| 有 | 82 (15) | 64 (14) | 18 (25) | |
| 慢性肺病(n, %) | 0.772 | |||
| 无 | 515 (95) | 447 (95) | 68 (94) | |
| 有 | 27 (5) | 23 (5) | 4 (6) | |
| 慢性肾病(n, %) | 0.301 | |||
| 无 | 523 (96) | 455 (97) | 68 (94) | |
| 有 | 19 (4) | 15 (3) | 4 (6) | |
| 慢性心脏病(n, %) | 0.558 | |||
| 无 | 517 (95) | 447 (95) | 70 (97) | |
| 有 | 25 (5) | 23 (5) | 2 (3) | |
| 慢性肝病(n, %) | 1 | |||
| 无 | 496 (92) | 430 (91) | 66 (92) | |
| 有 | 46 (8) | 40 (9) | 6 (8) | |
| 白细胞(n, %) | 1 | |||
| 无 | 536 (99) | 464 (99) | 72 (100) | |
| 有 | 6 (1) | 6 (1) | 0 (0) | |
| 颅内感染(n, %) | 1 | |||
| 不是 | 540 (100) | 468 (100) | 72 (100) | |
| 是 | 2 (0) | 2 (0) | 0 (0) | |
| 肺部感染(n, %) | <0.001 | |||
| 不是 | 383 (71) | 350 (74) | 33 (46) | |
| 是 | 159 (29) | 120 (26) | 39 (54) | |
| 胆道感染(n, %) | 0.786 | |||
| 不是 | 504 (93) | 436 (93) | 68 (94) | |
| 是 | 38 (7) | 34 (7) | 4 (6) | |
| 泌尿道感染(n, %) | 0.388 | |||
| 不是 | 435 (80) | 374 (80) | 61 (85) | |
| 是 | 107 (20) | 96 (20) | 11 (15) | |
| 消化道感染(n, %) | 0.388 | |||
| 不是 | 435 (80) | 374 (80) | 61 (85) | |
| 是 | 107 (20) | 96 (20) | 11 (15) |
乳酸、B型脑钠肽前体、D二聚体、经皮血氧饱和度、肺部感染是脓毒症伴急性肾损伤患者48 h内有创通气的独立危险因素(P < 0.05),见表 3,并建立列线图,每项变量在分数中对应相应的得分,相加得到总分,对应有创通气风险,见图 1。
| 变量 | 多因素logistic分析 | 逐步回归分析 | P值 | |
| OR(95%CI) | P值 | OR(95%CI) | ||
| 乳酸(mol/L) | 1.143(1.106~1.234) | <0.001 | 1.158(1.078~1.250) | <0.001 |
| B型脑钠肽前体(pg/mL) | 1.000(1.000~1.000) | <0.001 | 1.000(1.000~1.000) | <0.001 |
| 凝血酶原时间(s) | 1.1024(0.978~1.073) | 0.276 | NA | NA |
| D二聚体(μg/L) | 1.055(1.007~1.104) | 0.022 | 1.058(1.010~1.107) | 0.014 |
| 经皮血氧饱和度(%) | 0.961(0.929~0.989) | 0.011 | 0.958(0.926~0.987) | 0.007 |
| 心率(次/min) | 1.008(0.996~1.020) | 0.171 | NA | NA |
| 肺部感染 | 2.794(1.546~4.905) | 0.001 | 2.712(1.533~4.807) | 0.001 |
|
| 图 1 脓毒症伴急性肾损伤患者48 h内有创通气风险的列线图 Fig 1 Risk-prediction nomogram for mechanical ventilation within 48 hours among sepsis patients with acute kidney injury |
|
|
该模型的AUC(图 2A)为0.845(95%CI: 0.802~0.889);校准图(图 2B)的P值0.610,提示有良好的拟合度;利用DCA曲线提示(图 2C),有良好的临床意义。
|
| 图 2 建模人群中的模型评价。ROC曲线(A)、校准图(B)及DCA曲线(C) Fig 2 Evaluation of the prediction model in the modeling group. (A) ROC curves, (B) calibration chart, and (C) DCA curves |
|
|
模型在验证人群的AUC为0.880(95%CI: 0.825~0.935,图 3A);校准图的P值为0691(图 3B);DCA曲线均在两条极端曲线之上(3C)。
|
| 图 3 验证人群中的模型验证。ROC曲线(A)、校准图(B)及DCA曲线(C) Fig 3 Evaluation of the prediction model in the validation group. (A) ROC curves, (B) calibration chart, and (C) DCA curves |
|
|
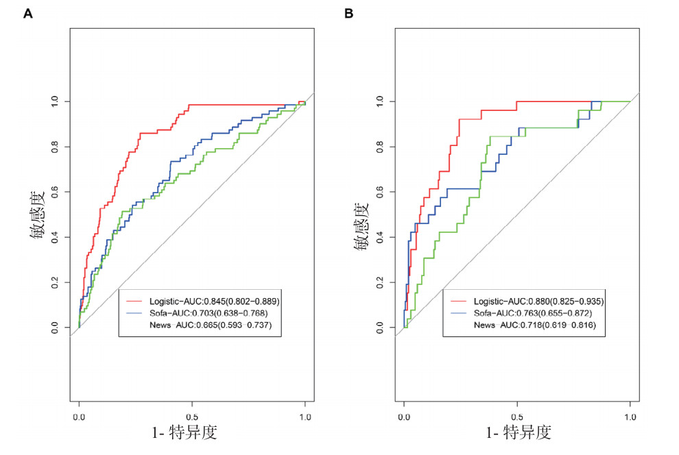
在建模组中,SOFA及NEWS评分模型(图 4A)的AUC值分别为0.703(95%CI: 0.638~0.768)和0.665(95%CI: 0.593~0.737),低于本模型;在验证组中,SOFA及News评分模型(图 4B)的AUC值分别为0.763(95%CI: 0.655~0.872),和0.718(95%CI: 0.619~0.816),也低于本模型。
|
| 图 4 在建模(A)及验证(B)人群中与Sofa及News评分的比较 Fig 4 Comparison of ROCs for models. (A) Comparison to the models based on the SOFA and NEWS scoring system in the modeling group (B) Comparison to the models based on the SOFA and NEWS scoring system in the validation group |
|
|
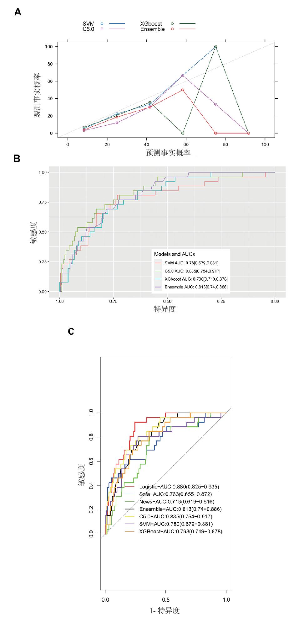
在验证组中,机器模型的校准性差(图 5A);C5.0的AUC值为0.835(0.754~0.917),SVM的AUC值为0.780(0.679~0.881),XGBoost的AUC值为0.798(0.719~0.878),集成模型(Ensemble)的AUC值为0.813(0.74~0.886)(图 5B),各种机器学习模型与本模型之间的AUC差异无统计学意义,图 5C及表 4。
|
| 图 5 机器学习的校准图(A)、ROC曲线(B)及在验证人群中各种方法的ROC曲线(C) Fig 5 The calibration chart of machine learning(A), the ROC curves of machine learning(B), and comparison of ROCs for all models in the validation group(C) |
|
|
| 建模方法 | AUC值及95%CI | P值(delong) |
| SVM | 0.780(0.679~0.881) | 0.098 |
| C5.0 | 0.835(0.754~0.917) | 0.377 |
| XGBoost | 0.798(0.719~0.878) | 0.101 |
| Ensemble | 0.813(0.740~0.886) | 0.155 |
| SOFA | 0.763(0.655~0.872) | 0.011 |
| NEWS | 0.718(0.619~0.816) | 0.002 |
脓毒症伴急性肾功能不全患者容易出现需要有创通气的情况,由此产生的一些并发症,比如气压伤、压疮等,可增加患者住院时间及病死率[6-8],模型的意义在于对该类患者进行个体化预测,对于风险高的,可以进行干预,如PICCO、肺动脉漂浮导管等措施进行补液指导,降低有创通气的风险。同时,有创通气风险高的患者属于病情危重患者,临床医师应该重视与患者家属的沟通,避免医疗纠纷的产生。本研究对近10余年医院的脓毒症伴急性肾损伤患者进行了回顾性分析,发现入院时的乳酸、B型脑钠肽前体、D二聚体、经皮血氧饱和度,及肺部的感染是该类患者48 h内有创通气的独立危险因素,以此建立的预测模型具有良好性能。本文模型与多种机器学习模型效果相当,证明本文模型包含了最有意义的变量。基于黑箱理论,机器学习在变量筛选过程及模型的解释上存在困难,可操作性不如列线图模型[15]。
本模型中的变量与脓毒症患者呼吸功能障碍相关,已获得部分研究证实。乳酸是氧代谢指标之一,其数值升高与脓毒症的预后及是否短期内进展为呼吸衰竭直接相关[16-17];B型脑钠肽前体数值能敏感地反映心室的压力,脓毒症患者因心肌损、补液过量等原因,均会升高,与呼吸衰竭密切相关[18-19];D二聚体高,提示肺部的微血管及大血管血栓形成,影响通气血流比例,更易出现呼吸衰竭[20];经皮血氧饱和度可直接反应体内氧代谢情况,入院时低,提示呼吸功能已经存在障碍;肺部感染为有创通气的独立危险因素,归因于感染会导致肺黏膜、肺泡损伤,增加继发感染及呼吸衰竭的风险[21-22]。在本研究的列线图模型中,这些变量的联合可有效预测脓毒症合并急性肾损伤患者入院后48 h内需要有创通气的风险。
本研究存在以下不足:①缺少外部数据验证;②这是一项回顾性研究,会存在选择偏倚。
利益冲突 所有作者声明无利益冲突
作者贡献声明 王跃胜:论文撰写;陈剑平:研究设计,论文修改;王斌:数据收集,统计分析;周晓莎:数据收集,数据核对
| [1] | Singer M, Deutschman CS, Seymour CW, et al. The third international consensus definitions for sepsis and septic shock (sepsis-3)[J]. JAMA, 2016, 315(8): 801-810. DOI:10.1001/jama.2016.0287 |
| [2] | Phua J, Koh Y, Du B, et al. Management of severe sepsis in patients admitted to Asian intensive care units: prospective cohort study[J]. BMJ, 2011, 342: d3245. DOI:10.1136/bmj.d3245 |
| [3] | Angus DC, Linde-Zwirble WT, Lidicker J, et al. Epidemiology of severe sepsis in the United States: analysis of incidence, outcome, and associated costs of care[J]. Crit Care Med, 2001, 29(7): 1303-1310. DOI:10.1097/00003246-200107000-00002 |
| [4] | Vincent JL, Marshall JC, Namendys-Silva SA, et al. Assessment of the worldwide burden of critical illness: the intensive care over nations (ICON) audit[J]. Lancet Respir Med, 2014, 2(5): 380-386. DOI:10.1016/S2213-2600(14)70061-X |
| [5] | Fleischmann C, Scherag A, Adhikari NK, et al. Assessment of global incidence and mortality of hospital-treated sepsis. current estimates and limitations[J]. Am J Respir Crit Care Med, 2016, 193(3): 259-272. DOI:10.1164/rccm.201504-0781OC |
| [6] | Liu KD, Matthay MA. Advances in critical care for the nephrologist: acute lung injury/ARDS[J]. Clin J Am Soc Nephrol, 2008, 3(2): 578-586. DOI:10.2215/CJN.01630407 |
| [7] | Liu KD, Thompson BT, Ancukiewicz M, et al. Acute kidney injury in patients with acute lung injury: impact of fluid accumulation on classification of acute kidney injury and associated outcomes[J]. Crit Care Med, 2011, 39(12): 2665-2671. DOI:10.1097/CCM.0b013e318228234b |
| [8] | Mehta RL, Pascual MT, Gruta CG, et al. Refining predictive models in critically ill patients with acute renal failure[J]. J Am Soc Nephrol, 2002, 13(5): 1350-1357. DOI:10.1097/01.asn.0000014692.19351.52 |
| [9] | Fang WF, Fang YT, Huang CH, et al. Risk factors and associated outcomes of ventilator-associated events developed in 28 days among sepsis patients admitted to intensive care unit[J]. Sci Rep, 2020, 10(1): 12702. DOI:10.1038/s41598-020-69731-3 |
| [10] | Vincent JL, Moreno R, Takala J, et al. The SOFA (Sepsis-related Organ Failure Assessment) score to describe organ dysfunction/failure. On behalf of the Working Group on Sepsis-Related Problems of the European Society of Intensive Care Medicine[J]. Intensive Care Med, 1996, 22(7): 707-710. DOI:10.1007/BF01709751 |
| [11] | Subbe CP, Kruger M, Rutherford P, et al. Validation of a modified Early Warning Score in medical admissions[J]. QJM, 2001, 94(10): 521-526. DOI:10.1093/qjmed/94.10.521 |
| [12] | Yu S, Leung S, Heo M, et al. Comparison of risk prediction scoring systems for ward patients: a retrospective nested case-control study[J]. Crit Care, 2014, 18(3): R132. DOI:10.1186/cc13947 |
| [13] | 孙媛, 李筱妍, 王琳. 脓毒症相关急性呼吸窘迫综合征患者骨形态发生蛋白9表达及其在疾病早期识别及预后预测中的作用[J]. 中华急诊医学杂志, 2024, 33(2): 186-192. |
| [14] | Jiang XD, Hu YX, Guo S, et al. Prediction of persistent acute kidney injury in postoperative intensive care unit patients using integrated machine learning: a retrospective cohort study[J]. Sci Rep, 2022, 12(1): 17134. DOI:10.1038/s41598-022-21428-5 |
| [15] | Kelly CJ, Karthikesalingam A, Suleyman M, et al. Key challenges for delivering clinical impact with artificial intelligence[J]. BMC Med, 2019, 17(1): 195. DOI:10.1186/s12916-019-1426-2 |
| [16] | 王斌, 陈剑平, 欧阳建. 脓毒症患者30天死亡风险预测模型的建立[J]. 中华急诊医学杂志, 2021, 30(10): 1240-1247. DOI:10.3760/cma.j.issn.1671-0282.2021.10.015 |
| [17] | Wang B, Chen JP, Wang MF. Establishment and validation of a predictive model for respiratory failure within 48 h following admission in patients with sepsis: a retrospective cohort study[J]. Front Physiol, 2023, 14: 1288226. DOI:10.3389/fphys.2023.1288226 |
| [18] | Takasu O, Gaut JP, Watanabe E, et al. Mechanisms of cardiac and renal dysfunction in patients dying of sepsis[J]. Am J Respir Crit Care Med, 2013, 187(5): 509-517. DOI:10.1164/rccm.201211-1983OC |
| [19] | Cheng H, Fan WZ, Wang SC, et al. N-terminal pro-brain natriuretic peptide and cardiac troponin Ⅰ for the prognostic utility in elderly patients with severe sepsis or septic shock in intensive care unit: a retrospective study[J]. J Crit Care, 2015, 30(3): 654.e9-654.14. DOI:10.1016/j.jcrc.2014.12.008 |
| [20] | Takeshita Y, Terada J, Hirasawa Y, et al. Elevated TAT in COVID-19 patients with normal D-dimer as a predictor of severe respiratory failure: a retrospective analysis of 797 patients[J]. J Clin Med, 2021, 11(1): 134. DOI:10.3390/jcm11010134 |
| [21] | Bouras M, Asehnoune K, Roquilly A. Contribution of dendritic cell responses to sepsis-induced immunosuppression and to susceptibility to secondary pneumonia[J]. Front Immunol, 2018, 9: 2590. DOI:10.3389/fimmu.2018.02590 |
| [22] | Roquilly A, Jacqueline C, Davieau M, et al. Alveolar macrophages are epigenetically altered after inflammation, leading to long-term lung immunoparalysis[J]. Nat Immunol, 2020, 21(6): 636-648. DOI:10.1038/s41590-020-0673-x |
2024, Vol. 33



