2. 浙江大学医学院附属杭州市第一人民医院重症医学科,杭州 2310006
2. Department of Critical Care Medicine, Affiliated Hangzhou First People's Hospital, Zhejiang University School of Medicine, HangZhou 310006 China
重度子痫前期是一组涵盖氧化和内质网应激、炎症和继发性内皮功能障碍等病理生理过程[1],病因尚未十分明确,主要影响妊娠中晚期,以蛋白尿,高血压和多脏器受损为特征的多系统综合征[2]。子痫前期是孕产妇发病和死亡、新生儿和胎儿死亡以及早产的主要原因之一[3]。子痫前期、产科出血和产科脓毒症占全球产科ICU住院人数的80%[4]。因其起病凶险,威胁胎儿和母体的健康安全,往往需要产科联合ICU救治。由于母体绒毛间隙灌注血管重塑不充分而引起的胎盘功能不全在该综合征的发展中起着重要作用[5]。目前唯一采用的有效治疗方法是同时娩出胎儿和胎盘[6],这导致了较高的早产率和胎儿生长受限。寻找简便高效的血清生物标记物早期预测不良妊娠结局,可早期予以患者对症干预或及时终止妊娠,可能为ICU联合产科救治重度子痫前期患者带来新思路。外周血中性粒细胞与淋巴细胞比值(NLR)是一种系统性炎症的衡量指标,是结合了主要由中性粒细胞引起的先天免疫反应以及由淋巴细胞支持的适应性免疫的生物标记物。较低的NLR通常与有利的预后因素相关,反映了保留的免疫平衡[7]。子痫前期患者血管内皮浸润着大量的中性粒细胞及其他类型白细胞,血管内皮损伤与中性粒细胞浸润血管导致炎症损害有关[8]。血清淀粉样蛋白A(SAA)是一种正向急性时相反应蛋白,目前的证据表明[9],在母体循环中的SAA可能作为一种非特异性的损伤相关分子模式(DAMP)分子,对分娩和妊娠障碍引起的组织炎症和损伤作出反应。在胎盘形成、胎膜早破和分娩中发挥更具体的作用,从而帮助胚胎植入子宫内膜,胎儿逃离危险的宫内环境。与正常妊娠相比,在相关研究中发现了子痫前期患者的NLR、SAA水平升高[10-11]。目前NLR、SAA对重度子痫前期不良妊娠结局预测的相关研究鲜有报道,本研究旨在探讨NLR、SAA及联合其他指标应用时对ICU联合产科救治重度子痫前期患者不良妊娠结局的预测能力,指导临床决策更好的临床终止妊娠时机,以期提升ICU救治子痫前期患者综合水平。
1 资料与方法 1.1 临床资料回顾性纳入2014年10月至2022年7月收住杭州市第一人民医院ICU多学科联合救治的重度子痫前期患者105例作为研究对象。研究经过杭州市第一人民医院伦理委员会审查通过(伦理批号:ZN-20230204-0017-01),并获得患者知情同意。根据患者妊娠结局分为不良妊娠结局组(62例)和非不良妊娠结局组(43例)。患者年龄18~50岁,(31.18±5.66)岁;孕周21~39周,平均(30.84±3.62)周。
1.2 纳入和排除标准纳入标准:从妊娠开始至产后42 d收入ICU多学科联合救治的重度子痫前期患者,诊断标准按照谢幸等主编的9版全国统一教材《妇产科学》。重度子痫前期诊断标准: 出现下列任一不良情况可诊断为重度子痫前期:⑴血压持续升高:收缩压≥160 mmHg和或舒张压≥110 mmHg;⑵尿蛋白≥5.0 g/24 h或随机尿蛋白≥(+++);⑶持续性头痛或视觉障碍或其他脑神经症状;⑷持续性上腹疼痛,肝包膜下血肿或肝破裂症状;⑸肝脏功能异常:肝酶ALT(丙氨酸氨基转移酶)或AST(门冬氨酸氨基转移酶)水平升高;⑹肾脏功能异常:少尿(24 h尿量<400 mL或每小时尿量<17 mL)或血肌酐>106 μmol/L;⑺低蛋白血症伴胸腔积液或腹腔积液;⑻血液系统异常:血小板呈持续性下降<100×109/L;血管内溶血、贫血、黄疸或血乳酸脱氢酶升高;⑼心力衰竭、肺水肿;⑽胎儿生长受限或羊水过少;⑾早发型及妊娠34周以前发病。排除标准:⑴年龄 < 18岁;⑵3 d内死亡;⑶放弃治疗;⑷临床资料不全;⑸严重神经功能障碍需长期ICU住院治疗者;⑹妊娠合并恶性肿瘤;⑺妊娠合并血液系统疾病。
1.3 观察指标收集所有患者入院后24 h内的化验指标及相关临床资料,包括年龄、妊娠周数、体重指数(body mass index, BMI)、剖宫产个人史、ICU住院时间、入院APACHEⅡ评分(acute physiology and chronic health evaluationⅡ,急性生理与慢性健康评分)、ICU有创操作、入院收缩压、进入ICU收缩压、白细胞计数、中性粒细胞计数、淋巴细胞计数、血小板计数、血红蛋白、中性粒细胞与淋巴细胞比值(NLR)、超敏C反应蛋白(CRP)、血清淀粉样蛋白A(SAA)、白蛋白、总胆红素、肌酐、丙氨酸氨基转移酶、门冬氨酸氨基转移酶、碱性磷酸酶、甘油三酯、高密度脂蛋白、低密度脂蛋白、D二聚体、尿蛋白等指标。
1.4 妊娠结局评价参考《妇产科学》中妊娠结局相关评价指标:死胎、自然流产、死产、超早产儿(<28周)、新生儿出生缺陷、新生儿窒息(5 min Apgar评分 < 7分)记为不良妊娠结局,无上述事件认定为非不良妊娠结局。
1.5 统计学方法所有数据采用SPSS 26.0统计学软件进行处理与分析。符合正态分布的计量资料以均数±标准差(x±s)表示,组间比较采用独立样本t检验;符合非正态分布的计量资料以四分位数表示,组间比较采用Mann-Whitney秩和检验。计数资料以百分比表示,组间比较采用χ2检验。Logistic多因素回归分析探讨影响重度子痫前期患者不良妊娠结局的相关因素,绘制受试者工作特征曲线(receiver operating characteristic,ROC),计算曲线下面积、灵敏度、特异度、最佳截断值等评估SAA、NLR及SAA联合NLR对重度子痫前期患者的不良妊娠结局的预测价值。以P < 0.05为差异有统计学意义。
2 结果 2.1 不良妊娠结局组和非不良妊娠结局组一般资料比较两组患者年龄、BMI、剖宫产个人史、随机尿蛋白≥(+++)、合并ICU有创操作、入院收缩压、入ICU收缩压、入院随机血糖、白蛋白、丙氨酸氨基转移酶、门冬氨酸氨基转移酶、肌酐、甘油三酯、高密度脂蛋白、低密度脂蛋白、D二聚体、血小板计数、血红蛋白、CRP比较差异无统计学意义(P>0.05);不良妊娠结局组患者ICU住院时间、APACHEⅡ评分、白细胞计数、血清淀粉样蛋白A(SAA)、中性粒细胞与淋巴细胞比值(NLR)均高于非不良妊娠结局组,妊娠周数、直接胆红素、碱性磷酸酶水平小于非不良妊娠结局组,差异有统计学意义(均P<0.05),见表 1。
| 变量 | 非不良妊娠结局组(43例) | 不良妊娠结局组(62例) | t/χ2/z值 | P值 |
| 年龄(岁) | 31.33±6.05 | 31.08±5.41 | 0.217 | 0.828 |
| ICU住院时间(d) | 3.00(3.00, 4.00) | 4.00(3.00, 5.00) | -2.292 | 0.022 |
| APACHE Ⅱ评分 | 7.00(5.00, 9.00) | 9.00(7.00, 11.25) | -3.133 | 0.002 |
| 妊娠周数(周) | 33.00(32.00, 35.00) | 30.00(26.75, 31.00) | -6.433 | <0.001 |
| BMI(kg/m2) | 28.00(25.00, 33.00) | 27.05(24.93, 29.03) | -1.105 | 0.269 |
| 剖宫产个人史(n, %) | 9(20.9) | 19(30.6) | 1.225 | 0.268 |
| 随机尿蛋白≥(+++)(n, %) | 22(51.2) | 40(64.5) | 1.872 | 0.171 |
| 合并ICU有创操作(n, %) | 10(23.3) | 23(37.1) | 2.257 | 0.133 |
| 入院收缩压(mmHg) | 160.58±24.12 | 157.97±24.81 | 0.537 | 0.592 |
| 入ICU收缩压(mmHg) | 148.74±22.15 | 152.84±20.76 | -0.967 | 0.336 |
| 入院随机血糖(mmol/L) | 4.99(4.48,6.02) | 4.64(4.03,5.65) | -1.668 | 0.095 |
| 白蛋白(g/L) | 27.45±3.79 | 28.76±3.74 | -1.754 | 0.082 |
| 直接胆红素(umol/L) | 2.20(1.90, 4.60) | 2.10(1.50, 2.50) | -2.346 | 0.019 |
| 丙氨酸氨基转移酶(U/L) | 26.00(15.00, 102.00) | 26.5(17.75, 53.25) | -0.033 | 0.974 |
| 门冬氨酸氨基转移酶(U/L) | 34.00(23.00, 69.00) | 33.00(25.00, 46.25) | -0.202 | 0.84 |
| 碱性磷酸酶(U/L) | 133.00(95.00, 188.00) | 99.00(74.00, 124.25) | -4.125 | <0.001 |
| 肌酐(μmol/L) | 75.00(65.00, 87.00) | 81.50(70.00, 92.50) | -1.688 | 0.091 |
| 甘油三酯(mmol/L) | 3.36(2.37, 5.69) | 3.38(2.56,4.44) | -0.013 | 0.99 |
| 高密度脂蛋白(mmol/L) | 1.58±0.52 | 1.70±0.49 | -1.242 | 0.217 |
| 低密度脂蛋白(mmol/L) | 3.41±1.34 | 3.41±1.31 | 0.012 | 0.991 |
| D二聚体(ng/mL) | 2310.00(1080.00, 4770.00) | 2485.00(1555.00, 4340.00) | -0.283 | 0.777 |
| 白细胞计数(109/L) | 10.41±4.00 | 12.29±4.25 | -2.282 | 0.025 |
| 血小板计数(109/L) | 148.44±73.26 | 134.11±60.80 | 1.091 | 0.278 |
| 血红蛋白(g/L) | 115.07±22.05 | 112.16±20.94 | 0.685 | 0.495 |
| NLR | 5.20(3.25, 8.77) | 7.95(5.22, 12.37) | -3.089 | 0.002 |
| SAA(mg/L) | 9.00(8.00, 20.70) | 37.85(11.00, 72.83) | -4.7 | <0.001 |
| CRP(mg/L) | 6.30(3.00, 11.30) | 10.45(3.00, 29.20) | -1.597 | 0.11 |
对多学科救治重度子痫前期患者的临床资料进行Logistic单因素回归分析,将单因素回归分析差异有统计学意义(P<0.05)的变量纳入Logistic多因素回归分析,结果显示,妊娠周数、SAA、APACHE Ⅱ评分是多学科救治重度子痫前期患者不良妊娠结局的危险因素(P<0.05),妊娠周数越早,SAA、APACHEⅡ评分越高,重度子痫前期患者发生不良妊娠结局可能性越大。见表 2。
| 变量 | β | S.E. | Wald χ2 | P值 | OR | 95%CI |
| NLR | 0.064 | 0.092 | 0.490 | 0.484 | 1.067 | 0.891~1.277 |
| 白细胞计数 | 0.049 | 0.101 | 0.239 | 0.625 | 1.051 | 0.862~1.280 |
| SAA | 0.028 | 0.013 | 4.411 | 0.036 | 1.028 | 1.002~1.055 |
| 妊娠周数 | -0.572 | 0.165 | 12.024 | 0.001 | 0.564 | 0.408~0.780 |
| 碱性磷酸酶 | -0.004 | 0.007 | 0.364 | 0.546 | 0.996 | 0.983~1.009 |
| APACHEⅡ评分 | 0.249 | 0.103 | 5.832 | 0.016 | 1.282 | 1.048~1.569 |
| 直接胆红素 | 0.036 | 0.147 | 0.061 | 0.805 | 1.037 | 0.777~1.384 |
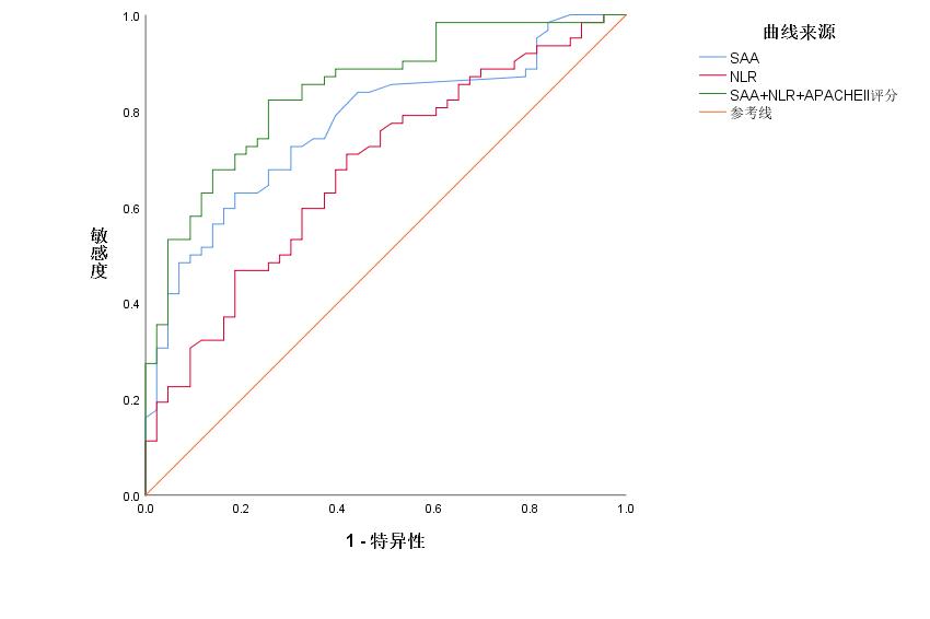
根据ROC曲线结果,计算SAA、NLR及SAA、NLR与APACHE Ⅱ评分联合的ROC曲线下的面积(area under curve,AUC)分别为0.770、0.678、0.844,SAA、NLR预测的最佳截断值分别为23.9 mg/L(敏感度为62.90%, 特异度为81.40%),5.7(敏感度为71.00%, 特异度为58.10%),SAA、NLR与APACHEⅡ评分联合预测敏感度为82.3%, 特异度为74.40%。SAA、NLR及SAA、NLR与APACHEⅡ评分联合均对多学科救治重度子痫前期患者不良妊娠结局有良好的诊断预测效能,ROC曲线下的面积比较行非参数检验,SAA、NLR与APACHEⅡ评分联合预测效能高于单一预测(P<0.05),差异有统计学意义,见图 1。
|
| 图 1 SAA、NLR及SAA、NLR联合APACHEⅡ评分对不良妊娠结局的ROC预测 Fig 1 ROC analysis of SAA, NLR and SAA, NLR combined with APACHEⅡ score for predicting adverse pregnancy outcomes |
|
|
重度子痫前期是临床常见的产科危重症,因为其病理和治疗管理同时影响母亲和胎儿,具有独特的挑战性,约影响5%~7%的孕妇,每年导致全球超过7万名产妇死亡和50万名胎儿死亡[12]。在所有的妊娠中,子痫前期的并发症占到10%,重度子痫前期因为发生多器官衰竭或癫痫的高风险,往往需要进入ICU多学科联合救治[4]。由于妊娠的特殊生理状态,限制了放射性检查及部分药物的应用,增加了临床救治的难度。虽然子痫前期的病因仍有争议,但临床和病理研究表明,胎盘是该综合征发病的中心。大量证据表明病变的胎盘导致可溶性毒性因子在母体循环中释放,从而导致炎症、内皮功能障碍和母体全身性疾病[13-14]。在重度子痫前期病理生理过程中,伴随着炎症细胞因子在内的众多的生物标记物水平的改变,寻找高效的炎症标记物提高不良妊娠结局的预测效能,对于指导临床决策终止妊娠分娩胎盘时机,提高多学科联合救治重度子痫前期患者能力具有积极意义。
母体免疫系统对胎盘的异常反应可能是子痫前期发病的第一步,其次是全身炎症反应[15]。先天免疫系统的不适当激活和随后的炎症可导致胎盘功能障碍或母体血管适应性差,并有助于子痫前期的发展[16]。中性粒细胞可能是导致子痫前期患者血管细胞功能障碍的主要白细胞[17],中性粒细胞的激活可能发生于暴露于胎盘分泌的氧化脂质,这是胎盘损伤的结果。激活的中性粒细胞浸润母体全身血管,释放ROS、TNF-α和MPO等物质,引起内皮功能障碍[17-18]。NLR是一种系统性炎症的衡量指标,已经有研究报道[19-21],与血压正常的对照组相比,子痫前期患者的NLR明显更高。Serin等[21]研究报道,重度子痫前期组患者NLR显著高于轻度组,同时,NLR与子痫前期患者收缩压/舒张压呈正相关关系,故推测NLR可作为评估子痫前期病情及预后的一项新指标。SAA是一类高度保守的血清分子家族,在人体内由104个氨基酸构成,主要但不限于肝脏生成。SAA的生物学功能尚不明确,SAA与特定受体相互作用参与机体的重要病理生理过程,包括通过金属蛋白酶参与组织重塑、动脉粥样硬化的局部组织变化、癌症转移、肺部炎症、母胎健康和肠道生理等[22-23]。SAA作为评价早产的生物学指标已被广泛发现[24-25],Sandri等[26]研究发现中等水平的SAA通过TLR-4受体增强胎盘形成,而增加SAA水平会干扰胎盘形成。他们确定了SAA在胎盘微环境中发挥作用,调节金属蛋白酶活性和滋养细胞侵袭,而这些是胎盘形成和胎盘稳态的关键过程。Can等[27]研究发现重度子痫前期组SAA和降钙素原水平明显高于轻度子痫前期组和正常血压组,证实了炎症反应与子痫前期的密切相关性。炎症在正常妊娠生理中起着关键作用, 过度或不充分的炎症都可能导致妊娠相关疾病[9]。NLR、SAA已在众多研究中被证实是良好的炎症生物标记物[28-29],两者联合评价不良妊娠结局预后的相关研究尚匮乏,在ICU住院治疗的重度子痫前期患者作为特殊的危重症群体,需要联合产科、ICU及其他相关科室多学科联合救治,病情危重、复杂、变化迅速是其特点。基于研究现状及重度子痫前期患者特点,本研究旨在阐明NLR、SAA对多学科救治重度子痫前期患者不良妊娠结局的预测价值,探索不良妊娠结局的危险因素,为指导多学科救治重度子痫前期患者提供临床决策依据。
本研究中不良妊娠结局发生率为59.05%,提示ICU住院多学科救治的重度子痫前期患者不良妊娠结局发生率较高,需要进一步提高不良妊娠结局的预测能力,为患者提供个体化临床决策建议。本研究的Logistic多因素回归分析提示妊娠周数越早,SAA、APACHEⅡ评分越高,重度子痫前期患者发生不良妊娠结局可能性越大。国内的多项单中心研究表明[30-31],妊娠周数与白蛋白水平、入院时的舒张压、低水平的血小板计数一同作为子痫前期不良妊娠结局的危险因素。终止妊娠时机的选择是ICU联合产科救治重度子痫前期患者的关键问题,尽早分娩胎儿及胎盘是解除母亲异常免疫激活状态的核心,对病情稳定的患者采取期待治疗,如果出现严重母婴并发症情况,就应适时终止妊娠,从而改善母婴结局。APACHEⅡ评分是国内外应用最为普遍的急危重症的预测模型之一,大量研究证实APACHEⅡ评分对ICU患者的预后预测的辨别力和校验力较好[32]。APACHEⅡ评分对整体人群的预测效能较好,对于特定疾病则往往需要联合其他指标达到良好的预测能力。本研究的不良妊娠结局的ROC预测结果显示,SAA、NLR及两者联合APACHEⅡ评分对重度子痫前期不良妊娠结局的ROC曲线下面积分别为0.770、0.678、0.844,SAA、NLR联合APACHEⅡ评分预测效能高于单一指标预测(P<0.05)。本研究结果证实了NLR、SAA对多学科救治重度子痫前期患者不良妊娠结局的良好预测价值,验证了炎症的异常激活在重度子痫前期病理过程中的重要作用。APACHE Ⅱ评分联合SAA、NLR显示出了优异的预测评价能力,为临床实践提供了良好的决策建议。
综上所述,SAA、NLR对多学科救治重度子痫前期患者不良妊娠结局具有良好的预测效能,SAA、NLR联合APACHEⅡ评分预测效能高于单一指标预测。本研究依托地方单中心危重孕产妇救治中心,研究时限跨度大,实验室数据受医院样本检测环境影响大,缺乏前瞻性、多中心、大样本研究的支撑,仍需未来更多研究的验证。
利益冲突 所有作者声明无利益冲突
作者贡献声明 方杰:数据收集及整理、统计学分析、论文撰写;胡炜:研究设计、论文修改
| [1] | Roberts JM, Rich-Edwards JW, McElrath TF, et al. Subtypes of preeclampsia: recognition and determining clinical usefulness[J]. Hypertension, 2021, 77(5): 1430-1441. DOI:10.1161/HYPERTENSIONAHA.120.14781 |
| [2] | Webb NR. High-density lipoproteins and serum amyloid A (SAA)[J]. Curr Atheroscler Rep, 2021, 23(2): 7. DOI:10.1007/s11883-020-00901-4 |
| [3] | Helmo FR, Lopes AMM, Carneiro ACDM, et al. Angiogenic and antiangiogenic factors in preeclampsia[J]. Pathol Res Pract, 2018, 214(1): 7-14. DOI:10.1016/j.prp.2017.10.021 |
| [4] | Guntupalli KK, Hall N, Karnad DR, et al. Critical illness in pregnancy: part Ⅰ: an approach to a pregnant patient in the ICU and common obstetric disorders[J]. Chest, 2015, 148(4): 1093-1104. DOI:10.1378/chest.14-1998 |
| [5] | Chiarello DI, Abad C, Rojas D, et al. Oxidative stress: normal pregnancy versus preeclampsia[J]. Biochim Biophys Acta BBA Mol Basis Dis, 2020, 1866(2): 165354. DOI:10.1016/j.bbadis.2018.12.005 |
| [6] | Rambaldi MP, Weiner E, Mecacci F, et al. Immunomodulation and preeclampsia[J]. Best Pract Res Clin Obstet Gynaecol, 2019, 60: 87-96. DOI:10.1016/j.bpobgyn.2019.06.005 |
| [7] | Buonacera A, Stancanelli B, Colaci M, et al. Neutrophil to lymphocyte ratio: an emerging marker of the relationships between the immune system and diseases[J]. Int J Mol Sci, 2022, 23(7): 3636. DOI:10.3390/ijms23073636 |
| [8] | Shah TJ, Walsh SW. Activation of NF-kappaB and expression of COX-2 in association with neutrophil infiltration in systemic vascular tissue of women with preeclampsia[J]. Am J Obstet Gynecol, 2007, 196(1): 48.e1-48.e8. DOI:10.1016/j.ajog.2006.08.038 |
| [9] | Lin YK, Zhu P, Wang WS, et al. Serum amyloid A, a host-derived DAMP in pregnancy?[J]. Front Immunol, 2022, 13: 978929. DOI:10.3389/fimmu.2022.978929 |
| [10] | Gezer C, Ekin A, Ertas IE, et al. High first-trimester neutrophil-to-lymphocyte and platelet-to-lymphocyte ratios are indicators for early diagnosis of preeclampsia[J]. Ginekol Pol, 2016, 87(6): 431-435. DOI:10.5603/GP.2016.0021 |
| [11] | Uckan K, Sahin HG. Serum amyloid A, procalcitonin, highly sensitive C reactive protein and tumor necrosis factor alpha levels and acute inflammatory response in patients with hemolysis, elevated liver enzymes, low platelet count (HELLP) and eclampsia[J]. J Obstet Gynaecol Res, 2018, 44(3): 440-447. DOI:10.1111/jog.13532 |
| [12] | Rana S, Lemoine E, Granger JP, et al. Preeclampsia: pathophysiology, challenges, and perspectives[J]. Circ Res, 2019, 124(7): 1094-1112. DOI:10.1161/CIRCRESAHA.118.313276 |
| [13] | Redman CW, Sargent IL. Latest advances in understanding preeclampsia[J]. Science, 2005, 308(5728): 1592-1594. DOI:10.1126/science.1111726 |
| [14] | Romero R, Chaiworapongsa T. Preeclampsia: a link between trophoblast dysregulation and an antiangiogenic state[J]. J Clin Invest, 2013, 123(7): 2775-2777. DOI:10.1172/jci70431 |
| [15] | Kanellopoulos-Langevin C, Caucheteux SM, Verbeke P, et al. Tolerance of the fetus by the maternal immune system: role of inflammatory mediators at the feto-maternal interface[J]. Reprod Biol Endocrinol, 2003, 1: 121. DOI:10.1186/1477-7827-1-121 |
| [16] | Pierik E, Prins JR, van Goor H, et al. Dysregulation of complement activation and placental dysfunction: a potential target to treat preeclampsia?[J]. Front Immunol, 2019, 10: 3098. DOI:10.3389/fimmu.2019.03098 |
| [17] | Cadden KA, Walsh SW. Neutrophils, but not lymphocytes or monocytes, infiltrate maternal systemic vasculature in women with preeclampsia[J]. Hypertens Pregnancy, 2008, 27(4): 396-405. DOI:10.1080/10641950801958067 |
| [18] | Laresgoiti-Servitje E. A leading role for the immune system in the pathophysiology of preeclampsia[J]. J Leukoc Biol, 2013, 94(2): 247-257. DOI:10.1189/jlb.1112603 |
| [19] | Gogoi P, Sinha P, Gupta B, et al. Neutrophil-to-lymphocyte ratio and platelet indices in pre-eclampsia[J]. Int J Gynaecol Obstet, 2019, 144(1): 16-20. DOI:10.1002/ijgo.12701 |
| [20] | Mannaerts D, Heyvaert S, De Cordt C, et al. Are neutrophil/lymphocyte ratio (NLR), platelet/lymphocyte ratio (PLR), and/or mean platelet volume (MPV) clinically useful as predictive parameters for preeclampsia?[J]. J Matern Fetal Neonatal Med, 2019, 32(9): 1412-1419. DOI:10.1080/14767058.2017.1410701 |
| [21] | Serin S, Avcı F, Ercan O, et al. Is neutrophil/lymphocyte ratio a useful marker to predict the severity of pre-eclampsia?[J]. Pregnancy Hypertens, 2016, 6(1): 22-25. DOI:10.1016/j.preghy.2016.01.005 |
| [22] | Sack G H, Jr. Serum amyloid A - a review[J]. Mol Med, 2018, 24(1): 46. DOI:10.1186/s10020-018-0047-0 |
| [23] | Jr SGH. Serum amyloid A (SAA) proteins[J]. Subcell Biochem, 2020, 94: 421-436. DOI:10.1007/978-3-030-41769-7_17 |
| [24] | Ibrahim MI, Ramy AR, Abdelhamid AS, et al. Maternal serum amyloid A level as a novel marker of primary unexplained recurrent early pregnancy loss[J]. Int J Gynaecol Obstet, 2017, 136(3): 298-303. DOI:10.1002/ijgo.12076 |
| [25] | Mithal LB, Palac HL, Yogev R, et al. Cord blood acute phase reactants predict early onset neonatal Sepsis in preterm infants[J]. PLoS One, 2017, 12(1): e0168677. DOI:10.1371/journal.pone.0168677 |
| [26] | Sandri S, Urban Borbely A, Fernandes I, et al. Serum amyloid A in the placenta and its role in trophoblast invasion[J]. PLoS One, 2014, 9(3): e90881. DOI:10.1371/journal.pone.0090881 |
| [27] | Can M, Sancar E, Harma M, et al. Inflammatory markers in preeclamptic patients[J]. Clin Chem Lab Med, 2011, 49(9): 1469-1472. DOI:10.1515/CCLM.2011.232 |
| [28] | 叱珑, 孙翔, 朴知含, 等. 血淀粉样蛋白A在体外循环围手术期患者感染早期诊断和预测的价值[J]. 中华急诊医学杂志, 2021, 30(4): 432-434. DOI:10.3760/cma.j.issn.1671-0282.2021.04.010 |
| [29] | 高飞, 高嵩, 惠姣洁, 等. 中性粒细胞与淋巴细胞比值和中性粒细胞胞外诱捕网与脓毒症肝损伤的临床研究[J]. 中华急诊医学杂志, 2021, 30(12): 1484-1488. DOI:10.3760/cma.j.issn.1671-0282.2021.12.013 |
| [30] | 李秀娟, 蔡建兴, 叶辉铭. 子痫前期孕妇妊娠不良结局的危险因素分析[J]. 中国妇幼保健, 2019, 34(5): 996-999. DOI:10.7620/zgfybj.j.issn.1001-4411.2019.05.09 |
| [31] | 李元成, 沈伶, 黄菊. 重度子痫前期孕妇不良妊娠结局的危险因素分析[J]. 中国实验诊断学, 2014, 18(3): 403-405. |
| [32] | Jakub Ś. Prognostic scoring systems for mortality in intensive care units: the APACHE model[J]. Anaesthesiol Intensive Ther, 2015, 47(1): 87-88. DOI:10.5603/AIT.2014.0010 |
2023, Vol. 32



