2. 温州医科大学附属第一医院急诊科,温州 325000
2. Emergency Department, The First Affiliated Hospital of Wenzhou Medical University, Wenzhou 325000, China
全身炎症反应是危重病患者疾病过程中不可或缺的部分,是造成临床不良结局的重要原因。在临床实践中,多种生物标志物被用于评估机体潜在的炎症状态[1-2]。炎症细胞,如中性粒细胞、淋巴细胞和单核细胞是最经典的炎症生物标志物。近年来,一些由白细胞亚群比例构成的新型炎症标志物愈发受到研究人员的关注,如中性粒细胞/淋巴细胞比值(neutrophil/lymphocyte ratio, NLR)、单核细胞/淋巴细胞比值(monocyte/lymphocyte Ratio, MLR)、血小板/淋巴细胞比值(platelet/lymphocyte ratio, PLR)等。对于危重病患者,NLR、MLR、PLR已经被证明可以作为早期和晚期病死率的预测因子,并与其他不良结局事件有关[1, 3-6]。SII是一种结合中性粒细胞、淋巴细胞和血小板的新型炎症标志物,能较为全面地反映机体的炎症和免疫状态[7-9]。许多研究探讨了SII在肿瘤[10-12]、抗中性粒细胞胞浆抗体相关血管炎[13]、心源性休克[14]、急性心肌梗死[15]等疾病中的价值。然而,目前尚无关于SII与危重病患者预后相关性的研究报道,本研究旨在探讨SII预测危重病患者院内死亡风险的价值,为临床判断预后提供参考依据。
1 资料与方法 1.1 数据来源本研究所有数据均提取自美国重症监护医学信息数据库-Ⅳ(Medical Information Mart for Intensive Care-Ⅳ, MIMIC-Ⅳ)。MIMIC-Ⅳ数据库是MIMIC-Ⅲ的升级版本,是美国贝斯以色列女执事医疗中心(Beth Israel Deaconess Medical Center, BIDMC)的重症数据库。目前最新版本的MIMIC-Ⅳ数据库涵盖了2008—2019年,超200 000例急诊入院病例和超60 000例重症监护病房(intensive care units, ICU)住院病例,包含有人口统计学资料、实验室检查、影像学检查、生命体征、诊断、医疗干预记录等。研究人员已完成“Protecting Human Research Participants”课程,并获取BIDMC和麻省理工学院的研究批准(注册号:43546933)。
纳入标准为首次入住ICU患者。排除标准为:①年龄 < 18岁;②缺失入住ICU 24 h内血常规结果;③数据缺失大于5%。
1.2 研究方法使用Postgre SQL软件提取数据。提取的数据包括:性别、年龄、入院时间、出院时间、死亡时间、入住ICU、合并症(慢性肾病、慢性肝病、慢性肺病、脑血管病、心功能不全、心肌梗死、糖尿病、肿瘤、艾滋病、周围血管病、痴呆、风湿、消化性溃疡、截瘫)、生命体征、血常规、Logistic器官功能障碍系统评分(Logistic organ dysfunction score, Lods)、牛津急性疾病严重程度评分(Oxford acute severity of illness score, Oasis)、简化急性生理评分(simplified acute physiology score, Saps-Ⅱ)、急性生理学评分-Ⅲ(acute physiology score-Ⅲ,APS-Ⅲ)、序贯器官衰竭评分(sequential organ failure score, SOFA)。计算入住ICU 24 h内首次SII=(血小板×中性粒细胞)/淋巴细胞比值。主要结局指标为院内死亡,次要结局指标为住院时长、连续性肾脏替代治疗(continuous renal replacement therapy, CRRT)、机械通气率及1年病死率。
1.3 统计学方法经正态性检验所有连续变量经均不符合正态分布,以中位数(四分位数)[M(Q1, Q3)]表示,分类变量以频数和百分比表示。连续变量两组间比较采用Mann-Whitney U检验;连续变量多组间比较采用Kruskal-Wallis H检验;分类变量组间比较采用χ2检验。采用Logistic回归模型分析SII三分位分组患者院内死亡风险差异,以第一分类组为参考组,结果以OR及其95%CI表示。所有数据处理及分析采用SPSS 26.0软件,以P < 0.05为差异具有统计学意义。
2 结果 2.1 一般资料MIMIC-Ⅳ数据库中共计76 540例次入住重症监护室病例,删除23 390例次重复住院病例,剔除20 700例数据缺失病例,共计32 450例危重病患者纳入研究。患者的一般人口统计学资料见表 1。
| 参数 | 总数 (n=32 450) |
生存组 (n=28 685) |
死亡组 (n=3 765) |
| 男性[n(%)] | 18 462 (56.9) | 16 424 (57.3) | 2 038 (54.1) |
| 年龄(岁)a | 66.1 (54.4, 78.6) | 66.1 (53.6, 77.7) | 73.1 (61.0, 83.3) |
| 合并症[n(%)] | |||
| 慢性肾病 | 6 050 (18.6) | 5 146 (17.9) | 904 (24.0) |
| 慢性肝病 | 3 869 (11.9) | 3 029 (10.6) | 840 (22.3) |
| 慢性肺病 | 7 582 (23.4) | 6 613 (23.1) | 969 (25.7) |
| 脑血管病 | 4 843 (14.9) | 3 981 (13.9) | 862 (22.9) |
| 心功能不全 | 8 070 (24.9) | 6 910 (24.1) | 1160 (30.8) |
| 心肌梗死 | 5 442 (16.8) | 4 666 (16.3) | 776 (20.6) |
| 肿瘤 | 4 479 (13.8) | 3 533 (12.3) | 946 (25.1) |
| 艾滋病 | 209 (0.6) | 185 (0.6) | 24 (0.6) |
| 周围血管病 | 3 258 (10.0) | 2 808 (9.8) | 450 (12.0) |
| 痴呆 | 1 272 (3.9) | 1065 (3.7) | 207 (5.5) |
| 风湿 | 1 084 (3.3) | 941 (3.3) | 143 (3.8) |
| 消化性溃疡 | 1 055 (3.3) | 927 (3.2) | 128 (3.4) |
| 截瘫 | 1 593 (4.9) | 1 310 (4.6) | 283 (7.5) |
| ICU类型[n(%)] | |||
| MICU/SICU | 6 472 (19.9) | 5 589 (86.4) | 883 (13.6) |
| MICU | 7 675 (23.7) | 6 583 (85.8) | 1092 (14.2) |
| SICU | 4 163 (12.8) | 3 609 (86.7) | 554 (13.3) |
| CCU | 9 235 (28.5) | 8 576 (92.9) | 659 (7.1) |
| TSICU | 3 317 (10.2) | 2 921 (88.1) | 396 (11.9) |
| NICU | 1 588 (4.9) | 1 407 (88.6) | 181 (11.4) |
| 生命体征a | |||
| 心率(次) | 86 (75, 101) | 85 (75, 100) | 93 (79, 109) |
| 平均压(mmHg) | 83 (72, 95) | 83 (72, 95) | 80 (67, 94) |
| 收缩压(mmHg) | 123 (108, 140) | 124 (109, 141) | 118 (101, 137) |
| 舒张压(mmHg) | 67 (57, 80) | 68 (57, 80) | 65 (53, 79) |
| 呼吸次数(次) | 18 (15, 22) | 18 (15, 22) | 21 (17, 26) |
| 体温(℃) | 36.7 (36.4, 37.1) | 36.7 (36.4, 37.1) | 36.7 (36.2, 37.0) |
| 氧饱和度(%) | 98 (95, 100) | 98 (96, 100) | 97 (94, 100) |
| 注:MICU为内科重症监护室;SICU为外科重症监护室,CCU为冠心病和心脏血管重症监护室;TSICU为创伤外科重症监护室;NICU为神经重症监护室;a为M(Q1, Q3);1 mmHg=0.133 kPa | |||
根据院内死亡事件将32 450例患者分组,其中生存组28 685例,死亡组3 765例。组间差异性比较发现,死亡组患者SII更高,差异具有统计学意义,P < 0.05,见表 2。
| 指标 | 总体 (n=32 450) |
生存组 (n=28 685) |
死亡组 (n=3 765) |
Z/χ2值 | P值 |
| SII | 1317 (631, 2 837) | 1252 (616, 2 674) | 1953 (860, 4 231) | -18.564 | < 0.001 |
| 血常规 | |||||
| 白细胞(×109/L) | 10.8 (7.7, 15.1) | 10.6 (7.6, 14.7) | 12.8 (8.4, 18.7) | -17.516 | < 0.001 |
| 中性粒细胞(×109/L) | 8.5 (5.5, 12.4) | 8.3 (5.5, 12.0) | 10.4 (6.3, 15.4) | -17.384 | < 0.001 |
| 淋巴细胞(×109/L) | 1.23 (0.76, 1.88) | 1.27 (0.80, 1.92) | 0.94 (0.54, 1.53) | -22.078 | < 0.001 |
| 单核细胞(×109/L) | 0.49 (0.30, 0.77) | 0.49 (0.31, 0.75) | 0.55 (0.29, 0.92) | -6.955 | < 0.001 |
| 红细胞(×1012/L) | 3.78 (3.15, 4.39) | 3.80 (3.17, 4.41) | 3.63 (2.99, 4.25) | -9.666 | < 0.001 |
| 血红蛋白(g/L) | 11.3 (9.4, 13.2) | 11.4 (9.5, 13.2) | 10.9 (9.1, 12.7) | -8.982 | < 0.001 |
| 血小板(×109/L) | 203 (144, 272) | 204 (147, 272) | 190 (121, 272) | -8.386 | < 0.001 |
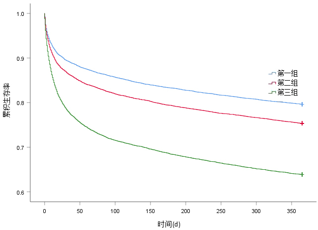
根据SII三分位将患者分成3组:第一组SII: < 817 (n=10 816);第二组SII: 817~2 151 (n=10 816);第三组SII: > 2 151(n=10 818),组间差异性比较结果见表 3。以第一组作为参考组,采用Logistic回归模型分析,笔者发现SII三分位数与院内病死率增加有关,这种死亡风险的逐步增加在多变量模型调整后仍然具有统计学意义,且在所有次要结局中都存在相似的趋势,见表 4和图 1。SII与1年病死率之间的关系见图 2中。同样还在脓毒症亚组中观察到了相似的结果,见附表 1、附图 1、附图 2。
| 指标 | SII: < 817 (n=10 816) |
SII: 817~2 151 (n=10 816) |
SII: > 2 151 (n=10 818) |
| Saps-Ⅱ(分)a | 33 (25, 41)b | 33 (25, 42)c | 36 (27, 46)d |
| Aps-Ⅲ(分)a | 37 (28, 52)b | 40 (30, 56)c | 47 (35, 64)d |
| Lods(分)a | 4 (2, 6)b | 4 (2, 6)c | 4 (2, 7)d |
| Oasis(分)a | 29 (24, 36)b | 31 (25, 37)c | 33 (26, 40)d |
| Sofa(分)a | 4 (2, 7)b | 4 (2, 7)c | 4 (2, 7)b |
| 院内死亡[n(%)] | 905 (8.4%)b | 1 101 (10.2%)c | 1 759 (16.3%)d |
| 住院时间 > 14 d[n(%)] | 1 511 (14.0%)b | 1 770 (16.4%)c | 2 401 (22.2%)d |
| CRRT[n(%)] | 101 (0.9%)b | 129 (1.2%)b | 176 (1.6%)d |
| 机械通气 > 5 d[n(%)] | 370 (3.4%)b | 508 (4.7%)c | 745 (6.9%)d |
| 30 d病死率[n(%)] | 1 125 (10.4%)b | 1 400 (12.9%)c | 2 284 (21.1%)d |
| 90 d病死率[n(%)] | 1 504 (13.9%)b | 1 897 (17.5%)c | 3 021 (27.9%)d |
| 180 d病死率[n(%)] | 1 809 (16.7%)b | 2 231 (20.6%)c | 3 416 (31.6%)d |
| 1年病死率[n(%)] | 2 204 (20.4%)b | 2 666 (24.6%)c | 3 907 (36.1%)d |
| 注:a为M(Q1, Q3);b、c、d为如果两组之间标记字母相同,说明这两组之间的差异无统计学意义;如果两组标记字母不同,说明这两组之间的差异有统计学意义 | |||
| 模型1 | OR | 95%CI | P值 |
| 第一组 | REF. | ||
| 第二组 | 1.24 | 1.13~1.36 | < 0.05 |
| 第三组 | 2.13 | 1.95~2.32 | < 0.05 |
| 模型2 | OR | 95%CI | P值 |
| 第一组 | REF. | ||
| 第二组 | 1.20 | 1.10~1.32 | < 0.05 |
| 第三组 | 2.05 | 1.88~2.23 | < 0.05 |
| 模型3 | OR | 95%CI | P值 |
| 第一组 | REF. | ||
| 第二组 | 1.27 | 1.16~1.40 | < 0.05 |
| 第三组 | 2.16 | 1.98~2.36 | < 0.05 |
| 模型4 | OR | 95%CI | P值 |
| 第一组 | REF. | ||
| 第二组 | 1.38 | 1.24~1.54 | < 0.05 |
| 第三组 | 2.03 | 1.83~2.24 | < 0.05 |
| 注:模型1为无校正混杂因素;模型2为校正混杂因素:年龄、性别;模型3为校正混杂因素:年龄、性别、并发症、生命体征;模型4为校正混杂因素:年龄、性别、并发症、生命体征、疾病严重程度评分;REF为参考组 | |||
|
| 点估计代表OR,误差线代表 95%CI;校正混杂因素:年龄、性别、并发症、生命体征、疾病严重程度评分 图 1 单因素分析SII与次要结局指标关系(校正混杂因素) Fig 1 Univariate analysis of secondary outcomes (adjusted OR) |
|
|
|
| 图 2 SII三分类与1年病死率的Kaplan-Meier生存曲线 Fig 2 Kaplan-Meier survival analysis plot for 1-year mortality with quartiles of SII |
|
|
人口老龄化使得复杂合并症和慢病失代偿的群体不断扩大,加之医学科学技术的进步,危重病患者数量逐年增加,对重症医学学科及社会经济造成巨大负担。对危重病患者早期干预,尤其是入院后的开始几个小时,对降低病死率起非常重要的作用,被称为“golden hour”,因此早期评估的意义显得愈发重要[3]。尽管有大量的评分系统及改良评分系统可以用于评估患者干预质量并能够预测预后,但是廉价、快速、有效的生物标志物却非常有限[16]。
全身炎症反应是危重病患者疾病过程中不可或缺的部分,是造成临床不良结局的重要原因[1-2]。炎症细胞如中性粒细胞、淋巴细胞和单核细胞,是最经典的用以评估机体潜在炎症状态的生物标志物,也是许多评分系统中经常使用的参数。近来,一些由白细胞亚群比列构成的新型炎症标志物愈发受到研究人员的关注,如NLR、MLR、PLR、SII等。对于危重病患者而言,NLR、MLR、PLR已被证明可以作为早期和晚期病死率的预测因子,并与其他不良结局事件有关,如:通过大样本分析,Salcicciol等[1]发现NLR与非选择性危重病患者的预后相关;一项纳入373例危重病患者的前瞻性观察性队列研究分析了NLR预测危重病患者院内病死率和6个月病死率的价值,结果表明NLR可以作为短期和长期病死率的独立指标[3];在对MIMIC-Ⅲ数据库中危重病患者的研究中,李艳秀等[4]发现MLR升高与危重病患者30 d病死率独立相关,同时也是使用CRRT、机械通气时间延长、ICU住院时间及总住院时间延长的独立危险因素;Karagoz等[5]和Yoldas等[6]各自的研究结果显示PLR可以预测危重病患者的病死率。SII是一种结合中性粒细胞、淋巴细胞和血小板的新型炎症标志物,能较为全面地反映机体的炎症和免疫状态[7-9]。SII升高是由于中性粒细胞计数增加、血小板计数增加和淋巴细胞计数减少导致。众所周知,中性粒细胞计数与机体炎症反应呈正相关,是最经典的用以评估机体炎症状态的生物标志物,被广泛的用以疾病的诊断和预后的评估[17-19]。淋巴细胞作为免疫反应的一部分,在免疫调节途径中发挥着重要作用。在炎症加重的情况下,淋巴细胞出现凋亡、衰竭和下调从而导致淋巴细胞数量减少,使有害的炎症状态持续,其可能机制是儿茶酚胺、催乳素和皮质醇水平随应激而增加,淋巴细胞向网状内皮系统边缘聚集[20-26]。至于血小板,随着全身炎症的发生,通过黏附、聚集、释放等过程形成恶性循环,从而加重炎症损伤[27]。因此,由于中性粒细胞和血小板水平的升高以及淋巴细胞水平的降低,SII升高可能反应了全身炎症反应加剧,从而导致不良的临床结局。有研究探讨了SII预测肿瘤[10-12]、抗中性粒细胞胞浆抗体相关血管炎[13]、心源性休克[14]、急性心肌梗死[15]等疾病在预后方面的价值。然而,目前尚无关于SII与危重病患者预后相关性的研究报道。
本研究通过分析MIMIC-Ⅳ数据库中32 450例危重病患者的信息资料,探讨系统免疫炎症指数SII对危重病患者院内死亡风险的预测价值。研究结果显示:与生存组相比,死亡组患者SII更高,差异具有统计学意义,提示SII升高可能预示患者病情危重。根据SII三分位进一步将患者分成三组(第一组患者SII < 817,第二组患者SII 817~2 151,第三组患者SII > 2 151),依据Luo等[28]对健康人群SII参考范围的研究,第一组落入正常参考范围142~804间,将其作为参考组。三组患者病死率、住院时长、CRRT及机械通气率随组别增大呈上升趋势,差异具有统计学意义。经Logistic回归分析,第二组OR=1.24 (95%CI: 1.13~1.36),第三组OR=2.13 (95%CI: 1.95~2.32),院内死亡风险逐渐增加,调整模型校正年龄、性别、并发症、生命体征、疾病严重程度评分等混杂因素后,这一趋势仍然稳定,进一步说明了SII对危重病患者院内死亡有预测价值。根据本研究数据,危重病患者高SII水平是院内病死率的独立危险因素,SII水平超过2 151会使院内病死率增加113%。此外,SII值越高,长期住院、院内机械通气及CRRT的风险越高。临床医师若在治疗过程中发现患者SII上升,可能预示病情加重、不良事件发生率增加;若经治疗上述指标下降,可能预示病情好转。Saps-II、Aps-Ⅲ等是重症监护室中比较常用的、用以评估患者疾病危重程度的评分量表,评分量表多包含生理、血液、生化等多中参数指标,具有客观、全面、精准等特点,然而对于危重患者在入院后头几个小时内进行干预对降低病死率起着非常重要的作用,急诊科的起始几小时相当于在ICU的72 h,在这种情况下,简单、易得且有效的生物标志物对显得更为重要。
本研究优势在于研究人群规模庞大且为非选择性危重病患者,这增加了研究结果的普适性和外部有效性。本研究亦存在一定的局限性。第一,本研究为单中心、回顾性研究,其结果尚需要多中心、前瞻性、大样本的研究进一步证实。第二,本研究仅探讨了SII与危重病患者预后的关系,但未对其关联背后的可能机制进一步阐述。第三,尽管研究显示SII在危重病患者预后评估中有重要价值,但仍需进一步研究其在不同疾病亚组的具体意义。
综上所述,本研究通过大样本回顾性分析得出,SII可作为危重病患者的危险分层标志,对于评估危重病患者预后有重要价值,其简单、易得、快速的特点,且不产生额外费用,可建议用以指导危重病患者入院后开始几小时的干预。
利益冲突 所有作者声明无利益冲突
作者贡献声明 叶渊文、李飞飞:研究设计、数据收集、整理、论文撰写;陈玲珑、陈新国:数据质控、统计学分析;赵光举:研究设计、统计学分析、论文修改;卢中秋:论文审阅、指导、定稿
本文附录请登录中华急诊网(www.cem.org.cn)浏览(Html格式全文)
| [1] | Salciccioli JD, Marshall DC, Pimentel MA, et al. The association between the neutrophil-to-lymphocyte ratio and mortality in critical illness: an observational cohort study[J]. Crit Care, 2015, 19(1): 13. DOI:10.1186/s13054-014-0731-6 |
| [2] | Kutlucan L, Kutlucan A, Basaran B, et al. The predictive effect of initial complete blood count of intensive care unit patients on mortality, length of hospitalization, and nosocomial infections[J]. Eur Rev Med Pharmacol Sci, 2016, 20(8): 1467-1473. |
| [3] | Akilli NB, Yortanlı M, Mutlu H, et al. Prognostic importance of neutrophil-lymphocyte ratio in critically ill patients: short-and long-term outcomes[J]. Am J Emerg Med, 2014, 32(12): 1476-1480. DOI:10.1016/j.ajem.2014.09.001 |
| [4] | 李艳秀, 刘云, 周春雷, 等. 单核细胞/淋巴细胞比值作为重症患者30 d死亡及不良事件预测指标的相关研究[J]. 中华危重病急救医学, 2021, 33(5): 582-586. DOI:10.3760/cma.j.cn121430-20201223-00772 |
| [5] | Karagoz I, Yoldas H. Platelet to lymphocyte and neutrophil to lymphocyte ratios as strong predictors of mortality in intensive care population[J]. Rev Assoc Med Bras (1992), 2019, 65(5): 633-636. DOI:10.1590/1806-9282.65.5.633 |
| [6] | Yoldas H, Karagoz I, Ogun MN, et al. Novel mortality markers for critically ill patients[J]. J Intensive Care Med, 2020, 35(4): 383-385. DOI:10.1177/0885066617753389 |
| [7] | Hong X, Cui BH, Wang M, et al. Systemic immune-inflammation index, based on platelet counts and neutrophil-lymphocyte ratio, is useful for predicting prognosis in small cell lung cancer[J]. Tohoku J Exp Med, 2015, 236(4): 297-304. DOI:10.1620/tjem.236.297 |
| [8] | Chovanec M, Cierna Z, Miskovska V, et al. Systemic immune-inflammation index in germ-cell tumours[J]. Br J Cancer, 2018, 118(6): 831-838. DOI:10.1038/bjc.2017.460 |
| [9] | Montecucco F, Liberale L, Bonaventura A, et al. The role of inflammation in cardiovascular outcome[J]. Curr Atheroscler Rep, 2017, 19(3): 11. DOI:10.1007/s11883-017-0646-1 |
| [10] | Gao YY, Zhang HD, Li Y, et al. Preoperative increased systemic immune-inflammation index predicts poor prognosis in patients with operable non-small cell lung cancer[J]. Clin Chim Acta, 2018, 484: 272-277. DOI:10.1016/j.cca.2018.05.059 |
| [11] | Hu B, Yang XR, Xu Y, et al. Systemic immune-inflammation index predicts prognosis of patients after curative resection for hepatocellular carcinoma[J]. Clin Cancer Res, 2014, 20(23): 6212-6222. DOI:10.1158/1078-0432.CCR-14-0442 |
| [12] | Lolli C, Basso U, Derosa L, et al. Systemic immune-inflammation index predicts the clinical outcome in patients with metastatic renal cell cancer treated with sunitinib[J]. Oncotarget, 2016, 7(34): 54564-54571. DOI:10.18632/oncotarget.10515 |
| [13] | Kim Y, Choi H, Jung SM, et al. Systemic immune-inflammation index could estimate the cross-sectional high activity and the poor outcomes in immunosuppressive drug-naïve patients with antineutrophil cytoplasmic antibody-associated vasculitis[J]. Nephrology (Carlton), 2019, 24(7): 711-717. DOI:10.1111/nep.13491 |
| [14] | Peng YP, Huang WW, Shi Z, et al. Positive association between systemic immune-inflammatory index and mortality of cardiogenic shock[J]. Clin Chim Acta, 2020, 511: 97-103. DOI:10.1016/j.cca.2020.09.022 |
| [15] | Huang JB, Zhang Q, Wang RC, et al. Systemic immune-inflammatory index predicts clinical outcomes for elderly patients with acute myocardial infarction receiving percutaneous coronary intervention[J]. Med Sci Monit, 2019, 25: 9690-9701. DOI:10.12659/MSM.919802 |
| [16] | Dilektasli E, Inaba K, Haltmeier T, et al. The prognostic value of neutrophil-to-lymphocyte ratio on mortality in critically ill trauma patients[J]. J Trauma Acute Care Surg, 2016, 81(5): 882-888. DOI:10.1097/TA.0000000000000980 |
| [17] | Bermejo-Martín JF, Tamayo E, Ruiz G, et al. Circulating neutrophil counts and mortality in septic shock[J]. Crit Care, 2014, 18(1): 407. DOI:10.1186/cc13728 |
| [18] | Sionis A, Suades R, Sans-Roselló J, et al. Circulating microparticles are associated with clinical severity of persistent ST-segment elevation myocardial infarction complicated with cardiogenic shock[J]. Int J Cardiol, 2018, 258: 249-256. DOI:10.1016/j.ijcard.2017.10.044 |
| [19] | Barron HV, Cannon CP, Murphy SA, et al. Association between white blood cell count, epicardial blood flow, myocardial perfusion, and clinical outcomes in the setting of acute myocardial infarction: a thrombolysis in myocardial infarction 10 substudy[J]. Circulation, 2000, 102(19): 2329-2334. DOI:10.1161/01.cir.102.19.2329 |
| [20] | Bian C, Wu Y, Shi Y, et al. Predictive value of the relative lymphocyte count in coronary heart disease[J]. Heart Vessels, 2010, 25(6): 469-473. DOI:10.1007/s00380-010-0010-7 |
| [21] | Hotchkiss RS, Karl IE. The pathophysiology and treatment of sepsis[J]. N Engl J Med, 2003, 348(2): 138-150. DOI:10.1056/NEJMra021333 |
| [22] | Ferroni P, Basili S, Davi G. Platelet activation, inflammatory mediators and hypercholesterolemia[J]. Curr Vasc Pharmacol, 2003, 1(2): 157-169. DOI:10.2174/1570161033476772 |
| [23] | Heffernan DS, Monaghan SF, Thakkar RK, et al. Failure to normalize lymphopenia following trauma is associated with increased mortality, independent of the leukocytosis pattern[J]. Crit Care, 2012, 16(1): R12. DOI:10.1186/cc11157 |
| [24] | Menges T, Engel J, Welters I, et al. Changes in blood lymphocyte populations after multiple trauma: association with posttraumatic complications[J]. Crit Care Med, 1999, 27(4): 733-740. DOI:10.1097/00003246-199904000-00026 |
| [25] | Dionigi R, Dominioni L, Benevento A, et al. Effects of surgical trauma of laparoscopic vs. open cholecystectomy[J]. Hepatogastroenterology, 1994, 41: 471-476. |
| [26] | Ayala A, Herdon CD, Lehman DL, et al. Differential induction of apoptosis in lymphoid tissues during sepsis: variation in onset, frequency, and the nature of the mediators[J]. Blood, 1996, 87(10): 4261-4275. DOI:10.1182/blood.V87.10.4261.bloodjournal87104261 |
| [27] | Ferroni P, Basili S, Davi G. Platelet activation, inflammatory mediators and hypercholesterolemia[J]. Curr Vasc Pharmacol, 2003, 1(2): 157-169. DOI:10.2174/1570161033476772 |
| [28] | Luo H, He L, Zhang G, et al. Normal reference intervals of neutrophil-to-lymphocyte ratio, platelet-to-lymphocyte ratio, lymphocyte-to-monocyte ratio, and systemic immune inflammation index in healthy adults: a large multi-center study from western China[J]. Clin Lab, 2019, 65(3). DOI:10.7754/Clin.Lab.2018.180715 |
2023, Vol. 32



