体外膜肺氧合(extracorporeal membrane oxygenation, ECMO)是一项为严重呼吸和(或)心血管衰竭患者进行短暂的生命支持的机械技术。自上世纪70年代首次应用于临床以来,ECMO的使用在近20年里呈指数级增长,目前被认为是危重症医学中一种维持生命的治疗方法[1-3],ECMO分为两种模式,即静脉-动脉体外膜肺氧合(veno-arterial extracorporeal membrane oxygenation,VA-ECMO)和静脉-静脉体外膜肺氧合(veno-venous extracorporeal membrane oxygenation,VV-ECMO)。ECMO支持期间常伴随出血和血栓,血小板表型与功能的变化是导致ECMO期间出血和血栓的原因之一[4],血小板的激活和聚集在这方面同样起着重要的作用[5],血小板不仅参与构成人体凝血系统,同样参与内源性和获得性免疫反应应答[6-7],过程中常伴随血小板计数动态变化。
血小板计数通常在ECMO上机的第2~3天至7天持续下降[5]。同时,血小板计数的持续下降通常都预示着不良预后[8],但目前尚未有研究具体量化血小板计数随时间下降的程度与接受ECMO治疗患者预后的关系。本研究通过动态监测患者在模式ECMO上机之后7 d内血小板计数的动态变化,计算其变化值及变化率,以此来评估血小板动态变化对于接受ECMO治疗患者预后的预测价值。
1 资料与方法 1.1 一般资料回顾性收集2017年1月至2020年12月来自南京医科大学第一附属医院急诊医学中心使用ECMO的163例患者的临床资料。纳入标准:(1)年龄≥18岁;(2)ECMO支持时间≥7 d;(3)临床资料完整。排除标准:(1)年龄<18岁;(2)ECMO支持时间<7 d;(3)ECMO支持期间模式改变;(4)ECMO用于术中生命支持;(5)临床资料不完整。最终纳入60例患者(图 1)。本研究获得医院伦理委员会审批,审批号为2021-SR-355。收集患者的基线资料,包括性别、年龄、合并症、ECMO模式及支持时间、住院时间、机械通气时间、观察期间血小板总输注量、白细胞(WBC)、血红蛋白(HB)、血小板压积(PCT)、尿素氮(BUN)、活化部分凝血活酶时间(APTT)、纤维蛋白原(FIB)、ECMO上机28 d生存结局等。
|
| 图 1 研究流程图 Fig 1 Flowchart of the study |
|
|
收集ECMO上机后第1~7天血小板计数的最低值(PLTn)为基线值, 计算各时间节点血小板变化值(ΔPLTn=ECMO上机后第n天的血小板计数-PLT1),和变化率[ΔPLTn%=各时间点血小板变化值/PLT1(100%)]。根据患者在ECMO上机后28 d的结局将患者分为存活组和死亡组。
1.2 方法本研究所采用的ECMO的建立与管理方法参考既往本中心已发表的相关文献[9]。
1.3 统计学方法应用SPSS 26.0软件进行统计学分析,采用Shapiro-Wilk法进行正态性检验, 符合正态分布的计量资料以均数±标准差(x±s)表示,组间比较使用成组t检验; 偏态分布的计量资料用中位数(四分位数间距)[M(Q1, Q3)]表示, 组间比较使用Mann-Whitney U检验。计数资料用例数表示, 使用χ2或Fisher确切概率法检验。使用Graphpad Prism 8软件对血小板变化值及变化率绘制受试者工作特征曲线(ROC), 并计算曲线下面积(AUC),评价血小板变化值及变化率对接受ECMO治疗后患者的28 d预后的预测能力,计算血小板变化值及变化率的临界值(cutoff value),使用Kaplan-Meier法进行生存曲线分析。以P < 0.05为差异有统计学意义。
2 结果 2.1 存活组与死亡组基线资料比较纳入的60例患者中,男性共36例,女性共24例;年龄区间19~77岁,(48.78±16.40)岁。上机28 d存活27例,死亡33例。其中接受VV-ECMO患者27例,接受VA-ECMO患者33例。在总ECMO人群中,死亡组住院时间显著要短于存活组(P < 0.05),ECMO支持时间显著长于存活组(P < 0.05),PLT输注量显著大于存活组(P < 0.05);在接受VV-ECMO治疗患者中,死亡组ECMO支持时间显著长于死亡组(P < 0.05);在接受VA-ECMO治疗患者中,死亡组住院时间显著短于存活组(P < 0.05)。见表 1。
| 项目 | 总ECMO人群 | VV-ECMO | VA-ECMO | |||||||||
| 存活组(27例) | 死亡组(33例) | χ2/z/t值 | P值 | 存活组(13例) | 死亡组(14例) | χ2/z/t值 | P值 | 存活组(14例) | 死亡组(19例) | χ2/z/t值 | P值 | |
| 人口学 | ||||||||||||
| 性别(男/女,n) | 16/11 | 20/13 | 0.011 | 0.916 | 9/4 | 9/5 | 0.074 | 0.785 | 7/7 | 11/8 | 0.203 | 0.733 |
| 年龄(岁) | 46.48±17.82 | 50.67±15.04 | -0.987 | 0.328 | 52.69±18.92 | 53.64±14.61 | -0.147 | 0.885 | 40.71±15.17 | 48.47±15.36 | -1.442 | 0.159 |
| 既往史(n) | ||||||||||||
| 高血压 | 10 | 12 | 0.003 | 0.957 | 6 | 7 | 0.040 | 1.000 | 4 | 5 | 0.021 | 1.000 |
| 糖尿病 | 6 | 7 | 0.009 | 0.925 | 2 | 3 | 0.163 | 1.000 | 4 | 4 | 0.248 | 0.695 |
| 住院资料 | ||||||||||||
| 机械通气时间(d) | 13.00(9.00, 18.00) | 15.0(10.00, 19.00) | 0.663 | 0.508 | 18.00±7.06 | 22.21±11.48 | 0.073 | 0.266 | 10.50(8.75, 14.75) | 12.00(10.00, 17.00) | 0.934 | 0.358 |
| 住院时间(d) | 27.00(20.00, 37.00) | 19.00(14.00, 27.50) | -2.462 | 0.014 | 30.00(25.00, 45.50) | 27.50(16.50, 44.75) | -0.680 | 0.519 | 24.00(16.00, 31.50) | 16.00(10.00, 20.00) | -2.447 | 0.014 |
| ECMO指标 | ||||||||||||
| 支持时间(h) | 240.75(186.70, 306.33) | 310.82(212.02, 410.35) | 2.311 | 0.021 | 257.50(190.83, 308.17) | 362.43(270.78, 499.35) | 2.329 | 0.019 | 226.79(182.41, 290.04) | 260.15(201.17, 375.67) | 1.348 | 0.186 |
| PLT输注量(u) | 0(0, 10.00) | 20.00(0, 50.00) | 2.719 | 0.007 | 0(0, 0) | 12.50(0, 52.50) | 2.214 | 0.054 | 10.00(0, 20.00) | 20.00(0, 50.00) | 1.750 | 0.091 |
| 其他治疗(n) | ||||||||||||
| IABP | 3 | 7 | 1.091 | 0.296 | 1 | 0 | 1.118 | 0.481 | 2 | 7 | 2.068 | 0.241 |
| CRRT | 13 | 22 | 2.095 | 0.148 | 6 | 7 | 0.040 | 1.000 | 7 | 15 | 3.039 | 0.136 |
| 血清学检查 | ||||||||||||
| WBC(109/L) | 13.26(9.35, 19.35) | 12.30(7.73, 18.56) | -0.685 | 0.494 | 14.57±8.38 | 11.66±6.43 | 1.019 | 0.318 | 13.03(9.89, 24.34) | 15.41(9.43, 19.93) | -0.077 | 0.970 |
| HB(g/L) | 114.96±19.58 | 105.97±27.01 | 1.986 | 0.053 | 109.23±18.40 | 93.86±15.98 | 2.323 | 0.029 | 113.00(107.25, 133.75) | 114.00(100.00, 140.00) | -0.656 | 0.521 |
| 血小板压积(%) | 0.16(0.12, 0.19) | 0.15(0.10, 0.29) | -0.171 | 0.864 | 0.15±0.06 | 0.22±0.12 | -1.688 | 0.104 | 0.16±0.06 | 0.15±0.08 | 1.410 | 0.176 |
| 血BUN(mmol/L) | 9.95(6.58, 16.20) | 10.23(7.13, 15.35) | 0.728 | 0.467 | 11.27±6.47 | 11.80±6.21 | -0.216 | 0.831 | 9.79(6.59, 16.30) | 10.18(7.12, 13.75) | 1.080 | 0.305 |
| APTT(S) | 51.50(35.80, 92.00) | 47.00(37.85, 102.40) | -0.118 | 0.906 | 57.10(39.00, 80.90) | 40.00(33.23, 110.50) | -1.608 | 0.302 | 48.75(32.30, 106.40) | 52.00(40.00, 110.70) | 0.617 | 0.571 |
| FIB(g/L) | 2.64(1.96, 4.48) | 2.47(1.25, 3.29) | -1.583 | 0.113 | 4.06(2.16, 7.16) | 3.18(2.00, 6.58) | -0.340 | 0.756 | 2.68±1.28 | 1.97±1.10 | 2.154 | 0.045 |
| 注:IABP: 主动脉内球囊反搏;CRRT: '持续肾脏替代治疗 | ||||||||||||
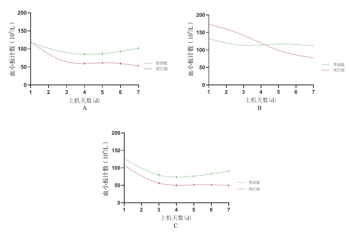
在总ECMO人群中,死亡组与存活组在第1~3天的血小板基线值、第2~5天的血小板变化值及第2~3天的血小板变化率差异无统计学意义;死亡组在第4~7天的血小板基线值及变化率、第6~7天的血小板变化值明显小于存活组,差异有统计学意义(P < 0.05,表 2,图 2A)。
| 项目 | 总ECMO人群 | VV-ECMO | VA-ECMO | |||||||||||
| 存活组 | 死亡组 | z/t值 | P值 | 存活组 | 死亡组 | z/t值 | P值 | 存活组 | 死亡组 | z/t值 | P值 | |||
| PLT 1(109/L) | 119.00(100.00, 174.00) | 118.00(71.50, 167.50) | -0.312 | 0.755 | 132.54±57.70 | 173.43±110.24 | -1.220 | 0.237 | 128.07±66.20 | 107.47±46.17 | 1.054 | 0.300 | ||
| PLT 2(109/L) | 99.00(61.00, 144.00) | 89.00(56.00, 121.50) | -0.431 | 0.666 | 116.92±47.65 | 160.43±97.18 | -1.458 | 0.157 | 94.36±48.82 | 76.11±28.54 | 1.350 | 0.187 | ||
| PLT 3(109/L) | 91.00(58.00, 135.00) | 64.00(50.50, 120.50) | -1.553 | 0.120 | 121.92±58.3 | 136.14±81.24 | -0.519 | 0.609 | 81.21±39.39 | 57.47±17.61 | 2.339 | 0.026 | ||
| PLT 4(109/L) | 87.00(64.00, 122.00) | 57.00(43.50, 104.50) | -2.266 | 0.023 | 104.00(83.00, 143.00) | 127.50(57.75, 177.25) | 0.049 | 1.000 | 77.07±33.43 | 50.16±15.62 | 3.093 | 0.004 | ||
| PLT 5(109/L) | 87.00(66.00, 123.00) | 64.00(49.00, 95.50) | -2.192 | 0.028 | 119.00(81.50, 147.50) | 98.00(55.00, 179.50) | -0.582 | 0.583 | 73.00±28.27 | 51.00±22.42 | 2.495 | 0.018 | ||
| PLT 6(109/L) | 91.00(75.50, 120.00) | 59.00(41.50, 88.00) | -3.418 | 0.001 | 120.00(87.00, 166.00) | 81.50(54.00, 141.25) | -1.530 | 0.128 | 84.07±22.89 | 52.16±25.64 | 3.695 | 0.001 | ||
| PLT 7(109/L) | 103.00(75.00, 134.00) | 53.00(41.50, 92.00) | -3.463 | 0.001 | 109.00(89.00, 172.50) | 80.00(53.00, 122.25) | -1.748 | 0.085 | 90.5(64.75.109.00) | 50.00(34.00, 78.00) | -3.208 | 0.001 | ||
| ΔPLT 2(109/L) | -25.00±35.06 | -23.57±28.93 | -0.172 | 0.864 | -15.62±25.18 | -13.00±25.52 | -0.268 | 0.791 | -33.71±41.27 | -31.36±29.44 | -0.191 | 0.850 | ||
| ΔPLT 3(109/L) | -29.41±56.80 | -44.61±42.31 | 1.187 | 0.240 | -10.62±45.34 | -37.29±47.71 | 1.486 | 0.150 | -46.86±62.25 | -50.00±38.29 | 0.179 | 0.859 | ||
| ΔPLT 4(109/L) | -30.30±62.70 | -52.82±53.62 | 1.500 | 0.139 | -8.00±52.09 | -46.71±61.69 | 1.755 | 0.092 | -51.00±66.32 | -57.32±48.10 | 0.318 | 0.753 | ||
| ΔPLT 5(109/L) | -30.00±67.86 | -54.91±55.91 | 1.559 | 0.124 | -3.00±57.65 | -52.79±71.71 | 1.978 | 0.059 | -35.00(-86.00, 6.00) | -62.00(-81.00, -17.00) | -0.711 | 0.483 | ||
| ΔPLT 6(109/L) | -13.00(-35.00, 21.00) | -54.00(-104.00, -9.00) | -2.467 | 0.014 | 3.38±67.53 | -73.00±88.83 | 2.500 | 0.019 | -20.50(-86.75, -0.75) | -54.00(-87.00, -18.00) | -1.111 | 0.271 | ||
| ΔPLT 7(109/L) | -11.00(-46.00, 35.00) | -51.00(-103.50, -8.00) | -2.593 | 0.010 | 2.08±74.41 | 2.07±74.41 | 2.592 | 0.016 | -37.21±78.32 | -51.53±48.06 | 0.650 | 0.521 | ||
| ΔPLT 2%(%) | -17.96(-32.31, -1.69) | -14.00(-30.15, -5.12) | 0.141 | 0.888 | -11.93(-23.27, -2.44) | -6.39(-14.12, 1.61) | 0.825 | 0.430 | -29.76(-46.04, -1.11) | -27.63(-39.50, -11.49) | 0.291 | 0.788 | ||
| ΔPLT 3%(%) | -21.88(-34.71, -7.62) | -35.48(-50.17, -19.86) | -1.820 | 0.069 | -9.00(-27.39, 20.97) | -22.48(-35.93, -1.71) | -1.359 | 0.185 | -25.16(-57.10, -20.14) | -49.15(-54.74, -31.91) | -1.093 | 0.287 | ||
| ΔPLT 4%(%) | -21.19(-47.93, 22.86) | -38.31(-58.88, -18.50) | -2.103 | 0.036 | -4.59(-27.72, 28.13) | -26.16(-40.19, -7.08) | -1.504 | 0.141 | -32.22(-50.58, -5.63) | -54.36(-62.50, -28.95) | -1.530 | 0.132 | ||
| ΔPLT 5%(%) | -17.01(-45.45, 18.18) | -39.29(-58.18, -20.51) | -2.474 | 0.013 | 8.85(-23.41, 36.24) | -23.61(-34.82, -7.26) | -1.650 | 0.105 | -29.17±34.10 | -47.96±23.08 | 1.889 | 0.068 | ||
| ΔPLT 6%(%) | -8.84(-30.70, 31.82) | -43.69(-60.72, -21.74) | -3.113 | 0.002 | 11.14±38.59 | -25.98±40.42 | 2.441 | 0.022 | -18.64(-54.51, 0.28) | -51.49(-68.50, -29.63) | -2.003 | 0.046 | ||
| ΔPLT 7%(%) | -7.94(-38.02, 43.06) | -44.64(-63.94, -17.71) | -2.979 | 0.003 | 11.97±44.88 | -30.29±38.69 | 2.626 | 0.015 | -17.48(-52.31, 27.21) | -47.12(-67.88, -24.16) | -1.676 | 0.098 | ||
| 注:PLT n:ECMO上机第n天血小板计数;ΔPLT n:ECMO上机第n天血小板变化值;ΔPLT n%:ECMO上机第n天血小板变化率 | ||||||||||||||
|
| A:总ECMO人群B:VV-ECMO C:VA-ECMO 图 2 存活组与死亡组在上机7 d内血小板基线值变化趋势比较 Fig 2 Comparison of baseline platelet values between the survival group and death group within 7 days after operation |
|
|
在接受VV~ECMO的患者中,死亡组与存活组在第1~7天的血小板基线值、第2~5天的血小板变化值及变化率差异无统计学意义;死亡组在第6、7天的血小板基线值及变化率明显低于存活组,差异有统计学意义(P < 0.05,表 2,图 2B)。
2.2.3 VA-ECMO患者存活组与死亡组不同时间点血小板基线值、变化值及变化率接受VA~ECMO的患者中,死亡组与存活组在第1~2天的血小板基线值、第2~7天的血小板变化值、第2~5及第7天的血小板变化率差异无统计学意义;死亡组在第3~7天的血小板基线值及在第6天的血小板变化率明显小于存活组,差异有统计学意义(P < 0.05),见表 2,图 2C。
2.3 不同时间点血小板变化值及变化率对接受ECMO患者28 d结局的预测价值分析将组间比较存在差异的血小板变化值及变化率进行ROC曲线分析,在总ECMO人群中,以第6天的血小板变化率对患者28 d结局预测效果最佳(AUCΔPLT6%=0.735, P=0.002, 表 3, 图 2A),当血小板变化率以-26.19%为临界值时,敏感度为0.727,特异度为0.741;在接受VV-ECMO患者中,以第7天的血小板变化值及变化率对患者28 d结局预测效果最佳(AUCΔPLT7=0.772, P=0.016; AUCΔPLT7%=0.764, P=0.020, 表 3, 图 2B),当血小板变化值以4×109/L为临界值时,敏感度为0.857,特异度为0.615,当血小板变化率以为-28.99%为临界值时,敏感度为0.643,特异度为0.846;在接受VA-ECMO患者中,以第6天的血小板变化率对患者28 d结局预测效果最佳(AUCΔPLT6%=0.707, P=0.045, 表 3, 图 2C),当血小板变化率以-26.19%为临界值时,敏感度为0.842,特异度为0.643。
| 项目 | AUC | 95%CI值 | P值 | 临界值 | 敏感度 | 特异度 | |
| 下限 | 上限 | ||||||
| ECMO | |||||||
| ΔPLT6(109/L) | 0.686 | 0.548 | 0.825 | 0.014 | -40.00 | 0.606 | 0.778 |
| ΔPLT7(109/L) | 0.696 | 0.557 | 0.834 | 0.010 | -35.50 | 0.636 | 0.741 |
| ΔPLT4%(%) | 0.659 | 0.518 | 0.799 | 0.036 | -50.69 | 0.424 | 0.889 |
| ΔPLT5%(%) | 0.687 | 0.548 | 0.826 | 0.013 | -19.75 | 0.788 | 0.556 |
| ΔPLT6%(%) | 0.735 | 0.604 | 0.866 | 0.002 | -26.19 | 0.727 | 0.741 |
| ΔPLT7%(%) | 0.725 | 0.593 | 0.857 | 0.003 | -27.82 | 0.667 | 0.741 |
| VV-ECMO | |||||||
| ΔPLT6(109/L) | 0.750 | 0.562 | 0.938 | 0.027 | 12.00 | 0.857 | 0.615 |
| ΔPLT7(109/L) | 0.772 | 0.592 | 0.952 | 0.016 | 4.00 | 0.857 | 0.615 |
| ΔPLT6%(%) | 0.758 | 0.564 | 0.952 | 0.023 | -10.41 | 0.786 | 0.769 |
| ΔPLT7%(%) | 0.764 | 0.578 | 0.949 | 0.020 | -28.99 | 0.643 | 0.846 |
| VA-ECMO | |||||||
| ΔPLT6%(%) | 0.707 | 0.521 | 0.893 | 0.045 | -26.19 | 0.842 | 0.643 |
| 注:PLT n:ECMO上机第n天血小板计数;ΔPLT n:ECMO上机第n天血小板变化值;ΔPLT n%:ECMO上机第n天血小板变化率 | |||||||
根据相应临界值进行分组,结果显示小于或等于临界值患者28 d病死率明显高于大于临界值分组患者,且生存时间较大于临界值分组患者显著缩短,见表 4, 图 4。
| 项目 | 临界值 | 例数 | 死亡例数 | 病死率(%) | Log-Rank χ2 | P值 | 生存时间(d) |
| ECMO | |||||||
| ΔPLT 6%(%) | -26.19 | 29 | 9 | 31.03 | 13.025 | 0.000 | 23.17±1.19 |
| -26.19 | 31 | 24 | 77.42 | 19.52±1.21 | |||
| VV-ECMO | |||||||
| ΔPLT 7(109/L) | >4.00 | 10 | 2 | 20.00 | 4.704 | 0.030 | 25.50±1.60 |
| ≤4.00 | 17 | 12 | 70.59 | 22.06±1.87 | |||
| ΔPLT 7%(%) | >-28.99 | 16 | 5 | 31.25 | 7.727 | 0.005 | 25.56±1.43 |
| ≤-28.99 | 11 | 9 | 81.82 | 20.09±2.45 | |||
| VA-ECMO | |||||||
| ΔPLT 6%(%) | >-26.19 | 12 | 3 | 25.00 | 6.367 | 0.012 | 24.58±1.79 |
| ≤-26.19 | 21 | 16 | 76.19 | 19.24±1.54 |
|
| A:总ECMO人群;B:VV-ECMO;C:VA-ECMO 图 3 不同时间点血小板变化值及变化率对接受ECMO患者28 d结局ROC曲线分析 Fig 3 ROC curve analysis of platelet change value and change rate at different time points for 28 d outcome of patients receiving ECMO |
|
|
|
| A: 总ECMO人群根据第6天血小板变化率临界值分组;B: VV-ECMO根据第7天血小板变化值临界值分组;C: VV-ECMO根据第7天血小板变化率临界值分组;D: VA-ECMO根据第6天血小板变化率临界值分组 图 4 不同模式下根据血小板动态变化相关指标临界值分组生存曲线分析 Fig 4 Survival curve analysis of groups according to the critical value of platelet dynamic changes in different modes |
|
|
血小板减少已在接受体外循环的患者中得到证实[5, 8-9]。本研究显示,存活组与死亡组在ECMO上机7 d内的血小板计数总体上均呈现下降趋势。血小板减少可能是多因素(炎症反应、血小板活化、凝血级联活化、接触异物)导致的,脓毒症、药物、手术、出血、血管内装置和输血都是可能导致血小板减少[8-9]。在本研究中,血小板下降的原因可能与患者原发病、药物毒性作用、抗凝、输血、置管(包括ECMO、IABP、CRRT)出血有关。同时,本研究发现在接受不同模式ECMO患者,存活组与死亡组血小板计数出现差异的时间不同,这可能跟不同ECMO模式的适应证不同有关,接受VA-ECMO的患者是伴有心肺衰竭和相关疾病的人群,这些疾病可能使他们更易发生ECMO前血小板减少[5]。另外,本中心接受VA-ECMO治疗的患者还包括心脏骤停患者,在难治性心脏骤停患者中往往有血小板和凝血功能紊乱,在VA-ECMO运行时,血小板和凝血紊乱加剧。而在VV-ECMO治疗期间需要高流量来保证良好氧合产生的灌注速率和压力的血流动力学差异也可能导致可变剪切应力和随之而来的血小板激活和聚集。
血小板下降被认为与ICU患者生存期相关,并被认为是增加ICU病死率的标志,血小板计数的大幅下降预示着患者预后较差。血小板动态变化趋势的研究在创伤、脓毒症、肺炎等患者预后的预测价值已经证实,本研究进一步对接受ECMO治疗患者的血小板变化值及变化率对患者28 d预后的预测价值进一步进行了探讨,同时发现,在接受VV-ECMO第6、7天的血小板变化值及变化率和接受VV-ECMO第6天的血小板变化率对患者28 d预后具有预测价值(AUC > 0.7),提示血小板动态变化可以预测接受VV-ECMO和VA-ECMO的不良预后,因为:①患者严重的原发病如创伤、脓毒症、肺炎等恰恰本中心ECMO上机的前提;②血小板下降预示着患者出血风险增加,关键部位的出血如肺出血往往造成不可逆肺损伤、脑大量出血可迅速致命;血小板在同样免疫反应中起重要作用,保护宿主抵御病原体感染,血小板下降意味着感染风险增加,而出血与感染是ECMO常见并且致命的严重并发症;③ECMO上机过程中的血制品输注可能造成输血相关并发症如急性肺损伤、免疫调节异常、循环超负荷等。为降低ECMO上机后不良预后的发生,输注血小板是必要的,但目前关于接受ECMO治疗患者输血小板阈值尚无高质量证据,同时本中心既往关于血小板输注量对VA-ECMO预后的研究也表明,血小板输注量的增加预示着成人VA-ECMO患者的不良预后[10],因此针对ECMO上机患者输注血小板的限制性输血策略值得探讨。
利益冲突 所有作者声明无利益冲突
作者贡献声明 李宝全:数据收集及整理、统计学分析、论文撰写;张劲松、陈旭锋:研究设计、论文修改;梅勇、吕金如、李伟、胡德亮、张刚:数据收集及整理;孙峰、张华忠、张忠满:统计学分析
| [1] | Hill JD, O'Brien TG, Murray JJ, et al. Prolonged extracorporeal oxygenation for acute post-traumatic respiratory failure (shock-lung syndrome). Use of the Bramson membrane lung[J]. N Engl J Med, 1972, 286(12): 629-634. DOI:10.1056/NEJM197203232861204 |
| [2] | Lindén V, Palmér K, Reinhard J, et al. High survival in adult patients with acute respiratory distress syndrome treated by extracorporeal membrane oxygenation, minimal sedation, and pressure supported ventilation[J]. Intensive Care Med, 2000, 26(11): 1630-1637. DOI:10.1007/s001340000697 |
| [3] | Peek GJ, Mugford M, Tiruvoipati R, et al. Efficacy and economic assessment of conventional ventilatory support versus extracorporeal membrane oxygenation for severe adult respiratory failure (CESAR): a multicentre randomised controlled trial[J]. Lancet, 2009, 374(9698): 1351-1363. DOI:10.1016/S0140-6736(09)61069-2 |
| [4] | van Den Helm S, Yaw HP, Letunica N, et al. Platelet phenotype and function changes with increasing duration of extracorporeal membrane oxygenation[J]. Crit Care Med, 2022, 50(8): 1236-1245. DOI:10.1097/CCM.0000000000005435 |
| [5] | Jiritano F, Serraino GF, Ten Cate H, et al. Platelets and extra-corporeal membrane oxygenation in adult patients: a systematic review and meta-analysis[J]. Intensive Care Med, 2020, 46(6): 1154-1169. DOI:10.1007/s00134-020-06031-4 |
| [6] | Li C, Li J, Ni H. Crosstalk between platelets and microbial pathogens[J]. Front Immunol, 2020, 11: 1962. DOI:10.3389/fimmu.2020.01962 |
| [7] | Ebermeyer T, Cognasse F, Berthelot P, et al. Platelet innate immune receptors and TLRs: a double-edged sword[J]. Int J Mol Sci, 2021, 22(15): 7894. DOI:10.3390/ijms22157894 |
| [8] | Opfermann P, Bevilacqua M, Felli A, et al. Prognostic impact of persistent thrombocytopenia during extracorporeal membrane oxygenation: a retrospective analysis of prospectively collected data from a cohort of patients with left ventricular dysfunction after cardiac surgery[J]. Crit Care Med, 2016, 44(12): e1208-e1218. DOI:10.1097/CCM.0000000000001964 |
| [9] | Cavayas YA, Del Sorbo L, Fan E. Intracranial hemorrhage in adults on ECMO[J]. Perfusion, 2018, 33(1_suppl): 42-50. DOI:10.1177/0267659118766435 |
| [10] | 朱轶, 陈旭锋, 张劲松, 等. 血小板输注量对动脉-静脉体外膜肺氧合患者预后的影响: 一项连续三年的回顾性研究[J]. 中华急诊医学杂志, 2021, 30(10): 1177-1181. DOI:10.3760/cma.j.issn.1671-0282.2021.10.003 |
2022, Vol. 31



