早期的液体复苏是针对脓毒性休克治疗的关键措施。对于脓毒症所致的低灌注,推荐在诊断为脓毒性休克起3 h内输注至少30 mL/kg的晶体溶液进行初始复苏[1]。但最佳的容量复苏方案一直未有定论,且在重症患者中持续的液体正平衡是有害的[2-4],所以评估患者的容量状态非常重要。指南推荐使用动态指标预测液体反应性,如采用容量负荷试验,被动抬腿试验(passive leg raising, PLR)后每搏输出量的变化、收缩压变化或机械通气后胸内压变化等动态指标预测容量反应性[5]。床旁超声目前应用广泛,在预测容量反应中有相应的指导价值,根据中心静脉大血管在呼吸过程中受到胸腔内压以及体位的影响时,出现明显的扩张、塌陷变化,超声能对其进行测量和评估[6-9]。虽然以上超声指标能预测容量反应性,但由于大的腔静脉容易受到腹腔压力的影响或者受到体型肥胖、腹水等情况影响到腔静脉的测量,也有研究证实下腔静脉并不能够预测正压通气的患者的容量反应性[10]。而测量颈内静脉直径则不需要复杂的经食道超声,图像获取相对于下腔静脉容易很多。所以本研究对象为脓毒血症休克患者,通过对颈内静脉的测量并计算出呼吸变异率,同时结合PLR,探讨颈内静脉呼吸扩张指数(internal jugular vein dilation index, ΔIJV)与PLR是否能够预测脓毒症性休克患者的容量反应性。
1 资料与方法 1.1 研究对象及分组从2020年1月至2021年3月前瞻性研究入住复旦大学附属金山医院急危重病中心诊断为脓毒血症且合并休克的成年患者。所有患者或其家属签署知情同意书,并通过复旦大学附属金山医院伦理委员会批准(伦理号:金医IEC-2020-S08)。
纳入标准包括(1)年龄>18岁;(2)诊断为脓毒血症合并休克:动脉收缩压(systolic blood pressure, SBP) < 90 mmHg(1 mmHg=0.133 kPa,或既往有高血压的患者较其血压降低>50 mmHg)或需要血管活性药物维持血压[多巴胺>5 µg/(kg·min)或去甲肾上腺素],尿量 < 0.5 mL/(kg·min)至少2 h,窦性心动过速,皮肤花斑表现;(3)呼吸机辅助呼吸,存在自主呼吸;(4)患者血压由无创袖带进行动态监测,当主治医师明确患者有一个至多个休克征象后可给予至少500 mL的晶体液静脉输注。
排除标准:严重心律不齐的患者(如房颤);临床上有相关严重的二尖瓣或三尖瓣关闭不全以及明显右心衰竭的患者;颈部或背部有放疗或者手术病史的患者(体位原因不利于测量);上肢有大的静脉血栓的患者(明显阻碍静脉回流);双侧颈内静脉或锁骨下静脉置管的患者(减少置管对静脉塌陷的影响);各种原因导致经胸部超声图像无法清楚获得的患者[11]。
1.2 研究方法 1.2.1 一般临床资料收集患者的年龄、性别、诊断、急性生理学慢性健康(acute physiology and chronic health evaluation, APACHE)Ⅱ评分、序贯器官衰竭评分(sequential organ failure assessment, SOFA)、机械通气模式、血管活性药物使用情况。
1.2.2 超声测量的指标使用三星H60超声诊断仪2.01版(三星麦迪逊有限公司,韩国)和标准心脏相控阵式探头(PE2-4)和血管线阵式探头(LA3-14AD)测量超声参数。由一位医师进行测量扩容前(C0)、扩容后(C1)和PLR后的左心室搏出量(stroke volume, SV),由另外一位主治医师决定进行容量负荷试验测量,专人纪录数据并以“金标准”确定阳性组和阴性组。患者取左侧卧位,在胸骨旁3~4肋间获得标准心脏长轴切面,利用M型超声测量并通过超声软件计算出SV。患者取平卧位、床头抬高30°,头偏向左侧显露出胸锁乳突肌,测量一个呼吸循环周期内的颈内静脉前后径。轻压探头使静脉塌陷以区别颈总动脉与颈内静脉后,放松探头至与皮肤刚好接触并清晰显示颈内静脉,测量IJVmax和IJVmin,计算ΔIJV(%)=(IJVmax-IJVmin)/IJVmean×100%,IJVmean=(IJVmax+IJVmin)/2。
1.2.3 PLR试验首先患者体位为半卧位45°,下肢保持水平位,记录患者血流动力学参数为抬腿试验前(T0),包括心率(heart rate, HR)、血压(blood pressure, BP)、平均动脉压(mean arterial pressure, MAP)并使用超声测量计算出SV。然后使用电动床将患者下肢抬高45°,上半身水平位,维持3 min后记录患者血流动力学指标和超声测量参数为抬腿试验后(T1)。
1.2.4 容量负荷试验根据容量反应阳性的“金标准”进行分组:给予患者输入500 mL晶体或胶体后每搏输出量(ΔSV>15%)或心输出量增加15%定义为容量反应阳性组(R组),每搏输出量或心输出量低于15%则为容量反应阴性组(NR组)[8]。扩容前纪录患者HR、BP、MAP、SV和IJV等指标。给予患者静脉输入500 mL晶体液(0.9%氯化钠注射液,国药准字H19994066,上海百特医疗用品有限公司,中国),30 min内输入完毕,再次监测并纪录患者HR、BP、MAP、SV和IJV指标。
1.3 统计学方法数据统计使用SPSS 23.0统计分析软件(SPSS Inc,芝加哥,美国)。所有计量资料使用均数±标准差(x±s)表示,使用Kolmogorov-Smirnov进行正态性分布的检验,患者基本信息及相关血流动力学数据参数在R组与NR组之间的比较采用Mann-Whitney检验方法。扩容前后数据采用Wilcoxon检验方法。对于超声测量参数与“金标准”之间的相关性分析采用Spearman秩法分析。运用受试者特征(receiver operating characteristic, ROC)曲线,确定其曲线下面积(area under the curve, AUC)评价ΔIJV和PLR在预测容量反应的临床价值,分析其敏感度和特异度。以P < 0.05表示差异有统计学意义。
2 结果 2.1 患者一般资料之间比较研究对56名患者进行56次容量负荷试验,其中有容量反应的32次,无容量反应性的24次。R组和NR组患者的年龄、乳酸及去甲肾上腺素使用,差异无统计学意义(P>0.05),两组间APACHE Ⅱ评分、SOFA评分差异有统计学意义,R组中评分较NR组有明显升高(P < 0.05)(表 1)。
| 指标 | 所有患者(n=56) | R组(n=32) | NR组(n=24) | 统计值 | P值 |
| 年龄(岁,x±s) | 73.75±14.13 | 70.69±17.13 | 79.00±6.28 | -1.608 | 0.109 |
| 性别(男/女) | 29/27 | 18/14 | 11/13 | ||
| APACHE Ⅱ(分,x±s) | 23.25±8.31 | 21.77±7.54 | 20.75±5.10 | -2.819 | 0.004 |
| SOFA(分,x±s) | 10.20±3.76 | 9.44±2.71 | 8.92±2.39 | -3.508 | 0.003 |
| 乳酸[mmol/L,M(Q1,Q3)] | 2.75(2.10,3.50) | 2.60(2.08,3.13) | 3.10(2.25,3.78) | -1.061 | 0.293 |
| 多巴胺[μg/(kg·min),x±s] | 6.86±6.17 | 5.78±4.12 | 6.32±5.12 | -2.309 | 0.020 |
| 去甲肾上腺素[μg/(kg·min),x±s] | 0.59±0.23 | 0.56±0.09 | 0.59±0.76 | -0.731 | 0.641 |
| 注:R为容量反应阳性组,NR为容量反应阴性组,APACHE Ⅱ为急性生理学慢性健康Ⅱ评分,SOFA为序贯器官衰竭评分 | |||||
HR、MAP以及SV在扩容前后差异有统计学意义,可见补液和PLR后HR下降、MAP升高,而SV在扩容后和抬腿试验后有明显上升趋势(表 2、3)。HR、MAP、SV在扩容前R组与NR间差异无统计学意义。而HR在扩容后和PLR后R组较NR组有明显下降趋势。扩容后和PLR后R组中MAP较NR组有轻度升高趋势,差异有统计学意义。扩容后和PLR后R组较NR组有明显升高,差异有统计学意义(表 2、3)。IJVmax在扩容前后、IJVmin在扩容后R组和NR组之间差异无统计学意义,但IJVmin在扩容前R组和NR组之间差异有统计学意义(表 4)。
| 时点 | HR(次/min) | MAP(mmHg) | SV(mL) | ||||||||
| 总数 | R组 | NR组 | 总数 | R组 | NR组 | 总数 | R组 | NR组 | |||
| C0 | 112.88±21.07 | 114.0±21.88 | 105.91±19.03 | 71.36±11.38 | 70.90±10.17 | 79.00±10.41 | 47.28±21.71 | 40.09±16.81 | 45.68±20.82 | ||
| C1 | 104.02±18.11 | 105.91±19.03 | 97.45±22.35 | 81.43±11.33 | 80.43±10.85 | 76.25±9.69 | 55.69±24.15 | 59.30±26.89 | 43.48±21.62 | ||
| t值 | 2.116 | 3.263 | 0.918 | 4.158 | 2.855 | 0.912 | 1.717 | 3.090 | 1.387 | ||
| P值 | 0.037 | 0.002 | 0.365 | < 0.001 | 0.006 | 0.368 | 0.009 | 0.003 | 0.174 | ||
| 注:C0为补液试验前;C1为补液试验后;R为容量反应阳性组,NR为容量反应阴性组;HR为心率,MAP为平均动脉压,SV为左心室搏出量 | |||||||||||
| 时点 | HR(次/min) | MAP(mmHg) | SV(mL) | ||||||||
| 总数 | R组 | NR组 | 总数 | R组 | NR组 | 总数 | R组 | NR组 | |||
| T0 | 112.88±21.07 | 114.00±21.88 | 106.27±26.39 | 71.36±11.38 | 70.90±10.17 | 79.00±10.41 | 47.28±21.71 | 40.09±16.81 | 35.68±20.82 | ||
| T1 | 100.18±14.77 | 101.58±17.22 | 94.55±22.35 | 78.09±11.10 | 81.12±13.63 | 86.25±9.69 | 53.57±25.80 | 53.48±26.14 | 31.09±18.63 | ||
| t值 | 3.015 | 3.031 | 0.827 | 3.026 | 0.737 | 3.261 | 1.179 | 2.475 | 1.191 | ||
| P值 | 0.003 | 0.004 | 0.414 | 0.003 | 0.002 | 0.466 | 0.045 | 0.019 | 0.242 | ||
| 注:T0为抬腿试验前,T1为抬腿试验后;R为容量反应阳性组,NR为容量反应阴性组;HR为心率,MAP为平均动脉压,SV为左心室搏出量 | |||||||||||
| 指标 | R组 | NR组 | Z值 | P值 |
| C0 | ||||
| HR(次/min) | 114.00±21.88 | 106.27±26.39 | -1.353 | 0.182 |
| MAP(mmHg) | 70.90±10.17 | 79.00±10.41 | -1.957 | 0.033 |
| SV(mL) | 40.09±16.81 | 45.68±20.82 | -1.258 | 0.062 |
| IJVmax(mm) | 9.26±3.56 | 8.83±3.08 | -0.195 | 0.979 |
| IJVmin(mm) | 6.14±3.08 | 7.07±3.06 | -2.105 | 0.029 |
| C1 | ||||
| HR(次/min) | 105.91±19.03 | 97.45±22.35 | -2.027 | 0.042 |
| MAP(mmHg) | 80.43±10.85 | 76.25±9.69 | -1.954 | 0.037 |
| SV(mL) | 59.30±26.89 | 43.48±21.62 | -2.731 | 0.006 |
| IJVmax(mm) | 8.98±3.90 | 9.11±3.22 | -0.153 | 0.600 |
| IJVmin(mm) | 6.71±3.74 | 7.25±2.97 | -1.036 | 0.359 |
| 注:C0为补液试验前,C1为补液试验后;R组为容量反应阳性组,NR组为容量反应阴性组;HR为心率,MAP为平均动脉压,SV为左心室搏出量,IJV为颈内静脉呼吸扩张指数 | ||||
在容量负荷试验后和PLR后,ΔSV、ΔIJV在R组中均明显高于NR组,尤其在给予容量负荷试验后,R组显著高于NR组,且差异有统计学意义(表 4)。当给予容量负荷后ΔSV与ΔIJV具有较好的正相关性(r=0.778,P < 0.01),而PLR同ΔSV也有一定的正相关性(r=0.698,P < 0.01),见表 4、5。
| 指标 | R组 | NR组 | Z值 | P值 |
| T0 | ||||
| HR(次/min) | 114.00±21.88 | 106.27±26.39 | -1.353 | 0.182 |
| MAP(mmHg) | 70.90±10.17 | 79.00±10.41 | -1.957 | 0.033 |
| SV(mL) | 40.09±16.81 | 35.68±20.82 | -1.258 | 0.062 |
| T1 | ||||
| HR(次/min) | 101.58±17.22 | 94.55±22.35 | -2.023 | 0.047 |
| MAP(mmHg) | 81.12±13.63 | 86.25±9.69 | -1.948 | 0.036 |
| SV(mL) | 53.48±26.14 | 31.09±18.63 | -2.812 | 0.005 |
| 注:T0为抬腿试验前,T1为抬腿试验后;R为容量反应阳性组,NR为容量反应阴性组;HR为心率,MAP为平均动脉压,SV为左心室搏出量 | ||||
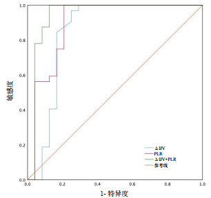
以ΔIJV>17.3%做为区别容量反应的截断值,其AUC是0.846(95%CI: 0.716~0.977),敏感度为84.4%,特异度为83.3%(图 1);而以PLR后ΔSV>15.5%为容量反应的截断值,其AUC是0.895(95%CI: 0.796~0.993),敏感度为96.9%,特异度为79.2%(图 1)。使用ΔIJV联合PLR试验预测容量反应性时,其AUC是0.944(95%CI: 0.862~1.00),敏感度为99.8%,特异度为87.5%(图 2)。
|
| 图 1 容量负荷试验的ΔIJV和PLR后ΔSV指标的ROC曲线 Fig 1 The ROC curve of the ΔIJV and ΔSV for capacity expansion and PLR |
|
|
|
| 图 2 容量负荷试验的ΔIJV联合PLR后ΔSV指标的ROC曲线 Fig 2 The ROC curve of ΔIJV for capacity expansion combined with ΔSV for PLR |
|
|
本研究对象为脓毒血症合并休克患者,使用超声评估患者容量反应性。即时恢复休克患者的容量状态本质上是必须的,但研究表明在补液时出现持续液体正平衡是有害的[12],所以对于容量反应性的评估相当重要。传统的静态指标如中心静脉压、肺动脉闭塞压可用来预测容量反应性,但有研究提示无论在自主呼吸或者在机械通气条件下都不能准确地预测容量反应[13]。脓毒症指南中推荐使用动态指标预测液体反应性,如容量负荷试验、PLR试验、补液后收缩压变化、脉压变化以及机械通气后胸内压变化等指标预测容量反应性。但由于相关研究较少,质量欠佳,故目前仍是弱推荐、低证据质量[14]。床旁超声具有无创、快速、实时动态等特点,能为重症患者的治疗调整提供及时、准确地指导。
研究发现在自主呼吸时下腔静脉内径小且吸气时塌陷非常明显,在完全机械通气时受心肺联合作用的影响,在呼气末下腔静脉内径减小,并容易随呼吸变化[15]。而当容量过负荷或输液限制明显时,预测容量反应阴性率较高,超声可见上下腔静脉有明显充盈表现;右心室可以明显大于左心室、左室充盈压可以很高[16]。所以国外很早有研究表明在感染性休克患者下腔静脉扩张率≥18%时,预测液体反应性的敏感度和特异度均在90%以上[17]。有系统评价分析对下腔静脉变异进行探讨,尽管研究间纳入的患者种类、扩容方式和变化指数的定义不同,但能证明下腔静脉呼吸变化率在12%~21%之间,对于机械通气患者的容量反应预测是有价值的[8]。《重症超声临床应用技术规范》[18]中就明确推荐当完全机械通气情况下,下腔静脉膨胀指数≥15%可以判定容量反应性阳性,当患者自主呼吸状态下下腔静脉塌陷度也可评估,但无截断值参考。但由于下腔静脉会受到腹腔内压力变化的影响以及腹部大手术造成图像无法获取等限制,而颈内静脉在外周,不会受到腹腔压力的影响,同时颈内静脉与上腔静脉距离最近,右心房压力的变化可以直接影响到颈内静脉的变化[19]。国内2018年的研究提示,颈内静脉宽度变化在全麻下行胃肠手术的患者中能够预测容量反应性,且颈内静脉最小宽度预测能力高于肱动脉峰流速变异率[20]。同年一篇研究收集70例心脏外科手术患者提示,颈内静脉的呼吸变化能够预测机械通气患者的容量反应性,截断值为12.99时,敏感度为91.43%、特异度为82.86%[21]。由此可见颈内静脉的变化在预测容量反应性上有一定的价值,而国内暂时没有颈内静脉预测脓毒症患者容量反应性的相关研究。
本研究针对脓毒症性休克,测量扩容前IJVmax和IJVmin,统计发现IJVmin在扩容前R组和NR组之间有明显区别,差异有统计学意义。同时发现在容量负荷试验后和PLR试验后,ΔSV、ΔIJV在有反应组中均明显高于无反应组。ΔIJV>17.3%为区别容量反应的截断值,敏感度为84.4%,特异度为83.3%;而以PLR后ΔSV>15.5%为截断值,敏感度为96.9%,特异度为79.2%。特别是ΔIJV联合PLR来预测容量反应性时其敏感度为99.8%,特异度为87.5%;这提示了参数联合指标更能有效地预测容量反应性。ΔIJV和PLR都可以有效地预测容量反应性,但鉴于ΔIJV总体预测的敏感度和特异度不是很高,而PLR特异度不高,所以使用两者联合来进行预测容量反应性则更有价值。
本研究还有不足之处,首先是所有研究对象都是依靠呼吸机辅助通气,故仅限用于呼吸机通气的患者,暂不能用于自主呼吸的患者。其次是研究确定的金标准是用床旁超声测量,而超声测量存在一定的主观性,如能使用有创心排血量监测对照可能更加准确。最后是本研究的病例数仍然较少,有容量反应阳性的患者仅占56%,总体预测阳性率不高,因此还需要大量的研究,甚至多中心的研究,最终通过可靠的循证医学证据支持才能更好的利用重症超声技术指导脓毒症患者的治疗。
综上所述,床旁超声测量ΔIJV是一种相对简单、容易操作、且相对可靠地预测脓毒症患者容量反应性的方法,同时联合PLR试验可提高预测容量反应性的敏感度和特异度,对于脓毒症性休克患者是进行容量管理的一种有效方法。
利益冲突 所有作者声明无利益冲突
作者贡献声明 王润泽:酝酿和设计实验、实施研究、论文撰写;张琳、张峰、莫为春:采集数据、分析/解释数据;申捷:对文章的知识性内容作批评性审阅,指导、支持性贡献;王昆仑、郭朋:采集数据、数据收集及整理、统计学分析
| [1] | Vincent JL, Sakr Y, Sprung CL, et al. Sepsis in European intensive care units: results of the SOAP study[J]. Crit Care Med, 2006, 34(2): 344-353. DOI:10.1097/01.ccm.0000194725.48928.3a |
| [2] | Acheampong A, Vincent JL. A positive fluid balance is an independent prognostic factor in patients with sepsis[J]. Crit Care, 2015, 19: 251. DOI:10.1186/s13054-015-0970-1 |
| [3] | Brotfain E, Koyfman L, Toledano R, et al. Positive fluid balance as a major predictor of clinical outcome of patients with sepsis/septic shock after ICU discharge[J]. Am J Emerg Med, 2016, 34(11): 2122-2126. DOI:10.1016/j.ajem.2016.07.058 |
| [4] | de Oliveira FSV, Freitas FGR, Ferreira EM, et al. Positive fluid balance as a prognostic factor for mortality and acute kidney injury in severe sepsis and septic shock[J]. J Crit Care, 2015, 30(1): 97-101. DOI:10.1016/j.jcrc.2014.09.002 |
| [5] | Monnet X, Marik P, Teboul JL. Passive leg raising for predicting fluid responsiveness: a systematic review and meta-analysis[J]. Intensive Care Med, 2016, 42(12): 1935-1947. DOI:10.1007/s00134-015-4134-1 |
| [6] | Natori H, Tamaki S, Kira S. Ultrasonographic evaluation of ventilatory effect on inferior vena caval configuration[J]. Am Rev Respir Dis, 1979, 120(2): 421-427. DOI:10.1164/arrd.1979.120.2.421 |
| [7] | Mookadam F, Warsame TA, Yang HS, et al. Effect of positional changes on inferior vena cava size[J]. Eur J Echocardiogr, 2011, 12(4): 322-325. DOI:10.1093/ejechocard/jer018 |
| [8] | Zhang ZH, Xu X, Ye S, et al. Ultrasonographic measurement of the respiratory variation in the inferior vena Cava diameter is predictive of fluid responsiveness in critically ill patients: systematic review and Meta-analysis[J]. Ultrasound Med Biol, 2014, 40(5): 845-853. DOI:10.1016/j.ultrasmedbio.2013.12.010 |
| [9] | Vieillard-Baron A, Chergui K, Rabiller A, et al. Superior vena caval collapsibility as a gauge of volume status in ventilated septic patients[J]. Intensive Care Med, 2004, 30(9): 1734-1739. DOI:10.1007/s00134-004-2361-y |
| [10] | Iizuka Y, Nomura T, Sanui M, et al. Collapsibility of the right internal jugular vein predicts responsiveness to fluid administration in patients receiving pressure support ventilation: a prospective cohort study[J]. J Clin Med Res, 2020, 12(3): 150-156. DOI:10.14740/jocmr4064 |
| [11] | Thudium M, Klaschik S, Ellerkmann RK, et al. Is internal jugular vein extensibility associated with indices of fluid responsiveness in ventilated patients?[J]. Acta Anaesthesiol Scand, 2016, 60(6): 723-733. DOI:10.1111/aas.12701 |
| [12] | Malbrain ML, Marik PE, Witters I, et al. Fluid overload, de-resuscitation, and outcomes in critically ill or injured patients: a systematic review with suggestions for clinical practice[J]. Anaesthesiol Intensive Ther, 2014, 46(5): 361-380. DOI:10.5603/AIT.2014.0060 |
| [13] | Coudray A, Romand JA, Treggiari M, et al. Fluid responsiveness in spontaneously breathing patients: a review of indexes used in intensive care[J]. Crit Care Med, 2005, 33(12): 2757-2762. DOI:10.1097/01.ccm.0000189942.24113.65 |
| [14] | 中国医师协会急诊医师分会, 中国研究型医院学会休克与脓毒症专业委员会. 中国脓毒症/脓毒性休克急诊治疗指南(2018)[J]. 中国急救医学, 2018, 38(9): 741-756. DOI:10.3969/j.issn.1002-1949.2018.09.001 |
| [15] | Dipti A, Soucy Z, Surana A, et al. Role of inferior vena cava diameter in assessment of volume status: a meta-analysis[J]. Am J Emerg Med, 2012, 30(8): 1414-1419.e1. DOI:10.1016/j.ajem.2011.10.017 |
| [16] | Zengin S, Al B, Genc S, et al. Role of inferior vena cava and right ventricular diameter in assessment of volume status: a comparative study[J]. Am J Emerg Med, 2013, 31(5): 763-767. DOI:10.1016/j.ajem.2012.10.013 |
| [17] | Barbier C, Loubières Y, Schmit C, et al. Respiratory changes in inferior vena cava diameter are helpful in predicting fluid responsiveness in ventilated septic patients[J]. Intensive Care Med, 2004, 30(9): 1740-1746. DOI:10.1007/s00134-004-2259-8 |
| [18] | 尹万红, 王小亭, 刘大为, 等. 重症超声临床应用技术规范[J]. 中华内科杂志, 2018, 57(6): 397-417. DOI:10.3760/cma.j.issn.0578-1426.2018.06.004 |
| [19] | Chua Chiaco JMS, Parikh NI, Fergusson DJ. The jugular venous pressure revisited[J]. Cleve Clin J Med, 2013, 80(10): 638-644. DOI:10.3949/ccjm.80a.13039 |
| [20] | 姚忠岩, 刘问宾, 瞿敏, 等. 颈内静脉内径和肱动脉峰流速变异率预测患者容量反应性的比较[J]. 中华麻醉学杂志, 2018, 38(2): 215-218. DOI:10.3760/cma.j.issn.0254-1416.2018.02.023 |
| [21] | Ma GG, Hao GW, Yang XM, et al. Internal jugular vein variability predicts fluid responsiveness in cardiac surgical patients with mechanical ventilation[J]. Ann Intensive Care, 2018, 8(1): 6. DOI:10.1186/s13613-017-0347-5 |
2022, Vol. 31



