近年来随着人们饮食结构及生活方式改变,高脂血症性胰腺炎(hyperlipidemic pancreatitis, HLP)的发病率呈上升趋势[1]。目前高脂血症已超过酒精摄入成为胰腺炎第二大常见病因[2]。HLP的发生与血清胆固醇水平无关,而与血清三酰甘油(triglyceride, TG)水平显著升高密切相关[3],故又称为高三酰甘油血症性胰腺炎(hypertriglyceridemia pancreatitis, HTGP)。研究证实HTGP发病率逐年增加并趋于年轻化,病死率高,易反复发作,更易进展为重症胰腺炎(severe acute pancreatitis, SAP)[4]。急性胰腺炎发病48 h后,可区分诊断是否为SAP,对于HTGP越早诊断SAP,及时开展综合性治疗,可以更好地改善患者临床预后。
急性胰腺炎床旁严重度指数(bedside index for severity in acute pancreatitis, BISAP)评分简单易行、准确率高,在发病24 h内可完成,临床用于早期预测急性胰腺炎(acute pancreatitis, AP)患者病情严重程度[5]。但是BISAP评分诊断SAP的敏感度为38%、特异度为92%[6],且对于早期预测HTGP病情严重程度的研究较少,因此本研究旨在探讨是否可以联合早期指标以提高该评分的敏感度。
中性粒/淋巴细胞比率(neutrophil to lymphocyte ratio, NLR)是一种简单标志物,可反映AP早期不良预后[7],血小板/淋巴细胞比率(platelet to lymphocyte ratio, PLR)是一种新型的生物标志物,可以预测胆源性胰腺炎的病情严重程度[8],但对于HTGP中SAP患者的预测研究相对缺乏。上述三者均可在HTGP发病24 h内进行评估,因此本研究主要探讨BISAP评分、NLR、PLR对重症HTGP患者的预测价值,以及三者联合对于重症HTGP患者的早期预测价值,对临床发挥指导价值。
1 资料与方法 1.1 一般资料回顾性研究2019年1月至2019年12月北京大学人民医院急诊科就诊的符合HTGP诊断标准患者。HTGP诊断标准[7]为(1)符合2012年修订版亚特兰大国际共识关于AP的诊断,即达到以下3个条件中的2个:腹痛符合AP特征;血清淀粉酶活性(或脂肪酶活性)≥正常上限3倍;影像学(包括CT、MRI或腹部超声)发现AP特征性改变。(2)患者发病时血清TG水平≥11.3 mmol/L;或TG在5.65~11.3 mmol/L之间,并排除其他原因(如胆石症、酗酒等)引起的AP。(3)AP发病48 h内的患者,且临床资料均在发病24 h内获得。排除标准:(1)临床资料不完整者;(2)慢性胰腺炎急性加重者;(3)其他病因导致急性胰腺炎者;(4)伴有实体肿瘤、血液系统肿瘤或器官移植术后口服免疫抑制剂者。
本研究经北京大学人民医院伦理审查委员会审查通过,审批编号为2021PHB060-001。
1.2 研究方法收集患者临床资料,一般情况包括年龄、性别、既往史等。所有患者均于发病24 h内采集血样进行分析,检测白细胞计数(white blood cell count, WBC)、中性粒细胞计数(neutrophil, NEUT)、淋巴细胞计数(lymphocytes, LYM)、血红蛋白(hemoglobin, HGB)、血小板计数(platelet count, PLT)、总胆固醇(total cholesterol, TC)、TG、高密度脂蛋白(high density lipoprotein, HDL)、低密度脂蛋白(low density lipoprotein, LDL)、血清肌酐(creatinine, CRE)等实验室指标;计算NLR和PLR。所有患者均在急性胰腺炎发病24 h内行BISAP评分。所有患者均在急性胰腺炎发病24 h及48 h行Ranson评分、急性生理学与慢性健康状况(acute physiology and chronic health evaluation, APACHE)Ⅱ评分。发病24 h内均完善腹部CT并进行修正CT严重度指数(modified CT severity index, MCTSI)评分。依据《2012亚特兰大急性胰腺炎分类的定义修订的国际共识》[9]修订后急性胰腺炎分类将所有患者发病48 h后分为轻症急性胰腺炎(mild acute pancreatitis, MAP)和SAP两组。
1.3 统计学方法采用SPSS 22.0软件进行统计学分析。符合正态分布的计量资料以均数±标准差(x±s)表示,组间比较采用成组t检验。非正态分布的计量资料以中位数及四分位数间距[M(Q1,Q3)]表示,组间比较采用Kruskal-wallis秩和检验。计数资料以例(百分率)表示,组间比较采用卡方检验或Fisher精确概率法。采用Logistic回归分析HTGP中SAP患者的危险因素,用Spearman秩相关检验分析各因素的相关性。利用受试者工作(receiver operating characteristic,ROC)曲线分析各观察临界值及评价效能。以P < 0.05为差异有统计学意义。
2 结果 2.1 两组间一般资料及实验室检查指标等比较本研究收集符合标准HTGP共82例,其中MAP组(n=55)中男性44例(81.5%),年龄为(39±10)岁,SAP组(n=27)中男性18例(64.3%),年龄为(41±15)岁。两组患者中发热患者比例、NLR、PLR、乳酸脱氢酶(lactate dehydrogenase, LDH)、尿素氮(blood urea nitrogen, BUN)、Ranson评分、APACHEⅡ评分及BISAP评分比较具有统计学差异(P < 0.05),见表 1。
| 指标 | MAP组(n=55) | SAP组(n=27) | 统计值 | P值 |
| 男性(例,%) | 44(81.5) | 18(64.3) | 2.957 | 0.086 |
| 年龄(岁)a | 39±10 | 41±15 | 0.367 | 0.716 |
| 高血压(例,%) | 7(13.0) | 7(25.0) | 1.887 | 0.170 |
| 糖尿病(例,%) | 20(30.0) | 13(46.4) | 0.676 | 0.411 |
| 高脂血症(例,%) | 12(22.2) | 12(42.9) | 3.793 | 0.051 |
| 腹痛(例,%) | 43(79.6) | 23(82.1) | 0.074 | 0.785 |
| 腹胀(例,%) | 19(35.2) | 13(46.4) | 0.980 | 0.322 |
| 发热(例,%) | 4(7.4) | 13(46.4) | 17.085 | < 0.001 |
| 恶心(例,%) | 19(35.2) | 16(57.1) | 3.634 | 0.057 |
| 体温(℃)b | 36.5(36.1,37.5) | 37.2(36.5,38.1) | 1.120 | 0.299 |
| 脉搏(次/min)a | 78±33 | 69±33 | 0.906 | 0.374 |
| 呼吸(次/min)b | 20(19,24) | 25(18,27) | 0.883 | 0.417 |
| 收缩压(mmHg)a | 127±16 | 129±26 | 0.217 | 0.830 |
| 舒张压(mmHg)a | 79±17 | 80±11 | 0.201 | 0.843 |
| WBC(×109)a | 11.91±4.02 | 12.60±5.00 | 0.657 | 0.513 |
| NEUT(×109)a | 9.02±4.10 | 9.89±4.50 | 0.862 | 0.391 |
| LYM(×109)b | 1.55(1.09,2.23) | 1.22(0.75,2.84) | 1.807 | 0.003 |
| NLRb | 2.60(1.70,3.79) | 9.07(2.89,14.74) | 3.916 | < 0.001 |
| HGB(g/L)a | 172±39 | 158±27 | 1.725 | 0.089 |
| PLT(×109)a | 246.6±69.5 | 267.6±93.1 | 1.117 | 0.268 |
| PLRb | 101.52(58.39,114.80) | 211.00(169.74,240.29) | 5.739 | < 0.001 |
| ALT(U/L)b | 32(20,45) | 30(20,49) | 0.724 | 0.472 |
| AST(U/L)b | 22(16,33) | 25(16,35) | 0.398 | 0.692 |
| GGT(U/L)b | 58(32,99) | 112(48,237) | 1.993 | 0.056 |
| LDH(U/L)a | 193±82 | 152±91 | 2.034 | 0.045 |
| ALP(U/L)a | 82±22 | 79±35 | 0.387 | 0.701 |
| TBIL(μmmol/L)b | 8.3(4.6,11.5) | 7.2(4.0,10.2) | 0.665 | 0.709 |
| ALB(g/L)a | 47.7±4.9 | 46.0±7.4 | 1.265 | 0.211 |
| BUN(mmol/L)b | 4.9(3.7,6.0) | 5.6(3.3,7.1) | 0.257 | 0.014 |
| CRE(μmmol/L)b | 63.5(51.5,77.0) | 57.5(41.0,72.0) | 1.214 | 0.235 |
| Ca2+(mmol/L)a | 2.1±0.3 | 2.1±0.3 | 0.644 | 0.521 |
| Na+(mmol/L)a | 132.6±4.0 | 133.3±6.0 | 0.576 | 0.568 |
| K+(mmol/L)a | 4.0±0.4 | 4.1±0.6 | 0.089 | 0.930 |
| TG(mmol/L)a | 38.9±18.5 | 43.3±32.0 | 0.264 | 0.796 |
| LDL-C(mmol/L)a | 3.3±2.3 | 3.5±2.5 | 0.255 | 0.800 |
| HDL-C(mmol/L)a | 2.3±1.6 | 3.0±1.9 | 1.550 | 0.125 |
| 淀粉酶(U/L)b | 126(40,262) | 142(63,421) | 1.126 | 0.158 |
| 脂肪酶(U/L)b | 249(72,417) | 214(64,930) | 0.863 | 0.446 |
| 尿淀粉酶(U/L)b | 341(0,1 185) | 121(0,1 147) | 0.837 | 0.485 |
| PT(s)b | 11.2(10.5,12.4) | 11.7(10.9,13.0) | 0.803 | 0.539 |
| PTA(%)a | 83±31 | 87±21 | 0.543 | 0.589 |
| INRb | 1.0(0.9,1.1) | 1.1(0.9,1.2) | 0.803 | 0.539 |
| APTT(s)b | 29.2(26.2,30.5) | 29.1(27.6,32.9) | 0.696 | 0.717 |
| FIB(mg/dL)a | 318±237 | 330±168 | 0.691 | 0.492 |
| FDP(μg/mL)b | 1.9(0.9,4.0) | 3.0(0.9,28.3) | 0.984 | 0.299 |
| DDIM(ng/mL)b | 123(52,266) | 176(96,1 128) | 1.155 | 0.138 |
| Ranson评分b | 2(1,3) | 4(4,6) | 3.209 | < 0.001 |
| APACHEⅡ评分b | 2(0,2) | 10(8,10) | 3.896 | < 0.001 |
| BISAP评分b | 2(1,3) | 3(3,4) | 5.828 | < 0.001 |
| MCTSI评分b | 2(0,4) | 4(0,6) | 1.312 | 0.064 |
| 注:WBC为白细胞计数,NEUT为中性粒细胞计数,LYM为淋巴细胞计数,PLT为血小板计数,HGB为血红蛋白,NLR为中性粒细胞/淋巴细胞,PLR为血小板/淋巴细胞,ALT为丙氨酸氨基转移酶,AST为天门冬氨酸氨基转移酶,GGT为γ-谷氨酰转移酶,LDH为乳酸脱氢酶,ALP为碱性磷酸酶,ALB白蛋白,BUN为尿素氮,CRE为肌酐,TG为甘油三酯,HDL为高密度脂蛋白胆固醇,LDL-C为低密度脂蛋白胆固醇,PT为凝血酶原时间,PTA为凝血酶原活动度,INR为凝血酶原国际标准化比率,APTT为活化部分凝血活酶时间,FDP为纤维蛋白降解产物,DDIM为D二聚体,APACHEⅡ为急性生理学与慢性健康状况Ⅱ评分,BISAP评分为急性胰腺炎床旁急性胰腺炎严重度指数评分,MCTSI评分为修正CT严重度指数评分;1 mmHg=0.133 kPa;a为x±s,b为M(Q1,Q3) | ||||
将两组间P < 0.05的因素纳入Logistic回归方程,分析结果如表 2所示。NLR(OR=1.859,95%CI: 1.385~2.497,P < 0.001)、PLR(OR=1.074,95%CI: 1.036~1.112,P < 0.001)、BISAP评分(OR=2.880,95%CI: 1.578~5.258,P=0.001)、APACHE Ⅱ评分(OR=3.816,95%CI: 1.778~8.194,P=0.001)和Ranson评分(OR=6.855,95%CI: 2.734~17.188,P < 0.001)是HTGP中SAP患者的危险因素。
| 危险因素 | 回归系数 | 标准误 | Wald值 | OR值 | 95%CI | P值 |
| 发热 | 2.157 | 0.882 | 0.167 | 0.414 | 0.006~28.361 | 0.682 |
| NLR | 0.620 | 0.150 | 17.007 | 1.859 | 1.385~2.497 | < 0.001 |
| PLR | 0.071 | 0.018 | 15.182 | 1.074 | 1.036~1.112 | < 0.001 |
| LDH | -0.006 | 0.003 | 3.871 | 0.994 | 0.989~1.000 | 0.049 |
| BUN | 0.160 | 0.103 | 2.384 | 1.173 | 0.958~1.436 | 0.123 |
| Ranson评分 | 1.925 | 0.469 | 16.847 | 6.855 | 2.734~17.188 | < 0.001 |
| APACHEⅡ评分 | 1.339 | 0.390 | 11.803 | 3.816 | 1.778~8.194 | 0.001 |
| BISAP评分 | 1.058 | 0.307 | 11.871 | 2.880 | 1.578~5.258 | 0.001 |
| 注:NLR为中性粒细胞/淋巴细胞,PLR为血小板/淋巴细胞,LDH为乳酸脱氢酶,BUN为尿素氮,APACHEⅡ为急性生理学与慢性健康状况Ⅱ评分,BISAP评分为急性胰腺炎床旁急性胰腺炎严重度指数评分 | ||||||
相关性分析显示NLR与BISAP评分、APACHE Ⅱ评分和Ranson评分的相关系数分别为0.216、0.383、0.321;PLR与BISAP评分、APACHE Ⅱ评分及Ranson评分的相关系数分别为0.334、0.304、0.274,均为正相关,差异有统计学意义(均P < 0.001)。
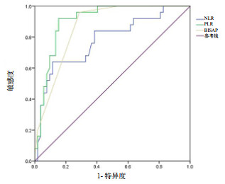
2.4 NLR、PLR和BISAP评分在HTGP中ROC曲线分析NLR和PLR对SAP的预测效果较好,敏感度分别为76.9%和96.2%,特异度为96.1%和98.0%,BISAP评分单独的预测价值较差。见图 1、表 3。
|
| NLR为中性粒细胞/淋巴细胞,PLR为血小板/淋巴细胞,BISAP评分为急性胰腺炎床旁急性胰腺炎严重度指数评分 图 1 NLR、PLR和BISAP评分预测HTGP中SAP的ROC曲线 Fig 1 ROC curve of NLR, PLR and BISAP score predicting SAP in HTGP patients |
|
|
| 变量 | 最佳临界值 | AUC | 标准误 | P值 | 95%CI | 敏感度(%) | 特异度(%) |
| NLR | 6.097 | 0.777 | 0.059 | < 0.001 | 0.661~0.893 | 76.9 | 96.1 |
| PLR | 169.745 | 0.906 | 0.034 | < 0.001 | 0.839~0.972 | 96.2 | 98.0 |
| BISAP评分 | 3.000 | 0.865 | 0.059 | 0.001 | 0.787~0.943 | 22.2 | 98.2 |
| 注:NLR为中性粒细胞/淋巴细胞,PLR为血小板/淋巴细胞,LDH为乳酸脱氢酶,BISAP评分为急性胰腺炎床旁急性胰腺炎严重度指数评分 | |||||||
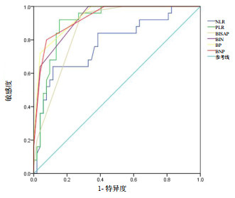
根据最佳约登指数,NLR入院24 h内预测SAP最佳临界值为6.097,将NLR≥6.097计为1分纳入BISAP评分(BN评分),PLR预测SAP最佳临界值为169.745,将PLR≥169.745计为1分纳入BISAP评分(BP评分),将NLR≥6.097且PLR≥169.745计为2分纳入BISAP评分(BNP评分),绘制BISAP评分、NLR、PLR、BN评分、BP评分和BNP评分的ROC曲线。见图 2。
|
| NLR为中性粒细胞/淋巴细胞,PLR为血小板/淋巴细胞,BISAP评分为急性胰腺炎床旁急性胰腺炎严重度指数评分,BN评分为NLR+BISAP评分,BP评分为PLR+BISAP评分,BNP评分为NLR+PLR+BISAP评分 图 2 BISAP评分、BN评分、BP评分和BNP评分预测HTGP中SAP的ROC曲线 Fig 2 ROC curve of BISAP score, BN score, BP score and BNP score predicting SAP in HTGP patients |
|
|
研究证实BNP评分AUC最大,对于HTGP中SAP患者的预测价值最高,敏感度为80.0%,特异度为92.3%,较BISAP评分的敏感度(22.2%)明显升高。见表 4。
| 变量 | 最佳临界值 | AUC | P值 | 95%CI | 敏感度(%) | 特异度(%) |
| BISAP评分 | 3.000 | 0.865 | 0.001 | 0.787~0.943 | 22.2 | 98.2 |
| BN评分 | 3.000 | 0.925 | < 0.001 | 0.869~0.981 | 99.0 | 67.3 |
| BP评分 | 4.000 | 0.930 | < 0.001 | 0.885~0.987 | 72.0 | 96.2 |
| BNP评分 | 4.000 | 0.936 | < 0.001 | 0.874~0.986 | 80.0 | 92.3 |
| 注:BISAP评分为急性胰腺炎床旁急性胰腺炎严重度指数评分,BN评分为NLR+BISAP评分,BP评分为PLR+BISAP评分,BNP评分为NLR+PLR+BISAP评分 | ||||||
近年来HTGP发病率呈上升趋势,研究证实,重症HTGP病死率显著高于重症胆源性胰腺炎[10],且易发生于年轻男性,尤其是肥胖、酗酒及糖尿病患者[11]。有报道指出HTGP患者的肾功能衰竭发生率、SAP发生率均显著高于非HTGP患者,且复发率和局部并发症也显著升高,说明HTGP患者病情易趋于重症化、临床预后更差[12]。因此在HTGP早期(发病24 h内)判断病情发展,及时开展治疗,对于预防病情加重具有重要临床意义。目前临床采用评分系统来进行SAP评价,如Ranson评分、APACHE Ⅱ评分,均在发病48 h后预测SAP。临床缺乏针对HTGP早期病情演变的特异性评分系统来预测SAP。因此在HTGP疾病的早期阶段需要具有较高的敏感度和特异度的评分预测SAP,为指导临床治疗,调整临床方案提供依据。
2008年,Wu等[13]提出的BISAP评分是一种新的简单易行且准确度较高的AP评估标准。BISAP评分最突出优点是简便易行,在发病24 h内即可进行,诊断SAP的敏感度为38%、特异度为92%。本研究分析BISAP评分预测HTGP中SAP敏感度为22.2%,特异度为98.2%,与上述研究大致相符。由于BISAP预测HTGP中SAP的敏感度较低,本研究论证是否可以增加一些早期可获得的指标来提升敏感度。
NLR可反映全身炎症反应,优点在于入院即刻可获得[14]。PLR可以反应疾病严重程度预测的能力[15]。Azab等[16]于2011年首次将NLR应用于评估AP患者,发现NLR预测SAP患者在入住ICU或延长住院时间等方面优于WBC,其中NLR>4.7提示患者预后较差,可入住ICU。Wang等[17]回顾性分析了110例HTGP患者,发现NLR对预测重症HTGP方面具有较高的预测能力。研究发现PLR与AP的严重程度之间存在相关性,PLR与Ranson评分、BISAP评分、尿素、肌酐、红细胞沉降率、C反应蛋白等实验室检查结果呈正相关[18]。目前已有研究证实NLR联合PLR检测对AP预后的预测价值,但缺乏关于NLR和PLR在重症HTGP患者中的预测价值[19]。
本研究通过回顾性分析,提示NLR和PLR是早期重症HTGP患者的危险因素,进一步明确NLR和PLR在重症HTGP患者病情加重方面的意义,从而有效预测SAP患者的病情发展。研究证实APACHE Ⅱ评分可以作为急性胰腺炎预后的预测指标,与SAP患者的病死率有较高相关性[20]。相关性分析证实,NLR和PLR均与BISAP评分、APACHE Ⅱ评分和Ranson评分有正相关性。由此推断,BISAP评分、NLR和PLR对于预测HTGP中SAP患者预后有意义,但是本研究样本量较少,且重症患者样本量较少,统计效能偏低,因此临界值的界定仍需进一步验证。由于BISAP评分和NLR、PLR均可在发病24 h内获得,是否可将NLR和PLR纳入BISAP评分,从而提高预测HTGP中SAP的敏感度和特异度值得进行研究。因此本研究通过ROC曲线分析,进一步评估BN评分、BP评分、BNP评分和BISAP评分对于重症HTGP的预测价值。本研究证实BNP评分的AUC最大(AUC=0.936),其敏感度可达到80%(BISAP评分单独应用敏感度仅为22.2%),特异度为92.3%。因此BNP评分较BISAP评分预测重症HTGP方面具有较高的敏感度,对于发病24 h内判断HTGP中SAP患者病情具有较高的预测价值。
本研究样本量较少,且重症患者样本量较少,仍需大样本量研究以进一步证实BNP评分对于HTGP病情严重程度的预测价值。综上所述,本研究证实NLR、PLR联合BISAP评分可在发病24 h内对于重症HTGP患者进行预测,为指导临床治疗提供依据,改善患者预后。
利益冲突 所有作者声明无利益冲突
作者贡献声明 宋小静:数据收集及整理、统计学分析、论文撰写;高伟波:研究设计、论文修改;朱继红:论文修改
| [1] | Li XY, Ke L, Dong J, et al. Significantly different clinical features between hypertriglyceridemia and biliary acute pancreatitis: a retrospective study of 730 patients from a tertiary center[J]. BMC Gastroenterol, 2018, 18(1): 89. DOI:10.1186/s12876-018-0821-z |
| [2] | Zhu Y, Pan XL, Zeng H, et al. A study on the etiology, severity, and mortality of 3260 patients with acute pancreatitis according to the revised Atlanta classification in Jiangxi, China over an 8-year period[J]. Pancreas, 2017, 46(4): 504-509. DOI:10.1097/MPA.0000000000000776 |
| [3] | Valdivielso P, Ramírez-Bueno A, Ewald N. Current knowledge of hypertriglyceridemic pancreatitis[J]. Eur J Intern Med, 2014, 25(8): 689-694. DOI:10.1016/j.ejim.2014.08.008 |
| [4] | 中华医学会急诊分会, 京津冀急诊急救联盟, 北京医学会急诊分会, 等. 急性胰腺炎急诊诊断及治疗专家共识[J]. 中华急诊医学杂志, 2021, 30(2): 161-172. DOI:10.3760/cma.j.issn.1671-0282.2021.02.005 |
| [5] | Park JY, Jeon TJ, Ha TH, et al. Bedside index for severity in acute pancreatitis: comparison with other scoring systems in predicting severity and organ failure[J]. Hepatobiliary Pancreat Dis Int, 2013, 12(6): 645-650. DOI:10.1016/s1499-3872(13)60101-0 |
| [6] | Zheng L, Hong W, Geng W, et al. A comparison of the BISAP score and Amylase and BMI (CAB) score versus for predicting severe acute pancreatitis[J]. Acta Gastroenterol Belg, 2019, 82(3): 397-400. |
| [7] | Jeon TJ, Park JY. Clinical significance of the neutrophil-lymphocyte ratio as an early predictive marker for adverse outcomes in patients with acute pancreatitis[J]. World J Gastroenterol, 2017, 23(21): 3883-3889. DOI:10.3748/wjg.v23.i21.3883 |
| [8] | Cho SK, Jung S, Lee KJ, et al. Neutrophil to lymphocyte ratio and platelet to lymphocyte ratio can predict the severity of gallstone pancreatitis[J]. BMC Gastroenterol, 2018, 18(1): 18. DOI:10.1186/s12876-018-0748-4 |
| [9] | Banks PA, Bollen TL, Dervenis C, et al. Classification of acute pancreatitis: 2012: revision of the Atlanta classification and definitions by international consensus[J]. Gut, 2013, 62(1): 102-111. DOI:10.1136/gutjnl-2012-302779 |
| [10] | 何文华, 祝荫, 朱勇, 等. 高甘油三酯血症与其他病因所致急性胰腺炎的病情严重程度及预后比较[J]. 中华医学杂志, 2016, 96(32): 2569-2572. DOI:10.3760/cma.j.issn.0376-2491.2016.32.011 |
| [11] | Yin GJ, Cang XF, Yu G, et al. Different clinical presentations of hyperlipidemic acute pancreatitis: a retrospective study[J]. Pancreas, 2015, 44(7): 1105-1110. DOI:10.1097/MPA.0000000000000403 |
| [12] | Retterstøl K, Narverud I, Selmer R, et al. Severe hypertriglyceridemia in Norway: prevalence, clinical and genetic characteristics[J]. Lipids Health Dis, 2017, 16(1): 115. DOI:10.1186/s12944-017-0511-9 |
| [13] | Wu BU, Johannes RS, Sun X, et al. The early prediction of mortality in acute pancreatitis: a large population-based study[J]. Gut, 2008, 57(12): 1698-1703. DOI:10.1136/gut.2008.152702 |
| [14] | Huang L, Chen CY, Yang LJ, et al. Neutrophil-to-lymphocyte ratio can specifically predict the severity of hypertriglyceridemia-induced acute pancreatitis compared with white blood cell[J]. J Clin Lab Anal, 2019, 33(4): e22839. DOI:10.1002/jcla.22839 |
| [15] | İlhan M, İlhan G, Gök AFK, et al. Evaluation of neutrophil-lymphocyte ratio, platelet-lymphocyte ratio and red blood cell distribution width-platelet ratio as early predictor of acute pancreatitis in pregnancy[J]. J Matern Fetal Neonatal Med, 2016, 29(9): 1476-1480. DOI:10.3109/14767058.2015.1051026 |
| [16] | Azab B, Jaglall N, Atallah JP, et al. Neutrophil-lymphocyte ratio as a predictor of adverse outcomes of acute pancreatitis[J]. Pancreatology, 2011, 11(4): 445-452. DOI:10.1159/000331494 |
| [17] | Wang YC, Fuentes HE, Attar BM, et al. Evaluation of the prognostic value of neutrophil to lymphocyte ratio in patients with hypertriglyceridemia-induced acute pancreatitis[J]. Pancreatology, 2017, 17(6): 893-897. DOI:10.1016/j.pan.2017.10.001 |
| [18] | Que Y, Qiu HB, Li YF, et al. Preoperative platelet-lymphocyte ratio is superior to neutrophil-lymphocyte ratio as a prognostic factor for soft-tissue sarcoma[J]. BMC Cancer, 2015, 15: 648. DOI:10.1186/s12885-015-1654-6 |
| [19] | Kaplan M, Ates I, Oztas E, et al. A new marker to determine prognosis of acute pancreatitis: PLR and NLR combination[J]. J Med Biochem, 2018, 37(1): 21-30. DOI:10.1515/jomb-2017-0039 |
| [20] | 苗利辉, 宋青, 刘辉, 等. 白细胞介素-6对重症急性胰腺炎早期判别预后的作用研究[J]. 中华危重病急救医学, 2013, 25(4): 238-241. DOI:10.3760/cma.j.issn.2095-4352.2013.04.015 |
2022, Vol. 31



