2. 中国人民解放军联勤保障部队 第九四二医院检验科 银川 750004;
3. 宁夏宁东能源化工基地公共卫生中心 银川 750004
2. Clinical Laboratory Department, the 942th Hospital of the Joint Service of Chinese People′s Liberation Army, Yinchuan 750004, China;
3. Public Health Center of Ningdong Energy and Chemical Industry Base, Yinchuan 750004, China
一氧化碳中毒迟发性脑病(Delayed encephalopathy after acute carbon monoxide poisoning, DEACMP)为一氧化碳中毒后最为常见的并发症之一,发病率[1]高达10%~30%,国外报道高达13%~50%,其具有发病率、致残率及致死率高等特点[2]。DEACMP的发病机制目前尚不明确,相关研究显示可能与NO介导的损伤、缺血缺氧、细胞凋亡、免疫及炎症介导损伤等相关[3]。其中NO介导的神经系统损伤为DEACMP发病的重要机制之一,在一氧化碳中毒时,NO会出现不同程度的增高,而一氧化氮合酶(nitric oxide synthase, NOS)则是NO催化诱导的关键酶[4]。NOS主要有三个亚型:神经元型NOS(nNOS)、诱导型NOS(iNOS)、内皮型NOS(eNOS)。当大脑处于缺血缺氧状态时,NOS的表达增加,诱导生成过量的NO进而造成脑损害[5]。在缺血缺氧早期以nNOS和eNOS增高为主,晚期则以iNOS增高为主。有研究[6]显示,活化小胶质细胞产生的iNOS诱导NO生成可能为延迟性神经损伤的发病机制之一。相关研究结果表明[7],NO-NOS系统参与了DEACMP的发病,本课题组前期动物实验也发现[8],iNOS在DEACMP后期大鼠海马区表达明显增高,由此也提示iNOS可能与DEACMP的发病具有一定相关性。基于以上原因,本研究通过对比DEACMP患者与非DEACMP患者不同时期血清NO、nNOS、iNOS及eNOS的变化,探讨NOS,尤其是iNOS与DEACMP的相关性,为探索DEACMP的发病机制提供理论依据。
1 资料与方法 1.1 研究对象通过前瞻性研究方法,收集2019年6月至2021年6月宁夏医科大学总医院急诊ICU收治的急性一氧化氮中毒患者相关信息及临床资料,包括患者的性别、年龄、一氧化碳接触时长、入院时格拉斯哥评分(GCS)、昏迷时长、入院时中毒严重程度、是否发生DEACMP、DEACMP发生时间以及是否存活等相关资料。所有患者分别在入院时,入院后第7天、第14天留取静脉血4 mL,离心(3 000 r/min)15 min,分离上清液后于-80℃冰箱冻存待测。一氧化碳中毒及DEACMP的诊断采用《急诊内科学》[9]中关于一氧化碳中毒及DEACMP的诊断标准。
纳入标准:①明确诊断为急性一氧化碳中毒的患者。②一氧化碳中毒至住院时间在48 h以内。③患者或患者家属知情同意。
排除标准:①合并其他有毒气体或毒物中毒的患者。②入院前或入院后出现心搏停止,行心肺复苏的患者。③合并脑出血或脑梗塞的患者。④既往存在精神、神经系统疾病的患者。⑤合并感染而导致NO及NOS异常的疾病。⑥存在其他非感染因素导致NO或NOS异常的患者。
剔除标准:①入选病例在研究期间出现心脏停搏,行心肺复苏的患者。②要求退出本研究的患者。③未能按本实验设计完成治疗及检查的患者。④出现其他可能影响本试验结果的情况。
本研究通过宁夏医科大学总医院伦理委员会审查(伦理编号:2019–481),所有患者在纳入前均已签署知情同意书。
1.2 治疗方法所有患者治疗方案均参照《急诊内科学》[9]中关于一氧化碳中毒的治疗方法,包括:高压氧治疗、生命支持(包括呼吸功能支持、循环功能支持等)等。
1.3 标本检测方法通过双抗体夹心法(ELISA)分别检测患者入院时、入院后第7天及第14天NO、nNOS、iNOS及eNOS水平。NO检测试剂盒购自江苏晶美生物科技有限公司,生产批号:2021-03;nNOS、iNOS及eNOS检测试剂盒购自武汉云克隆科技股份有限公司,生产批号分别为:L210309534、L210131637、L210309526。检测方法及过程严格按照说明书进行。
1.4 统计学方法采用R语言(Ver 4.1.0)进行统计分析。正态分布的计数资料采用均数±标准差(
研究期间共有95例患者符合纳入标准进入本研究,其中有17例患者未能按照实验方案完成检查予以剔除,最终纳入患者78例,其中男性49(62.82%)例,女性29(37.18%)例。年龄(53.96±14.95)岁,DEACMP患者20例(25.64%),死亡1例(1.28%)。一氧化碳中毒患者的一般资料见表 1。
| 指标 | 值(n=78) |
| 年龄[M(IQR), 岁] | 55.5(21.5) |
| 一氧化碳暴露时间[M(IQR), h] | 9(3.75) |
| 性别(n,%) | |
| 男 | 49(62.82) |
| 女 | 29(37.18) |
| GCS评分[M(IQR)] | 11.50(8.00) |
| 中毒至DEACMP发生时长[M(IQR), d] | 16.00(10.75) |
| NO水平[M(IQR), μmol/L] | |
| 入院时 | 325.35(76.8) |
| 第7天 | 332.77(49.57) |
| 第14天 | 351.47(109.86) |
| nNOS水平[M(IQR), ng/mL] | |
| 入院时 | 0.97(0.37) |
| 第7天 | 0.80(0.46) |
| 第14天 | 0.92(0.38) |
| iNOS水平[M(IQR), ng/mL] | |
| 入院时 | 0.34(0.15) |
| 第7天 | 0.44(0.86) |
| 第14天 | 0.25(0.53) |
| eNOS水平[M(IQR), ng/mL] | |
| 入院时 | 0.26(0.01) |
| 第7天 | 0.26(0.01) |
| 第14天 | 0.26(0.11) |
| 中毒严重程度(n,%) | |
| 轻度 | 28(35.9) |
| 中度 | 13(16.67) |
| 重度 | 37(47.44) |
| DEACMP例数(n,%) | 20(25.64) |
| 死亡(n,%) | 8(5.03) |
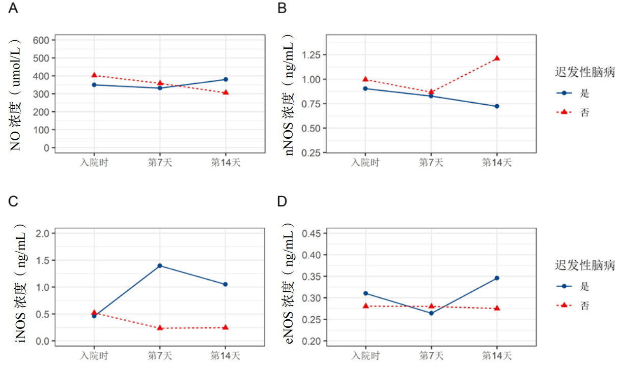
单因素分析结果显示,相较于非DEACMP患者,DEACMP患者一氧化碳暴露时间增加3 h(95%CI: 1.00, 5.00),GCS评分低5分(95%CI: 1.00, 6.00);在一氧化碳中毒严重程度上,DEACMP患者明显高于非DEACMP的患者(90.00% vs. 32.76%);DEACMP患者iNOS在入院后第7天和第14天高于入院时,差异有统计学意义(P < 0.05或P < 0.01),NO、nNOS、eNOS水平在各个时间点差异均无统计学意义;非DEACMP患者NO、nNOS、iNOS、eNOS水平在各个时间点的差异均无统计学意义(P > 0.05)。在入院后第7天及第14天,DEACMP患者的iNOS水平高于非DEACMP患者(P < 0.01);在入院后第14天,DEACMP患者的nNOS低于非DEACMP患者,差异具有统计学意义(P < 0.05)。两组患者在年龄、性别及不同时间点的NO、nNOS、iNOS、eNOS水平上的差异均无统计学意义(P > 0.05),见表 2。不同时间点NO、nNOS、iNOS及eNOS的变化折线图显示(见图 1),DEACMP及非DEACMP患者血清iNOS在入院时相接近,在入院后第7天及第14天DEACMP患者明显高于非DEACMP患者。
| 指标 | 一氧化碳中毒 | 估计差值(95%CI) | t/U值 | P值 | |
| DEACMP组(n=20) | 非DEACMP组(n=58) | ||||
年龄( ,岁) |
57.6±12.26 | 52.71±15.67 | 4.89(-2.80, 12.58) | 1.27 | 0.21 |
| 一氧化碳暴露时间[M(IQR), h] | 10.00(2.12) | 8.00(5.75) | 3.00(1.00, 5.00) | 897.50 | < 0.01 |
| GCS评分[M(IQR)] | 8.00(2.25) | 13.00(7.00) | -5.00(-6.00, -1.00) | 323.00 | < 0.01 |
| NO水平[M(IQR), μmol/L] | |||||
| 入院时 | 329.72(68.81) | 325.35(79.95) | 12.77(-35.03, 61.17) | 370.50 | 0.58 |
| 第7天 | 335.79(134.05) | 320.62(39.11) | -1.34(-40.47, 92.37) | 84.00 | 0.98 |
| 第14天 | 290.67(59.84) | 367.46(100.31) | -76.79(-175.10, 42.01) | 11.00 | 0.34 |
| nNOS水平[M(IQR), ng/mL] | |||||
| 入院时 | 0.85(0.45) | 1.02(0.40) | -0.12(-0.31, 0.07) | 264.00 | 0.25 |
| 第7天 | 0.77(0.30) | 0.81(0.57) | -0.03(-0.33, 0.22) | 79.00 | 0.79 |
| 第14天 | 0.73(0.19) | 1.10(0.48) | -0.42(-1.02, -0.07) | 4.00 | 0.03 |
| iNOS水平[M(IQR), ng/mL] | |||||
| 入院时 | 0.39(0.27) | 0.34(0.14) | 0.03(-0.03, 0.13) | 390.00 | 0.39 |
| 第7天 | 1.56(0.70)a | 0.26(0.21) | 1.16(0.61, 1.40) | 164.00 | < 0.01 |
| 第14天 | 1.32(0.81)b | 0.24(0.01) | 1.08(0.21, 1.53) | 35.00 | < 0.01 |
| eNOS水平[M(IQR), ng/mL] | |||||
| 入院时 | 0.27(0.09) | 0.26(0.01) | 0.00(-0.00, 0.06) | 402.00 | 0.29 |
| 第7天 | 0.26(0.01) | 0.26(0.01) | 0.00(-0.01, 0.01) | 70.00 | 0.75 |
| 第14天 | 0.37(0.11) | 0.26(0.01) | 0.10(0.00, 0.16) | 28.50 | 0.09 |
| 性别(n,%) | > 0.99 | ||||
| 男 | 13(65.00) | 36(62.07) | |||
| 女 | 7(35.00) | 22(37.93) | |||
| 中毒严重程度(n,%) | < 0.01 | ||||
| 轻度 | 1(5.00) | 27(46.55) | |||
| 中度 | 1(5.00) | 12(20.69) | |||
| 重度 | 18(90.00) | 19(32.76) | |||
| 注:与入院时相比较,aP < 0.05;bP < 0.01 | |||||
|
| 图 1 不同时间点DEACMP患者与非DEACMP患者NO(A)、nNOS(B)、iNOS(C)及eNOS(D)的变化 Fig 1 Differences of NO (A), nNOS(B), iNOS (C) and eNOS (D) in patients with and without DEACMP at different time points |
|
|
通过将上述单因素有意义的变量分别建立GEE后的结果显示,与非DEACMP的患者相比,无论是否调整一氧化碳暴露时间、GCS评分、昏迷时间及一氧化碳中毒严重程度,DEACMP患者iNOS水平均高于非DEACMP的患者,差异具有统计学意义(P < 0.01或P < 0.05)。nNOS水平除在调整一氧化碳暴露时间的GEE模型中DEACMP患者高于未发生DEACMP患者外,NO、nNOS及eNOS水平均无明显差异(P > 0.05),见表 3。
| 模型a | 评估值(95%CI) | P值 |
| 未调整 | ||
| NO(μmol/L) | 52.09(-91.91, 196.08) | 0.48 |
| nNOS(ng/mL) | -0.14(-0.28, 0.01) | 0.07 |
| iNOS(ng/mL) | 0.43(0.23, 0.64) | < 0.01 |
| eNOS(ng/mL) | 0.02(0.00, 0.05) | 0.08 |
| 调整一氧化碳暴露时间 | ||
| NO(μmol/L) | 30.89(-57.06, 118.84) | 0.49 |
| nNOS(ng/mL) | -0.15(-0.30, 0.00) | < 0.05 |
| iNOS(ng/mL) | 0.42(0.17, 0.66) | < 0.01 |
| eNOS(ng/mL) | 0.02(-0.01, 0.05) | 0.17 |
| 调整一氧化碳暴露时间、GCS评分 | ||
| NO(μmol/L) | 31.81(-41.98, 105.59) | 0.40 |
| nNOS(ng/mL) | -0.14(-0.31, 0.04) | 0.12 |
| iNOS(ng/mL) | 0.40(0.11, 0.70) | < 0.01 |
| eNOS(ng/mL) | 0.02(-0.01, 0.05) | 0.28 |
| 调整一氧化碳暴露时间、GCS评分、昏迷时间 | ||
| NO(μmol/L) | 30.8(-41.25, 102.84) | 0.40 |
| nNOS(ng/mL) | -0.14(-0.30, 0.02) | 0.08 |
| iNOS(ng/mL) | 0.40(0.09, 0.70) | 0.01 |
| eNOS(ng/mL) | 0.02(-0.01, 0.04) | 0.22 |
| 调整一氧化碳暴露时间、GCS评分、昏迷时间、一氧化碳中毒严重程度 | ||
| NO(μmol/L) | 49.5(-33.91, 132.91) | 0.24 |
| nNOS(ng/mL) | -0.14(-0.29, 0.01) | 0.07 |
| iNOS(ng/mL) | 0.37(0.01, 0.72) | 0.04 |
| eNOS(ng/mL) | 0.02(-0.01, 0.05) | 0.18 |
| 注:a与非DEACMP患者相比不同模型下NO、nNOS、iNOS及eNOS水平的差异。 | ||
本研究结果发现,在不考虑一氧化碳中毒患者中毒时一氧化碳接触时间、昏迷程度(GCS评分)、中毒严重程度等因素时,DEACMP患者在入院后第7天及第14天iNOS水平高于非DEACMP的患者。然而考虑到一氧化碳接触时间、昏迷程度及患者病情严重程度等也可能会导致NOS及iNOS上的差异,且本组病例中DEACMP患者的一氧化碳暴露时间、昏迷程度及一氧化碳中毒严重程度均高于非DEACMP的患者,故而通过分别调整一氧化碳暴露时间、昏迷程度及一氧化碳中毒严重程度后的GEE模型发现,无论是否调整,DEACMP患者iNOS在入院后第7天及第14天均高于非DEACMP的患者,提示DEACMP患者iNOS的持续表达可能是导致DEACMP发病的原因之一。而无论是NO、nNOS还是eNOS,两组间差异无统计学意义,提示nNOS及eNOS可能并不是导致DEACMP发生的关键NOS。由于NOS的作用主要为诱导NO的产生进而损伤中枢神经系统,因而理论上DEACMP患者神经系统及血清的NO水平应高于非DEACMP患者。本研究结果发现DEACMP患者血清NO水平呈持续上升趋势,而非DEACMP患者的NO水平呈持续下降趋势,虽然二者经统计学分析差异并无统计学意义,但这种趋势也符合NO诱导DEACMP发生的机制。造成NO增高的原因较多[10],但并非所有NO增高的患者都会出现神经系统损伤,说明NO血清水平的增高和中枢神经系统NO的增高可能并不一致。iNOS主要存在于神经胶质细胞和巨噬细胞,其次是神经元,在多数情况下只在免疫应答和神经损伤后才表达,在非神经系统损伤时并不会表达。
DEACMP发病机制复杂,至今尚不明确[11],NO介导的神经系统损伤为DEACMP的发病机制之一[12-15],高浓度的NO可诱导神经细胞变性、坏死、凋亡[15-16]。NO主要由NOS催化产生,在NOS的三个亚型中,iNOS是诱导产生NO的主要酶之一,激活后作用强、作用时间长[18],会促使生成大量NO诱导神经细胞损伤[19, 20]。相关研究显示[21],NOS和NO在血管性痴呆的发病机制中起到了重要的作用,与阿尔茨海默病及痴呆等关系密切[22]。Wang等[23]则发现血清高iNOS水平与卒中后抑郁相关,提示iNOS表达的增加参与、诱导神经系统损伤。而抑制一氧化氮合酶后则可减轻神经毒性[24]、减少神经元的凋亡等[21]。本研究组前期的动物研究也发现[8],在大鼠的DEACMP模型中,DEACMP大鼠海马CA3区iNOS的AOD值以及蛋白表达在造模后第7、14、21、28天持续呈高表达,提示iNOS可能参与了DEACMP的发病过程。iNOS在中枢神经系统持续的高表达机制并不明确,可能与一氧化碳中毒后持续脑缺血缺氧时间、脑损害的严重程度等相关。目前已经有众多研究结果显示[2, 11],一氧化碳暴露时间、中毒后患者昏迷时间的长短等均与DEACMP的发生关系密切。本研究单因素分析结果也同样显示,DEACMP患者一氧化碳暴露中位时间较非DEACMP组患者高出3 h,入院时GCS评分较非DEACMP患者低5分,在病情严重程度上,重度中毒的患者DEACMP组比例更高,两组间的差异均具有统计学意义。以上结果也提示DEACMP组患者的中枢神经系统损伤更重,因而可能为iNOS后续持续高表达的原因之一。
本研究虽提示iNOS水平的增加与DEACMP的发生密切相关,但由于一氧化碳中毒后机体会出现广泛的缺血缺氧性损伤,可能会通过多种途径影响NO及NOS的释放,故而iNOS与DEACMP的相关性需更进一步的探讨及研究。同时,由于本研究样本量的限制,可能存在尚未控制的混杂因素,尚需大样本、多中心的前瞻性研究来进一步探讨NOS在DEACMP中的作用。
利益冲突:所有作者声明无利益冲突
作者贡献声明:吴嘉荔、杨立山:研究设计、实施研究;杨梦丽、冀晓静:试验标本检验、分析;李强、杨婉珍、刘聪、王高飞、马斌、胡小东:实施研究、数据收集;杨立山:对文章的知识内容做批评性审阅;吴嘉荔:统计分析、文章撰写
| [1] | 王玲, 张天, 许晓刚, 等. 272例非职业性急性一氧化碳中毒患者特征分析[J]. 中华灾害救援医学, 2021, 9(9) 1201-1205, 1226. DOI:10.13919/j.issn.2095-6274.2021.09.001 |
| [2] | Sarı Doğan F, Güneysel Ö, Gökdağ E, et al. Demographic characteristics and delayed neurological sequelae risk factors in carbon monoxide poisoning[J]. The American Journal of Emergency Medicine, 2020, 38(12): 2552-2556. DOI:10.1016/j.ajem.2019.12.037 |
| [3] | Kuroda H, Fujihara K, Kushimoto S, et al. Novel clinical grading of delayed neurologic sequelae after carbon monoxide poisoning and factors associated with outcome[J]. Neurotoxicology, 2015, 48: 35-43. DOI:10.1016/j.neuro.2015.03.002 |
| [4] | Förstermann U, Kleinert H. Nitric oxide synthase: Expression and expressional control of the three isoforms[J]. Naunyn Schmiedebergs Arch Pharmacol, 1995, 352(4): 351-364. DOI:10.1007/BF00172772 |
| [5] | Mohammadi MT, Shid-Moosavi SM, Dehghani GA. Contribution of nitric oxide synthase (NOS) in blood-brain barrier disruption during acute focal cerebral ischemia in normal rat[J]. Pathophysiology, 2012, 19(1): 13-20. DOI:10.1016/j.pathophys.2011.07.003 |
| [6] | Ono K, Suzuki H, Sawada M. Delayed neural damage is induced by iNOS-expressing microglia in a brain injury model[J]. Neurosci Lett, 2010, 473(2): 146-150. DOI:10.1016/j.neulet.2010.02.041 |
| [7] | 孙伟力, 王冀康, 李时光, 等. 急性一氧化碳中毒后迟发性脑病患者血清NO与NOS水平及其临床意义[J]. 中国神经精神疾病杂志, 2011, 37(9): 523-526. DOI:10.3969/j.issn.1002-0152.2011.09.004 |
| [8] | 胡小东, 杨平, 曹营, 等. iNOS、nNOS在急性一氧化碳中毒迟发脑病中的表达及其与神经元变性坏死的相关性研究[J]. 中华急诊医学杂志, 2020, 29(10): 1310-1317. DOI:10.3760/cma.j.issn.1671-0282.2020.10.009 |
| [9] | 张文武. 急诊内科学[M]. 4版. 北京: 人民卫生出版社, 2017: 390-394. |
| [10] | Saha BK, Burns SL. The story of nitric oxide, Sepsis and methylene blue: a comprehensive pathophysiologic review[J]. Am J Med Sci, 2020, 360(4): 329-337. DOI:10.1016/j.amjms.2020.06.007 |
| [11] | 中国医师协会神经内科医师分会脑与脊髓损害专业委员会. CO中毒迟发性脑病诊断与治疗中国专家共识[J]. 中国神经免疫学和神经病学杂志, 2021, 28(3): 173-179. DOI:10.3969/j.issn.1006-2963.2021.03.001 |
| [12] | Yin LJ, Gao SL, Li CK. Exogenous hydrogen sulfide alleviates surgery-induced neuroinflammatory cognitive impairment in adult mice by inhibiting NO signaling[J]. BMC Anesthesiol, 2020, 20(1): 12. DOI:10.1186/s12871-019-0927-z |
| [13] | Zakarya R, Sapkota A, Chan YL, et al. Nitroxides affect neurological deficits and lesion size induced by a rat model of traumatic brain injury[J]. Nitric Oxide, 2020, 97: 57-65. DOI:10.1016/j.niox.2020.02.001 |
| [14] | Guo DZ, Hu HJ, Pan SY. Oligodendrocyte dysfunction and regeneration failure: a novel hypothesis of delayed encephalopathy after carbon monoxide poisoning[J]. Med Hypotheses, 2020, 136: 109522. DOI:10.1016/j.mehy.2019.109522 |
| [15] | 李士玉, 郭向杰, 张玉柱, 等. 一氧化碳中毒患者血浆一氧化氮及氧自由基含量与病情的关系[J]. 中华急诊医学杂志, 2004, 13(7): 447-448. DOI:10.3760/j.issn.1671-0282.2004.07.005 |
| [16] | Tarasenko AS. Effect of nitric oxide donor SNAP on GABA release from rat brain nerve terminals[J]. Ukr Biochem J, 2016, 88(5): 82-89. DOI:10.15407/ubj88.05.082 |
| [17] | Zheng L, Ding JL, Wang JW, et al. Effects and mechanism of action of inducible nitric oxide synthase on apoptosis in a rat model of cerebral ischemia-reperfusion injury[J]. Anat Rec (Hoboken), 2016, 299(2): 246-255. DOI:10.1002/ar.23295 |
| [18] | Heneka MT, Feinstein DL. Expression and function of inducible nitric oxide synthase in neurons[J]. J Neuroimmunol, 2001, 114(1/2): 8-18. DOI:10.1016/s0165-5728(01)00246-6 |
| [19] | 刘鹏, 田文生. 一氧化碳中毒迟发性脑病发病机制的研究[J]. 内蒙古医学杂志, 2019, 51(9): 1043-1046. DOI:10.16096/J.cnki.nmgyxzz.2019.51.09.008 |
| [20] | Liu HT, Li J, Zhao FY, et al. Nitric oxide synthase in hypoxic or ischemic brain injury[J]. Rev Neurosci, 2015, 26(1): 105-117. DOI:10.1515/revneuro-2014-0041 |
| [21] | Zhu HY, Hong FF, Yang SL. The roles of nitric oxide synthase/ nitric oxide pathway in the pathology of vascular dementia and related therapeutic approaches[J]. Int J Mol Sci, 2021, 22(9): 4540. DOI:10.3390/ijms22094540 |
| [22] | Dubey H, Gulati K, Ray A. Alzheimer's disease: A contextual link with nitric oxide synthase[J]. Curr Mol Med, 2020, 20(7): 505-515. DOI:10.2174/1566524019666191129103117 |
| [23] | Wang XL, Fang C, Liu XX, et al. High serum levels of iNOS and MIP-1α are associated with post-stroke depression[J]. Neuropsychiatr Dis Treat, 2021, 17: 2481-2487. DOI:10.2147/NDT.S320072 |
| [24] | Ijomone OM, Aluko OM, Okoh COA, et al. Nω -nitro-L-arginine, a nitric oxide synthase inhibitor, attenuates nickel-induced neurotoxicity[J]. Drug Chem Toxicol, 2021: 1-10. DOI:10.1080/01480545.2021.1917382 |
2022, Vol. 31



