2 南京医科大学附属南京医院(南京市第一医院)急诊ICU 210000
脓毒症(sepsis)是机体对感染的反应失调导致的全身炎症反应综合征,是急诊科最常见的危重症之一,随着全球人口老龄化的进展,脓毒症患者中绝大部分是老年患者[1]。老年患者由于基础疾病多及身体功能衰退,常合并营养不良,长期的营养不良会破坏机体正常代谢,老年脓毒症患者更容易合并严重的器官功能损害[2],其病死率居高不下。因此,及时、准确地评估老年脓毒症患者的营养状况及器官功能损害情况至关重要。序贯器官衰竭评估评分(sequential organ failure assessment,SOFA)在急诊脓毒症的早期诊断及病情评估中发挥重要作用[3],但临床上对老年急诊患者的营养状况普遍关注不足,目前急诊缺乏简便、可靠的营养评估方法[4]。有研究表明,迷你营养评估简表(mini nutritional assessment short-form,MNA-SF)简便易行,能够快速有效地筛查老年患者的营养状况,尤其适用于急诊患者[5]。本研究探讨旨在MNA-SF联合SOFA评分对急诊老年脓毒症患者预后的判断价值。
1 资料与方法 1.1 一般资料选择2017年6月至2019年6月南京市第一医院急诊收治的老年脓毒症的患者90例作为研究对象,年龄65~97岁,(78.21±8.59)岁,男61例,女29例;根据住院28 d生存情况分为存活组48例和死亡组42例。纳入标准:①符合2016国际脓毒症与脓毒症休克指南3.0(简称脓毒症3.0)的标准,并按照指南进行治疗;②入组患者的临床资料完整,患者和家属签署知情同意书。排除标准:基础有严重消化系统疾病、肿瘤、重度肥胖以及患者或家属不配合治疗者。主要感染部位包括:肺部感染46例(51.11%),肠道感染22例(24.44%),胆系感染9例(10.00%),泌尿系统感染8例(8.89%)及其他部位感染5例(5.56%)。
本研究符合医学伦理学标准,已获得医院伦理委员会批准(批号:KY20190601-03)。
1.2 研究方法符合入组标准的患者,入急诊后即收集患者一般临床资料、监测生命体征,完善血常规、血气分析及生化全套等检查,进行MNA-SF(表 1)[6]和SOFA评分。追踪患者,统计其ICU住院时间、血管活性药物使用时间、呼吸机使用时间、抗生素使用时间、总住院时间及住院总费用。为避免入组的病情危重患者入院后短时间内死亡,以上时间相关指标数值较小,无法反映疾病严重程度,故采用与总住院时间的比值表示,比值越大,代表病情越危重。以住院28 d的生存情况作为临床观察终点,并据此分为死亡组和存活组。
| 指标 | 0分 | 1分 | 2分 | 3分 |
| 近3个月体质量丢失 | >3 kg | 不知道 | 1~3 kg | <3 kg |
| 体质量指数(kg/m2) | <19 | 19~21 | 21~23 | >23 |
| 急性疾病或应激 | 否 | 是 | - | - |
| 活动能力 | 卧床或坐轮椅 | 可以下床或轮椅,但不能外出 | 外出活动 | - |
| 精神疾病 | 严重痴呆抑郁 | 轻度痴呆 | 没有 | - |
| 近3个月食欲下降或进食困难 | 食量严重减退 | 食量轻度减退 | 食量无减少 | - |
| 小腿围 | <31 cm | - | - | ≥31 cm |
| 注:当不能取得体质量指数时,以小腿围代替;MNA-SF评分12~14为营养状况正常;8 ~11 分为有营养不良风险;0 ~7分为营养不良 | ||||
采用Graphpad prism 5.0、SPSS 19.0软件进行统计分析及绘图,计数资料以频数(百分率)表示,采用χ2检验;符合正态分布的计量资料以均数±标准差(Mean±SD)表示,两组间比较采用成组t检验;相关性分析采用非正态分布数据的Spearman相关性分析;MNA-SF、SOFA及联合评分对脓毒症患者死亡风险的预测采用二分类的Logistic回归分析,曲线下面积的比较采用正态性Z检验。以P < 0.05为差异有统计学意义。
2 结果 2.1 两组患者一般资料、感染部位及病原学结果比较根据住院28 d生存情况分为存活组48例和死亡组42例。存活组男性33例,女性15例,死亡组男性28例,女性14例,年龄为(77.98±4.93)岁和(78.24±5.70)岁, 两组间性别及年龄均差异无统计学意义(χ2=0.044,P=0.833;t=0.006,P=0.995)。死亡组的病原学培养阳性率高于存活组(P < 0.05),但两组的感染类型差异无统计学意义(P > 0.05),见表 2。
| 指标 | 存活组 (n=48) | 死亡组 (n=42) | 统计量 | P值 |
| 感染部位 | χ2=3.651 | 0.455 | ||
| 肺部感染 | 22 | 24 | ||
| 肠道感染 | 14 | 8 | ||
| 胆系感染 | 4 | 5 | ||
| 泌尿系感染 | 6 | 2 | ||
| 其他部位感染 | 2 | 3 | ||
| 病原学培养 | χ2=7.232 | 0.007 | ||
| 阳性 | 26 | 34 | ||
| 阴性 | 22 | 8 |
两组患者的前蛋白(prealbumin,PA)、白蛋白(albumin,ALB)、体质量指数(body mass index,BMI)相比差异无统计学意义(P > 0.05);死亡组的MNA-SF评分要显著低于存活组(P < 0.05),而SOFA评分则显著高于存活组(P < 0.05),见表 3。
| 组别 | 例数 | PA(g/L) | ALB(g/L) | BMI(kg/m2) | MNA-SF(分) | SOFA(分) |
| 存活组 | 48 | 121.20±8.95 | 28.59±0.76 | 22.13±0.72 | 8.54±0.48 | 11.33±0.80 |
| 死亡组 | 42 | 112.41±7.38 | 27.39±0.85 | 21.45±0.85 | 5.17±0.37 | 17.10±1.04 |
| t值 | 0.744 | 0.179 | 0.616 | 5.487 | 4.463 | |
| P值 | 0.459 | 0.858 | 0.539 | <0.01 | <0.01 | |
| 注:PA为前蛋白;ALB为白蛋白;BMI为体质量指数;MNA-SF为迷你营养评估简表;SOFA为序贯器官衰竭评分 | ||||||
对模型回归系数整体进行似然比检验,χ2=124.366(P < 0.01),提示MNA-SF和SOFA评分整体与住院28 d病死率之间存在线性关系;并对模型中单一回归系数进行Wald检验,提示MNA-SF和SOFA评分对住院28 d病死率的预测均有价值,见表 4。根据表 5中的Logistic回归分析参数与回归系数,构建联合评分系统:联合评分= -0.354+0.382×MNA-SF-0.156×SOFA。
| 变量 | B | S.E | Wald χ2 | P | Exp/B | 95%CI |
| MNA-SF | 0.382 | 0.116 | 10.900 | 0.001 | 1.466 | 1.168~1.839 |
| SOFA | -0.156 | 0.060 | 6.786 | 0.009 | 0.856 | 0.761~0.962 |
| 常数项 | -0.354 | 1.239 | 0.082 | 0.775 | 0.702 | — |
| 指标 | AUC | 约登指数 | 灵敏度(%) | 特异度(%) | 95% CI | 最佳临界值 |
| MNA-SF | 0.735 | 0.536 | 75.0 | 63.6 | 0.714~0.896 | 6.500 |
| SOFA | 0.779 | 0.473 | 64.4 | 77.9 | 0.768~0.924 | 10.451 |
| 联合评分 | 0.884 | 0.619 | 78.6 | 80.1 | 0.812~0.948 | 0.062 |
构建MNA-SF、SOFA及两者联合评分预测病死率的ROC曲线图,见图 1。MNA-SF的曲线下面积(AUC)为0.735(95%CI:0.714~0.896),SOFA评分的AUC为0.779(95%CI:0.768~0.924),联合评分的AUC为0.884(95%CI:0.812~0.948)。三项指标的AUC间比较采用Z检验(Z > Z0.05/2=1.96,则P < 0.05,差异有统计学意义):MNA-SF vs SOFA,Z=2.14 > 1.96,P < 0.05,差异有统计学意义;MNA-SF vs联合评分,Z=3.45 > 1.96,P < 0.05,差异有统计学意义;SOFA vs联合评分,Z =2.25 > 1.96,P < 0.05,差异有统计学意义;以约登指数最大为原则进行取值,MNA-SF的最佳诊断界值为6.5分(即7分),SOFA为10.45分(即10分),联合评分为0.06。综上,三种评分均有良好的预测价值,MNA-SF的灵敏度较好、特异度偏低,SOFA的特异度较好、灵敏度偏低,联合评分的预测价值及均衡性均较好。见表 5。
|
| 图 1 MNA-SF、SOFA及两者联合预测28 d病死率的ROC曲线图 |
|
|
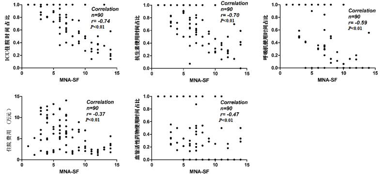
脓毒症患者ICU住院时间占比、血管活性药物使用时间占比、呼吸机使用时间占比、抗生素使用时间占比及住院总费用与MNA-SF均呈负相关,相关系数r分别为-0.74、-0.70、-0.59、-0.47、-0.37,均P < 0.01;而与SOFA评分呈正相关,相关系数r分别为0.68、0.77、0.59、0.65、0.55,均P < 0.01。见图 2~3。
|
| 图 2 MNA-SF评分与各预后指标的相关性分析 |
|
|
|
| 图 3 SOFA评分与各预后指标的相关性分析 |
|
|
目前我国的人口老龄化日趋严峻,2020年老年人口将达到2.48亿,2050年老龄化比例将超过30%。随着年龄增大,人体机能亦不断退化,老年人是心脑血管、内分泌、消化系统等慢性病的高发人群,有文献报道老年人在住院患者中的比例高达75%,给家庭及社会带来了严重的负担[7]。脓毒症是急诊常见的危重症之一,其发病率逐年升高,我国每年新发脓毒症患者约500万例,死亡人数将近100万,其中绝大部分是老年患者,脓毒症已经成为老年患者死亡最重要原因之一[8]。
脓毒症的发病机制十分复杂,目前认为机体对感染的失衡是脓毒症发病的基础,感染也一直被看作脓毒症的诱发和驱动因素[9]。宿主营养状况差、免疫力低下时,易导致机体“微生态失调”,一些正常菌群成为机会致病菌引起宿主感染。对于营养状况不佳的急诊老年脓毒症患者,免疫功能低下更易合并感染,导致脓毒症。绝大多数老年人的免疫防御是衰退、失衡的,其原因一方面由于老年人的免疫器官及组织功能逐渐衰退,例如老年期的胸腺会明显缩小,胸腺微环境也会发生改变,导致T细胞发育成熟障碍,严重影响机体的适应性免疫应答,使老年人更易于发生感染[10-12];另一方面老年人的代谢及营养障碍也是影响免疫功能重要因素[13-14]。氧化磷酸化是机体大部分细胞的主要能量来源,感染发生时免疫细胞需要大量的ATP和其他能量代谢中间产物来维持宿主防御期间的能量消耗,包括细胞的分化、活化和增殖[15-17]。而老年人因消化功能减弱导致营养成分吸收效率显著降低,另外合并有心脑血管、内分泌、消化、肾脏等系统的慢性基础疾病,更易发生营养不良事件。机体的长期营养不良会导致免疫系统新陈代谢障碍,严重影响免疫功能,免疫功能低下又增加了感染的风险,而感染又进一步加重营养不良,进入“营养不良-免疫功能低下-感染”的恶性循环中[18]。本研究也发现,死亡组的老年患者营养不良风险要显著高于存活组,且感染部位的病原学培养阳性率也显著高于存活组,这也意味着营养状不良的老年患者可能更容易出现感染失控。所以,老年人营养不良与脓毒症预后关系值得进一步探究。
尽管目前国内外对老年患者的营养管理逐渐重视,有许多营养评估工具可对老年患者进行评估,但这些评分标准大多指标复杂,临床操作耗时长,不适用于急诊快速筛查评估。MNA-SF是一种简便、快速的营养评估量表[19],由传统微型营养评价法(MNA)的基础上改进而成[6]。许多研究表明,与传统营养评价方法相比,MNA-SF在评价老年患者营养状况时更为简便[20],数据易采集,临床实施耗时仅需1~3 min[21],非常适用于急诊。本研究也发现,死亡组的MNA-SF评分显著低于存活组,而PA、ALB、BMI差异无统计学意义,同时ROC曲线也表明MNA-SF的AUC为0.735,提示MNA-SF能够很好地预测急诊老年脓毒症患者的死亡风险,但其特异度偏低(63.60%)。此外,MNA-SF与ICU住院时间、血管活性药物使用时间、呼吸机使用时间、抗生素使用时间、总住院时间及住院总费用有良好的相关性,MNA-SF越低,提示病情严重程度的指标越高。SOFA评分是由欧洲重症监护医学会(ESICM)于1994年建立的评估危重患者器官功能障碍严重程度的临床评分系统,2016年脓毒症与脓毒性休克治疗国际指南(Sepsis-3)制定的标准中,SOFA评分也成为诊断脓毒症的基础,对脓毒症患者器官损伤程度及预后均具有良好的预测价值[22]。本研究发现,死亡组的SOFA评分要显著高于存活组,提示营养状态差的老年患者更易出现严重的器官功能损伤;ROC曲线也表明SOFA评分AUC为0.779,对死亡风险也有良好的预测价值,但其灵敏度偏低(64.40%),同时与其他的预后相关指标也具有良好的正相关性。一般认为AUC达到0.9以上认为有较高的诊断价值,本研究的MNA-SF、SOFA评分的AUC分别为0.735和0.779,提示其单独诊断价值中等。如前所述,老年脓毒症患者的营养状态与器官功能损伤互为因果关系,单独进行营养状态评分或器官功能评分对预测此类患者的预后均具有一定的局限性。因此本研究构建了二分类Logistic回归模型及联合评分系统,其ROC曲线结果提示联合评分的AUC为0.884,显著高于单独评分系统,且其灵敏度和特异度较单独评分系统均有增加,均达到80%左右。鉴于脓毒症发病机制的复杂性及预后影响因素的多重性,单一系统的评分量表可能存在一定的局限性,联合评分可能具有更好的预测价值。
综上所述,老年人由于身体机能减退及慢性疾病的高发,使其长期处于一种营养不良状态,是导致其免疫功能低下的重要原因,也是老年脓毒症发病率及病死率均逐年上升的重要因素。早期、及时、有效地评估老年脓毒症患者的营养状态及器官功能损伤情况至关重要,MNA-SF联合SOFA评分可以准确快速地评估老年脓毒症患者的营养状态及器官功能损伤情况,有利于后续的脓毒症集束化治疗,值得在急诊临床进一步推广。
利益冲突 所有作者均声明不存在利益冲突
| [1] | Weng L, Zeng XY, Yin P, et al. Sepsis-related mortality in China: a descriptive analysis[J]. Intensive Care Med, 2018, 44(7): 1071-1080. DOI:10.1007/s00134-018-5203-z |
| [2] | Martín S, Pérez A, Aldecoa C. Sepsis and immunosenescence in the elderly patient: a review[J]. Front Med, 2017, 4: 20. DOI:10.3389/fmed.2017.00020 |
| [3] | 张清, 李春盛. 急诊脓毒症严重程度各标记物的比较[J]. 中华急诊医学杂志, 2019, 28(2): 163-169. DOI:10.3760/cma.j.issn.1671-0282.2019.02.007 |
| [4] | Pong JZ, Fook-Chong S, Koh ZX, et al. Combining heart rate variability with disease severity score variables for mortality risk stratification in septic patients presenting at the emergency department[J]. Int J Environ Res Public Health, 2019, 16(10): 1725. DOI:10.3390/ijerph16101725 |
| [5] | Becker L, Volkert D, Christian Sieber C, et al. Predictability of a modified Mini- Nutritional- Assessment version on six-month and one-year mortality in hospitalized geriatric patients: a comparative analysis[J]. Sci Rep, 2019, 9: 9064. DOI:10.1038/s41598-019-45452-0 |
| [6] | Koren-Hakim T, Weiss A, Hershkovitz A, et al. Comparing the adequacy of the MNA-SF, NRS-2002 and MUST nutritional tools in assessing malnutrition in hip fracture operated elderly patients[J]. Clin Nutr, 2017, 36(3): 912. DOI:10.1016/j.clnu.2017.01.018 |
| [7] | 陈海光, 杨清萍, 杨爱红. 老年慢性病住院患者调查分析[J]. 中国卫生统计, 2007, 24(1): 99-100. DOI:10.3969/j.issn.1002-3674.2007.01.043 |
| [8] | 江伟, 杜斌. 中国脓毒症流行病学现状[J]. 医学研究生学报, 2019, 32(1): 5-8. DOI:10.16571/j.cnki.1008-8199.2019.01.002 |
| [9] | Rello J, Valenzuela-Sánchez F, Ruiz-Rodriguez M, et al. Sepsis: a review of advances in management[J]. Adv Ther, 2017, 34(11): 2393-2411. DOI:10.1007/s12325-017-0622-8 |
| [10] | Yaqoob P. Ageing alters the impact of nutrition on immune function[J]. Proc Nutr Soc, 2017, 76(3): 347-351. DOI:10.1017/s0029665116000781 |
| [11] | Pritz T, Weinberger B, Grubeck-Loebenstein B. The aging bone marrow and its impact on immune responses in old age[J]. Immunol Lett, 2014, 162(1 Pt B): 310-315. DOI:10.1016/j.imlet.2014.06.016 |
| [12] | 潘东峰, 李富荣, 梁诗颂, 等. 淋巴细胞亚群联合检测对脓毒症患者不良预后的评估价值[J]. 中华急诊医学杂志, 2015, 24(5): 524-529. DOI:10.3760/cma.j.issn.1671-0282.2015.05.018 |
| [13] | Fitzpatrick F, Skally M, O'Hanlon C, et al. Food for thought. Malnutrition risk associated with increased risk of healthcare-associated infection[J]. J Hosp Infect, 2019, 101(3): 300-304. DOI:10.1016/j.jhin.2018.12.012 |
| [14] | Gu A, Malahias MA, Strigelli V, et al. Preoperative malnutrition negatively correlates with postoperative wound complications and infection after total joint arthroplasty: a systematic review and meta-analysis[J]. J Arthroplast, 2019, 34(5): 1013-1024. DOI:10.1016/j.arth.2019.01.005 |
| [15] | Kedia-Mehta N, Finlay DK. Competition for nutrients and its role in controlling immune responses[J]. Nat Commun, 2019, 10(1): 2123. DOI:10.1038/s41467-019-10015-4 |
| [16] | Caputa G, Castoldi A, Pearce EJ. Metabolic adaptations of tissue-resident immune cells[J]. Nat Immunol, 2019, 20(7): 793-801. DOI:10.1038/s41590-019-0407-0 |
| [17] | 马帅, 郭树彬. 脓毒症免疫麻痹与细胞免疫调理治疗研究进展[J]. 中华急诊医学杂志, 2016, 25(7): 969-973. DOI:10.3760/cma.j.issn.1671-0282.2016.07.027 |
| [18] | Weyand CM, Goronzy JJ. Aging of the immune system. mechanisms and therapeutic targets[J]. Ann Am Thorac Soc, 2016, 13(Suppl 5): S422-S428. DOI:10.1513/annalsats.201602-095aw |
| [19] | Kizilarslanoglu MC, Kilic MK, Gokce D, et al. Is it possible using handgrip strength instead of body mass index in MNA-SF test to assess the nutritional status of geriatric patients?[J]. J Nutr Health Aging, 2017, 21(5): 579-584. DOI:10.1007/s12603-016-0744-8 |
| [20] | 曲正, 张华明, 郭享, 等. 修订版微型营养评价简表在内科老年住院病人中的应用评价[J]. 肠外与肠内营养, 2018(1): 20-23. DOI:10.16151/j.1007-810x.2018.01.007 |
| [21] | Montejano Lozoya R, Martínez-Alzamora N, Clemente Marín G, et al. Predictive ability of the Mini Nutritional Assessment Short Form (MNA-SF) in a free-living elderly population: a cross-sectional study[J]. Peer J, 2017, 5: e3345. DOI:10.7717/peerj.3345 |
| [22] | 中国医疗保健国际交流促进会急诊医学分会, 中华医学会急诊医学分会, 中国医师协会急诊医师分会, 等. 中国脓毒症早期预防与阻断急诊专家共识[J]. 中华急诊医学杂志, 2020, 29(7): 885-895. DOI:10.3760/cma.j.issn.1671-0282.2020.07.001 |
2020, Vol. 29



