2 北京协和医院急诊科 100730;
3 郑州大学基础医学院病理生理教研室 450051
2 Emergency Department, Chinese Academy of Medical Sciences, Peking Union Medical College Hospital, 100730, China;
3 Department of Pathophysiology, School of Basic Medical Sciences, Zhengzhou University, Zhengzhou 450001, China Corresponding author: Yuan Ding, Email: yuanding198879@163.com
急性百草枯(paraquat,PQ)中毒病死率高(> 50%)[1-3],患者常死于以急性呼吸衰竭[4]、急性肾功能衰竭[5]、急性肝功能衰竭[6]等为主要表现的多器官功能障碍综合征(multiple organ dysfunction syndrome, MODS)[7-9]。目前,关于急性PQ中毒的研究多聚焦于单个脏器的损伤及治疗[4-6],关于PQ中毒时各脏器出现损伤的时间、发生率、先后次序等的临床研究相对较少,仅史晶等[8]的研究观察到PQ中毒死亡组患者急性肺损伤和MODS出现的时间明显早于存活组。崔文华等[9]研究发现PQ中毒损伤的主要脏器是肾和肝,病死率随并发症数目增加而增高。既往鲜有研究系统分析PQ中毒后重要脏器损伤出发时间、发生率及动态演变。因此,本研究通过观察急性PQ中毒患者不同时间点各脏器损伤的标志物水平,分析各个脏器损伤的发生时间、发生率、先后顺序及动态变化,进一步加深对PQ中毒导致多脏器损伤的认识,以期在PQ中毒不同阶段加强对重要脏器损伤情况的关注和监测。
1 资料与方法 1.1 一般资料选取2013年7月至2014年8月期间郑州大学第一附属医院急诊科救治的急性PQ中毒病例。按以下纳入和排除标准进行筛选。
入选标准:⑴经口服PQ中毒者;⑵服毒24 h内来诊者;⑶尿PQ浓度 > 0.2 μg/mL[正常参考值为(0~0.2)μg/mL][10];同时满足以上3项者方能入选。
排除标准:⑴同时口服其他毒物者;⑵孕产妇;⑶院前曾心搏骤停者;⑷合并心脏、肝脏、肾脏、脑和呼吸系统原发性疾病者;⑸不同意进行本试验相关指标检测者。符合以上任一条均需排除。
所有患者均按照《急性百草枯中毒诊治专家共识(2013)》[11]进行救治。依据中毒后28 d的生存情况,将纳入患者分为生存组和死亡组[12]。本研究经郑州大学第一附属医院医学伦理委员会批准(批号: ZY20130629)。所有入选患者均签署知情同意书。
1.2 方法于来院后第1、3、5、7天抽血化验相关指标,包括:白细胞计数(WBC)、中性粒细胞百分比(N%)及淋巴细胞百分比(L%);氧分压(PaO2)、动脉血乳酸(Lac);脂肪酶(lipase)、淀粉酶(amylase);谷草转氨酶(AST)、谷丙转氨酶(ALT)、谷氨酰胺转肽酶(GGT)、总胆红素(TBIL)、结合胆红素等(DBIL);血尿素氮(BUN)、肌酐(Cr);肌酸激酶(CK)、肌酸激酶同工酶(CK-MB)。
急性肺损伤(ALI)/急性呼吸窘迫综合征(ARDS)符合中华医学会呼吸病学分会诊断标准[13];以出现口腔烧灼感,口腔、食管黏膜糜烂溃疡,恶心,呕吐,腹痛,腹泻,甚至呕血、便血、胃穿孔等症状为中毒性消化道损伤的标志[11];以胰腺功能、肝功能、肾功能及心肌酶异常增高作为中毒性胰腺、肝、肾、心肌损害的指标;记录出现中毒性损害具体脏器及出现时间。
1.3 统计学方法采用SPSS 21.0统计软件处理。符合正态分布的计量资料采用均数±标准差(Mean±SD)描述,不符合正态分布的计量资料采用中位数(四分位数)[M(QL,QU)]描述;生存组与死亡组各指标随时间的动态变化采用重复测量方差分析,某一时间点两组间比较采用成组t检验,某一分组不同时间点间两两比较采用Bonferroni post hoc test检验。计数资料采用频数(百分率)描述,组间比较采用χ2检验。以P < 0.05为差异有统计学意义。
2 结果 2.1 患者一般资料特征研究期间共收治急性PQ中毒患者258例,经纳入排除标准筛选,最终纳入患者177例,其中男性100例,女性77例,年龄29(22, 43)岁,服毒量40(20, 80)mL;生存组110例,死亡组67例,死亡组年龄大于生存组,差异有统计学意义(Z=6.225, P=0.019),死亡组服毒量大于生存组,差异有统计学意义(F=44.472, P < 0.01),见表 1。
| 指标 | 总纳入患者(n=177) | 生存组(n=110) | 死亡组(n=67) | F/χ2值 | P值 |
| 男性(例,%) | 100(56.5) | 59(53.6) | 41(61.2) | 0.968 | 0.352 |
| 年龄(岁)a | 29(22, 43) | 27(19, 43) | 33(26, 43) | 6.225 | 0.019 |
| 服毒量(mL)a | 40(20, 80) | 20(10, 40) | 80(40, 108) | 44.472 | < 0.01 |
| 注:a为M(QL, QU) | |||||
各脏器损伤发生率从高到低依次为:消化道(99.4%)、胰腺(43.5%)、肺(38.4%)、肝(35.6%)、肾(29.4%)、心脏(20.3%);初发时间从早到晚依次为:胰腺(2.2±1.8)d、消化道(2.9±0.4)d、肝(3.4±2.1)d、心脏(5.3±1.3)d、肾脏(6.1±2.3)d、肺(6.9±1.4)d,见表 2。
| 脏器 | 损伤例数 | 损伤发生率(%) | 初发时间(d) |
| 消化道 | 176 | 99.4 | 2.9±0.4 |
| 胰腺 | 77 | 43.5 | 2.2±1.8 |
| 肺 | 68 | 38.4 | 6.9±1.4 |
| 肝 | 63 | 35.6 | 3.4±2.1 |
| 肾 | 52 | 29.4 | 6.1±2.3 |
| 心脏 | 36 | 20.3 | 5.3±1.3 |
按生存情况将患者分为生存组和死亡组,两组间消化道损伤的发生率差异无统计学意义[66(98.5%)vs 110(100%),P=0.379];死亡组肺、胰腺、肝、肾、心脏受损发生率明显高于生存组,差异均有统计学意义(P < 0.01),见表 3。
| 脏器 | 损伤发生率 | χ2值 | P值 | |
| 生存组(n=110) | 死亡组(n=67) | |||
| 消化道 | 110(100.0) | 66(98.5) | 1.651 | 0.379 |
| 肺 | 2(1.8) | 66(98.5) | 164.536 | < 0.01 |
| 胰腺 | 18(16.4) | 59(88.1) | 87.084 | < 0.01 |
| 肝 | 19(17.2) | 44(65.7) | 42.547 | < 0.01 |
| 肾 | 18(16.4) | 34(50.7) | 23.725 | < 0.01 |
| 心脏 | 9(8.2) | 27(40.3) | 26.508 | < 0.01 |
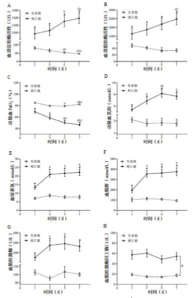
胰腺损伤指标:血淀粉酶、脂肪酶水平随时间推移,在死亡组逐渐升高(淀粉酶从第5天起差异有统计学意义,脂肪酶第7天较第1、3天差异有统计学意义,P < 0.05);在生存组逐渐下降(淀粉酶自第5天后差异较前有统计学意义,脂肪酶第5天较第1天差异有统计学意义,P < 0.05)。两组间从中毒后第1天起差异均有统计学意义(P < 0.01),见图 1A~B。
|
| 与第1天比较,aP < 0.05;与第3天比较,bP < 0.05;与第5天比较,cP < 0.05;与生存组对应时间点比较,*P < 0.05;分组因素对指标影响具有统计学意义,#P < 0.05 图 1 生存组与死亡组胰肺肾心指标随时间变化情况 Fig 1 Changes of indexes of pancreas, lung, kidney and heart with time in the survival group and the death group |
|
|
动脉血气指标:如图 1C~D所示,动脉血PaO2水平随时间推移,死亡组与生存组均逐渐下降;生存组下降幅度较缓,第5天和第7天较前差异有统计学意义(P < 0.05);死亡组下降幅度较大,自第3天起差异较前有统计学意义(P < 0.05);自中毒后第1天起,死亡组动脉血PaO2即低于生存组,差异均有统计学意义(P < 0.01),且随时间推移,两组间差值逐渐增大(第1天:15.76%,95%CI:9.61%~21.91%;第3天:21.41%,95%CI:15.22%~27.60%;第5天:29.39%,95%CI:23.95%~34.83%;第7天:36.08%,95%CI:32.16%~39.99%)。Lac水平随时间推移,死亡组逐渐升高,生存组缓慢下降(两组均自第3天起差异较前有统计学意义,P < 0.05);且自第1天起,死亡组Lac均高于生存组,差异均有统计学意义(P < 0.01)。
肾脏损伤指标:血BUN与Cr水平随时间推移,生存组无明显变化(PBUN=0.325,PCr=0.490);死亡组自第3天起均较第1天明显升高(P < 0.01),自第3天到达平台期后,至第7天均无明显波动(P > 0.05)。死亡组的血BUN和Cr水平自第1天至第7天均高于生存组,差异有统计学意义(P < 0.01),见图 1E~F。
心脏损伤指标:如图 1G所示,生存组血CK水平随时间无明显波动(F=1.140,P=0.314),死亡组第3、5天均较第1天有升高(Pd3=0.029,Pd5=0.049);且自第1天至第7天,死亡组血CK水平均高于生存组(P < 0.01)。两组的CK-MB水平随时间推移并无明显波动,但死亡组整体水平均高于生存组,差异有统计学意义(F=25.578,P < 0.01),见图 1H。
两组的白细胞计数与淋巴细胞百分比均未随时间而变化;死亡组WBC整体高于生存组(F=99.732,P < 0.01),L%整体低于生存组(F=77.237,P < 0.01)。而N%在生存组随时间缓慢下降,自第5天起较前差异有统计学意义(P < 0.05);死亡组随时间变化无明显波动(F=0.422,P=0.726),但在各个时间点均高于生存组(P < 0.01),见图 2A~C。
|
| 与第1天比较,aP < 0.05;与第3天比较,bP < 0.05;与第5天比较,cP < 0.05;与生存组对应时间点比较,*P < 0.05;分组因素对指标影响具有统计学意义,#P < 0.05 图 2 生存组与死亡组白细胞及肝脏指标随时间变化情况 Fig 2 Changes of white blood cell and liver index with time in the survival group and the death group |
|
|
肝脏损伤指标:如图 2D所示,生存组血GGT水平随时间无明显波动(F=1.893,P=0.162),死亡组GGT水平随时间推移有升高趋势,于第5天较第1天差异有统计学意义(P=0.006)。自第1天起,死亡组GGT水平均高于生存组,差异均有统计学意义(P < 0.05)。如图 2E所示,两组的血ALT水平均未随时间而变化(F=0.568,P=0.567),但死亡组各时间点整体水平均高于生存组,差异有统计学意义(F=28.991,P < 0.01)。如图 2F所示,生存组AST水平随时间缓慢升高,死亡组于第3天略有下降后逐渐升高,两组均于第7天较前差异有统计学意义(P < 0.01);死亡组AST水平于各个时间点均高于生存组(P < 0.05)。如图 2G~H所示,生存组TBIL与DBIL水平随时间有小范围波动,死亡组TBIL与DBIL水平均随时间逐渐升高,且在各时间点均高于生存组(P < 0.01)。
3 讨论既往关于PQ中毒多脏器损伤的研究多是关于某些药物对肾或肺的保护[14-16],或是针对某一个脏器或某两个脏器的研究,关注PQ中毒后全身脏器损伤情况的研究较少。史晶等[8]探讨了急性PQ中毒致MODS的临床特点,在观察时间内,肺损伤发生率高于心、肝、肾等脏器,心肌、肝、肾损害较肺损伤出现早,该结果与本研究发现一致,但该研究缺少对胰腺损伤的观察。崔文华等[9]分析了502例PQ中毒患者并发症的特点,发现肾脏损害发生率最高,其次为肝脏,胰腺损伤发生时间要早于其他脏器。陆路等[17]研究显示死亡组入院第l、3、7天淀粉酶和脂肪酶均明显高于生存组,差异有统计学意义(P < 0.01),提示PQ中毒早期可引起胰腺损伤,且损伤程度和中毒剂量有关。王蕊和钱远宇[18]报道了1例PQ中毒病例,血淀粉酶和脂肪酶从服毒后数小时便开始明显升高,并持续上升,相继出现呼吸、肾脏、肝脏、心脏等多器官功能衰竭,最终死亡。上述两项研究也提示PQ中毒后胰腺损伤要早于其他脏器,与本研究结果一致。PQ中毒后PQ可分布在多个脏器,有研究发现口服PQ中毒后各脏器组织中PQ浓度由高到低为:胃、肠、肺、肾、肝、脾、肌肉、脑、心[19],这与上述研究中肺、肝、肾损伤更为严重这一现象相符。肾脏是代谢排出PQ的主要脏器,肝是人体最重要的解毒器官,随着PQ在肝脏、肾脏内的积聚,也会加重对肝肾的损伤,口服PQ中毒后,PQ也可直接通过消化道对胰腺造成损伤,最终可能导致全身炎症反应,加重多脏器损伤。在PQ中毒诊疗过程中,除了关注肺、肾等重要脏器的损伤,也需要关注整体的受损情况,在中毒不同阶段加强各脏器损伤的检测。
本研究发现,PQ中毒死亡组脏器损伤的发生率高于生存组。史晶等[8]研究显示病死组发生MODS器官数超过3个的比例高于存活组,病死组发生急性呼吸窘迫综合征、急性肾功能衰竭、中毒性肝炎和中毒性心肌炎的比例高于存活组,这与本研究发现一致。死亡组年龄和服毒剂量高于生存组,提示年龄、服毒剂量可能是导致PQ中毒后多脏器损伤的重要因素之一。崔文华等[9]研究也发现PQ中毒患者死亡组肝脏、肾脏、心脏、胰腺的损伤比例高于存活组。
本组患者中,死亡组PaO2和L%低于生存组,其余检测指标均高于生存组。Yang等[20]的研究显示死亡组WBC、BUN、Cr、PaO2、ALT、AST、淀粉酶水平高于存活组,且两组间差异有统计学意义,与本研究结果一致,但该研究未对脏器损伤发生率进行分析和连续性观察。本研究死亡组年龄和服毒量高于存活组,也提示了年龄和服毒量对PQ导致MODS有一定影响。本研究发现淀粉酶和脂肪酶水平在死亡组中随时间推移逐渐上升,在生存组中逐渐下降,淀粉酶、脂肪酶或对PQ中毒预后有一定预测作用。陆路等[17]的研究提示淀粉酶和脂肪酶是判断病情严重程度和预后的可靠指标;Yang等[20]的研究发现,淀粉酶升高是患者预后相关的独立危险因素,死亡组与生存组差异有统计学意义。本研究中PaO2在死亡组和生存组中随时间推移均呈逐渐下降,提示PQ中毒后,患者均发生不同程度的肺损伤。肺损伤是PQ中毒导致死亡的主要原因,预防肺纤维化也是现在治疗PQ中毒的主要手段之一[8]。本研究中死亡组的BUN、Cr、GGT、TBIL、DBIL随时间逐渐上升,生存组中无明显变化或仅有小范围波动,考虑死亡组中大量PQ积聚于肾脏,导致肾损伤逐渐加重,死亡组患者年龄大于生存组可能导致代偿功能稍弱,进一步加重肾脏损伤。肝是人体内最大的解毒器官,死亡组摄入大量PQ,肝受损后TBIL、DBIL增高明显大于生存组。本研究观察了PQ患者各脏器损伤出现的时间和发生率,并连续对比了PQ中毒后一周内各脏器的损伤情况,发现死亡组脏器损伤程度比生存组严重,且随时间推移,死亡组各脏器损伤指标均有加重的趋势。原因可能是:其一,PQ中毒死亡组患者年龄大于生存组,个体代偿能力较生存组弱;其二,死亡组患者服毒剂量更高,体内的炎症反应水平高于生存组,导致多脏器损伤程度更加严重。
本研究存在以下不足:首先,为单中心研究,结论的适用性有一定的限制;其次,纳入患者数较少,仍需进一步扩大样本量。之后将进一步扩大样本量,进行多中心的研究,通过跨地域验证和时间验证进一步完善研究结果。
综上所述,急性PQ中毒患者按器官受损的发生率由高到低依次为:消化道、胰腺、肺、肝、肾、心脏;平均初发时间从早到晚依次为:胰腺、消化道、肝、心脏、肾脏、肺。急性PQ中毒死亡组脏器受损发生率比生存组高,受损程度较生存组更为严重,且呈逐渐恶化趋势。提示临床医生在急性PQ中毒救治过程中,要加强对重要脏器损伤情况的监测及保护,减少或避免MODS的发生和发展。
利益冲突 所有作者均声明不存在利益冲突
| [1] | Gawarammana IB, Buckley NA. Medical management of paraquat ingestion[J]. Br J Clin Pharmacol, 2011, 72(5): 745-757. DOI:10.1111/j.1365-2125.2011.04026.x |
| [2] | Dinis-Oliveira RJ, Duarte JA, Sánchez-Navarro A, et al. Paraquat poisonings: mechanisms of lung toxicity, clinical features, and treatment[J]. Crit Rev Toxicol, 2008, 38(1): 13-71. DOI:10.1080/10408440701669959 |
| [3] | Zhao Y, Song YQ, Gao J, et al. Monocytes as an early predictor for patients with acute paraquat poisoning: a retrospective analysis[J]. Biomed Res Int, 2019, 2019: 1-7. DOI:10.1155/2019/6360459 |
| [4] | Khazraei S, Marashi SM, Sanaei-Zadeh H. Ventilator settings and outcome of respiratory failure in paraquat-induced pulmonary injury[J]. Sci Rep, 2019, 9: 16541. DOI:10.1038/s41598-019-52939-3 |
| [5] | Sun L, Yan PB, Zhang Y, et al. Effect of activated charcoal hemoperfusion on renal function in patients with paraquat poisoning[J]. Exp Ther Med, 2018, 15(3): 2688-2692. DOI:10.3892/etm.2018.5712 |
| [6] | Shadnia S, Ebadollahi-Natanzi A, Ahmadzadeh S, et al. Delayed death following paraquat poisoning: three case reports and a literature review[J]. Toxicol Res, 2018, 7(5): 745-753. DOI:10.1039/c8tx00120k |
| [7] | 蒋敏, 王军, 顾双双, 等. 老年与中青年急性重症中毒患者的临床特征及预后分析[J]. 中华危重病急救医学, 2018, 30(8): 790-794. DOI:10.3760/cma.j.issn.2095-4352.2018.08.015 |
| [8] | 史晶, 高渝峰, 黄澎, 等. 急性百草枯中毒致多器官功能障碍综合征的临床分析[J]. 中华劳动卫生职业病杂志, 2011, 29(7): 519-521. DOI:10.3760/cma.j.issn.1001-9391.2011.07.010 |
| [9] | 崔文华, 张晓然, 孙成文, 等. 502例急性百草枯中毒后并发症发生情况分析[J]. 中国医刊, 2013, 48(4): 64-66. DOI:10.3969/j.issn.1008-1070.2013.04.027 |
| [10] | Berry DJ, Grove J. The determination of paraquat (1, 1'-dimethyl-4, 4'-bipyridylium cation) in urine[J]. Clin Chimica Acta, 1971, 34(1): 5-11. DOI:10.1016/0009-8981(71)90060-x |
| [11] | 中国医师协会急诊医师分会. 急性百草枯中毒诊治专家共识(2013)[J]. 中国急救医学, 2013, 33(6): 484-489. DOI:10.3969/j.issn.1002-1949.2013.6.002 |
| [12] | Li Y, Wang M, Gao YX, et al. Abnormal pancreatic enzymes and their prognostic role after acute paraquat poisoning[J]. Sci Rep, 2015, 5: 17299. DOI:10.1038/srep17299 |
| [13] | 中华医学会重症医学分会. 急性肺损伤/急性呼吸窘迫综合征诊断和治疗指南(2006)[J]. 中华急诊医学杂志, 2007, 16(4): 343-349. DOI:10.3760/j.issn.1671-0282.2007.04.002 |
| [14] | Xu JJ, Zhen JT, Tang L, et al. Intravenous injection of Xuebijing attenuates acute kidney injury in rats with paraquat intoxication[J]. World J Emerg Med, 2017, 8(1): 61-64. DOI:10.5847/wjem.j.1920-8642.2017.01.011 |
| [15] | Meng XX, Wang RL, Gao S, et al. Effect of ulinastatin on paraquat-induced-oxidative stress in human type Ⅱ alveolar epithelial cells[J]. World J Emerg Med, 2013, 4(2): 133-137. DOI:10.5847/wjem.j.1920-8642.2013.02.009 |
| [16] | Zhang ZJ, Peng LB, Luo YJ, et al. Prospective experimental studies on the renal protective effect of ulinastatin after paraquat poisoning[J]. World J Emerg Med, 2012, 3(4): 299-304. DOI:10.5847/wjem.j.1920-8642.2012.04.011 |
| [17] | 陆路, 刘移民, 陈育全, 等. 急性百草枯中毒患者血清中淀粉酶和脂肪酶检测的临床意义[J]. 中华劳动卫生职业病杂志, 2015, 33(6): 471-472. DOI:10.3760/cma.j.issn.1001-9391.2015.06.022 |
| [18] | 王蕊, 钱远宇. 口服百草枯致伴随胰腺严重损伤的多脏器功能衰竭1例[J]. 中国药物应用与监测, 2005, 2(1): 37-38. DOI:10.3969/j.issn.1672-8157.2005.01.018 |
| [19] | 王朝虹, 王志萍, 杨志立, 等. HPLC法测定百草枯急性中毒大鼠的体内分布[J]. 中国法医学杂志, 2009, 24(4): 267-269. DOI:10.3969/j.issn.1001-5728.2009.04.015 |
| [20] | Yang JO, Gil HW, Kang MS, et al. Serum total antioxidant statuses of survivors and nonsurvivors after acute paraquat poisoning[J]. Clin Toxicol, 2009, 47(3): 226-229. DOI:10.1080/15563650802269901 |
2020, Vol. 29



