2 浙江省宁波市第一医院外科ICU, 315010 宁波
血压昼夜节律受机体生物钟系统调控,既往研究显示血压昼夜节律异常与多种心血管疾病和代谢性疾病的风险升高有关[1]。脓毒症是机体对感染的异常反应,导致危及生命的器官功能障碍[2]。脓毒症血流动力学变化一直是临床关注重点,有研究报道脓毒症患者首个5 min收缩压对于28 d ICU病死率的预测价值[3],但平均动脉压(mean arterial pressure, MAP)昼夜波动与脓毒症患者预后的关系尚未见报道。褪黑素是人体质量要的神经内分泌激素,机体生物钟的内源性同步因子,也具有抗炎作用[4]。本研究对宁波市第一医院外科ICU收治的脓毒症患者进行回顾性队列研究,并进一步进行前瞻性研究验证相关结论,探讨MAP昼夜波动对脓毒症患者病死率的影响及褪黑素的作用。
1 资料与方法 1.1 一般资料本研究经医院伦理委员会批准(批件号:2018-R036),并签署知情同意书。选择2016年7月至2019年7月宁波市第一医院外科ICU收治的394例脓毒症患者。纳入标准:符合脓毒症3.0诊断标准[5]的患者。排除标准:①年龄<18岁;②入ICU即出现任何原因所致的休克患者;③多次入住ICU;④ICU入住时间不足1 d;⑤无日间或夜间MAP记录。采用前瞻性观察性研究方法,选择2019年8月至2019年12月宁波市第一医院外科ICU的脓毒症患者75例,根据以上相同标准进行纳入和排除,并收集相关临床资料。
1.2 研究方法 1.2.1 回顾性队列研究方法两组患者均按指南接受治疗,血压采用床旁监护仪持续监测MAP。将上午7点至晚上11点测量的MAP平均值定义为平均日间MAP,将晚上11点至次日上午7点测量的MAP平均值定义为平均夜间MAP。计算入ICU后72 h内的MAP波动,计算公式如下:(平均夜间MAP-平均日间MAP)/平均MAP(所有MAP值/MAP检查次数)。根据MAP波动大小将患者分为低波动组(L组,波动-5%~5%)和高波动组(H组,波动 < -5%和 > 5%)[6]。主要研究终点是28 d病死率,次要终点是机械通气时间和ICU停留时间。
1.2.2 前瞻性监测两组患者血清褪黑素实施方法选择2019年8月至2019年12月宁波市第一医院外科ICU的脓毒症患者75例,患者入住ICU 72 h内,在每天的2:00,6:00,10:00,14:00,18:00,22:00从留置动脉导管中取外周血10 mL离心后获得血清,采用酶联免疫吸附法检测血清褪黑素。
1.3 统计学方法采用SPSS20.0软件进行统计学方法,计量资料以均数±标准差(Mean±SD)表示,使用student t检验进行比较;计数资料以百分比表示,使用χ2检验进行比较;危险因素分析采用logistic回归。以P < 0.05为差异有统计学意义。
2 结果 2.1 回顾性研究病例一般资料回顾性研究共纳入患者394例,其中男性243例,占61.7%,女性151例,占38.3%,年龄23~99岁,(66.78±17.51)岁。脓毒症的最常见原发病为急性重症胰腺炎、创伤和消化道穿孔,占68.0%(268/394),呼吸和循环系统是最常见的受累器官系统,占59.9%(236/394)。根据MAP昼夜波动大小将患者分为L组(203例,占51.5%)和H组(191例,占48.5%),比较两组患者在入组时的基本资料(性别、年龄、MAP及主要诊断),差异均无统计学意义(P > 0.05)。与H组比较,L组SOFA和APACHEⅡ评分更高,且L组急性呼衰、急性心衰、急性肾衰及凝血功能障碍的患病率更高,差异有统计学意义(P < 0.05)(表 1)。
| 指标 | L组 (n=203) |
H组 (n=191) |
t/χ2值 | P值 |
| 男性(例, %) | 122(60.1) | 121(63.4) | 0.440 | 0.507 |
| 年龄(岁) | 65.57±16.99 | 68.07±18.00 | -1.416 | 0.158 |
| 主要诊断 | ||||
| 急性重症胰腺炎 | 52(25.6) | 40(20.9) | 1.201 | 0.273 |
| 消化道穿孔 | 37(18.2) | 45(23.6) | 1.699 | 0.192 |
| 消化道梗阻 | 25(12.3) | 21(11.0) | 0.166 | 0.683 |
| 肝胆系统感染 | 25(12.3) | 24(12.6) | 0.006 | 0.940 |
| 创伤 | 52(25.6) | 42(22.0) | 0.712 | 0.399 |
| 重症肺炎 | 12(5.9) | 19(9.9) | 2.212 | 0.137 |
| SOFA(分) | 6.70±2.72 | 4.99±1.97 | 7.173 | < 0.001 |
| APACHE lI(分) | 22.78±9.57 | 16.96±7.37 | 6.781 | < 0.001 |
| MAP(mmHg) | 79.27±8.06 | 80.53±8.81 | -1.485 | 0.138 |
| 急性功能不全的器官系统 | ||||
| 呼吸系统(例, %) | 84(41.4) | 56(29.3) | 6.248 | 0.012 |
| 循环系统(例, %) | 59(29.1) | 37(19.4) | 5.016 | 0.025 |
| 泌尿系统(例, %) | 27(13.3) | 11(6.3) | 5.434 | 0.020 |
| 血液系统(例, %) | 31(15.3) | 14(7.3) | 6.134 | 0.013 |
| 中枢神经系统(例, %) | 10(4.9) | 6(3.1) | 0.805 | 0.370 |
| 血管升压药使用(d) | 15.30±6.15 | 16.41±6.71 | -1.717 | 0.087 |
| 补液量(mL/d) | 5032 ± 2214 | 4641 ±2650 | 1.592 | 0.112 |
与H组比较,L组患者的28 d病死率更高,差异有统计学意义(30.0% vs13.1%,P < 0.001)。(表 2)。通过Logistic回归分析MAP波动与28 d病死率的关系,调整回归分析模型中一系列协变量如年龄、性别、平均全天MAP、主要并发症、升压药、补液量和镇静药物使用情况等,发现MAP低波动与28 d病死率(OR 3.154;95% CI,1.767~5.630;P < 0.001)显著相关。
| 终点指标 | L组 (n=203) |
H组 (n=191) |
t/χ2值 | P值 |
| 28 d病死率(例, %) | 61(30.0) | 25(13.1) | 16.590 | < 0.001 |
| 机械通气时间(h) | 124.67±19.44 | 113.37±12.72 | 6.863 | < 0.001 |
| ICU停留时间(d) | 12.10±3.608 | 9.12±2.712 | 9.312 | < 0.001 |
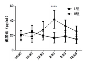
前瞻性研究共纳入脓毒症患者75例,排除2例。其中L组43例,28 d病死率为37.2%,H组30例,28 d病死率为15.6%,差异有统计学意义(P=0.039)。在每位患者褪黑素的浓度每隔4 h监测一次,在L组与H组患者中血清褪黑素平均水平分别为(18.42±6.84)pg/mL和(37.45±10.84)pg/mL(P < 0.01),差异有统计学意义。H组血清褪黑素分泌高峰为凌晨2点,L组血清褪黑素分泌高峰为下午6点,但L组各个时间点血清褪黑素水平差异无统计学意义(P > 0.05)。(图 1)
|
| 图 1 脓毒症患者血清褪黑素分泌节律 |
|
|
血压是重症患者持续监测的常见生命指标之一,主要受内源性神经内分泌节律调节[7]。血压昼夜节律在维持机体正常生理功能中发挥重要作用,有研究发现收缩压波动异常可以预测社区居民和住院患者的心血管病死率和全因病死率[8]。Tang等[3]报道51例脓毒症和脓毒性休克患者的首个5 min收缩压与28 d病死率相关。然而,MAP作为指南中评估组织灌注和早期复苏效果的重要指标,MAP昼夜波动对脓毒症病死率的预测价值尚未引起注意。正常情况下夜间血压较日间血压下降10-20%,MAP昼夜波动小是血压昼夜节律异常的一种表现。本研究发现MAP昼夜波动较小(-5%~5%)的脓毒症患者28 d病死率、机械通气时间和ICU停留时间显著高于MAP昼夜波动较大者,且两组的全天平均MAP的差异无统计学意义,逻辑回归分析也证实MAP昼夜波动较小是28 d病死率的独立危险因素。
脓毒症发病涉及神经-体液-免疫机制[9-11]。脓毒症发生时,患者因激素分泌昼夜节律异常,继发内分泌代谢变化,从而影响内环境稳定,加重病情。脓毒症患者存在多种对血压有调控作用的激素分泌异常,包括肾上腺激素、肾上腺皮质激素和褪黑素等[12]。其中褪黑素(melatonin,Mel)是松果体合成并分泌的具有神经内分泌作用的激素,具有脂溶性,70%与白蛋白结合,主要在肝内降解。褪黑素分泌具有昼夜节律性变化,白天分泌受抑制,夜间的分泌远高于白天,凌晨(2~4时)为分泌高峰,而后逐渐减少,至午间降到最低。褪黑素具有调节人体生物节律与免疫功能、抗炎和抗肿瘤等作用。与ICU非脓毒症患者相比,脓毒症患者未出现褪黑素“昼低夜高”的节律变化,从而说明脓毒症患者昼夜节律的缺乏。Li等[12]的研究也得出了类似的结论,与ICU非脓毒症患者相比,脓毒症患者褪黑素的分泌昼夜节律发生特异性的异常改变。本研究发现,H组血清褪黑素分泌高峰为凌晨2点,与正常健康人的分泌高峰一致,而L组血清褪黑素分泌高峰为下午6点,但L组各个时间点血清褪黑素水平差异无统计学意义,且平均水平显著低于H组。该结果说明H组脓毒症患者的血压昼夜节律和褪黑素分泌昼夜节律未出现明显异常改变,而L组的昼夜节律出现较显著改变。褪黑素可直接参与免疫细胞的调控而增强机体免疫功能,L组脓毒症患者的褪黑素水平较低可能是其预后较差的主要原因之一。
利益冲突 所有作者均声明不存在利益冲突
| [1] | Rothwell PM, Howard SC, Dolan E, et al. Prognostic significance of visit-to-visit variability, maximum systolic blood pressure, and episodic hypertension[J]. Lancet, 2010, 375(9718): 895-905. DOI:10.1016/s0140-6736(10)60308-x |
| [2] | Singer M, Deutschman CS, Seymour CW, et al. The Third International Consensus Definitions for Sepsis and Septic Shock (Sepsis-3)[J]. JAMA, 2016, 315(8): 801-810. DOI:10.1001/jama.2016.0287 |
| [3] | Tang Y, Sorenson J, Lanspa M, et al. Systolic blood pressure variability in patients with early severe Sepsis or septic shock: a prospective cohort study[J]. BMC Anesthesiol, 2017, 17: 82. DOI:10.1186/s12871-017-0377-4 |
| [4] | 吴粤, 周秋萍, 江书奇, 等. 褪黑素对脓毒症幼鼠胼胝体内少突胶质细胞分化成熟的影响[J]. 中华急诊医学杂志, 2020, 29(4): 518-524. DOI:10.3760/cma.j.issn.1671-0282.2020022.004 |
| [5] | Levy MM, Evans LE, Rhodes A. The surviving Sepsis campaign bundle[J]. Crit Care Med, 2018, 46(6): 997-1000. DOI:10.1097/ccm.0000000000003119 |
| [6] | Gao Y, Wang QF, Li JM, et al. Impact of mean arterial pressure fluctuation on mortality in critically ill patients[J]. Crit Care Med, 2018, 46(12): e1167-e1174. DOI:10.1097/ccm.0000000000003435 |
| [7] | Fabbian F, Smolensky MH, Tiseo R, et al. Dipper and non-dipper blood pressure 24-hour patterns: circadian rhythm–dependent physiologic and pathophysiologic mechanisms[J]. Chronobiol Int, 2013, 30(1/2): 17-30. DOI:10.3109/07420528.2012.715872 |
| [8] | Weiss A, Beloosesky Y, Koren-Morag N, et al. Association between mortality and blood pressure variability in hypertensive and normotensive elders: A cohort study[J]. J Clin Hypertens (Greenwich), 2017, 19(8): 753-756. DOI:10.1111/jch.12996 |
| [9] | Yin WP. Effect of neutrophil CD64 for diagnosing sepsis in emergency department[J]. World J Emerg Med, 2020, 11(2): 79. DOI:10.5847/wjem.j.1920-8642.2020.02.003 |
| [10] | Ma Y, Yu XY, Wang Y. Dose-related effects of dexmedetomidine on immunomodulation and mortality to septic shock in rats[J]. World J Emerg Med, 2018, 9(1): 56. DOI:10.5847/wjem.j.1920-8642.2018.01.009 |
| [11] | 陈隆望, 邱俏檬, 连洁, 等. microRNA-10a对脓毒症小鼠脾脏CD4+CD25+Treg免疫功能的影响[J]. 中华急诊医学杂志, 2018(2): 152-158. DOI:10.3760/cma.j.issn.1671-0282.2018.02.009 |
| [12] | Li CX, Liang DD, Xie GH, et al. Altered melatonin secretion and circadian gene expression with increased proinflammatory cytokine expression in early-stage Sepsis patients[J]. Mol Med Rep, 2013, 7(4): 1117-1122. DOI:10.3892/mmr.2013.1331 |
| [13] | Kanczkowski W, Sue M, Bornstein SR. Adrenal gland microenvironment and its involvement in the regulation of stress-induced hormone secretion during sepsis. Front Endocrinol (Lausanne)[J]. 2016, 7: 156.DOI: 10.3389/fendo.2016.00156. |
2020, Vol. 29



