急性心肌梗死(acute myocardial infarction, AMI)是急诊科最为常见的危重症之一,如何更早确诊AMI,直接关系着患者的预后及生命安全。床旁快速检测(point-of-care test, POCT)各项心肌损伤标志物可以缩短AMI确诊时间,达到早诊断、早治疗的目的。心肌型脂肪酸结合蛋白(H-FABP)是相对分子质量为15 000的心肌细胞胞质蛋白,心肌受损时释放入血[1]。本研究联合检测H-FABP、肌酸激酶同工酶(CK-MB)、肌钙蛋白I(cTnI)、肌红蛋白(MYO)及D-二聚体(D-Dimer),探讨其在快速诊断AMI中的意义及对预后的影响。
1 资料与方法 1.1 一般资料收集2015—2017年于本院急诊就诊,按照2010年中国《急性ST段抬高型心肌梗死诊断和治疗指南》和2012年中国《非ST段抬高型急性冠状动脉综合征诊断和治疗指南》标准诊断为AMI患者[2-3]。所有患者均经冠状动脉造影检查确诊。排除标准:超过6 h的AMI患者;心肺复苏术后、严重创伤或2周内有手术史者;3周内因血栓性疾病接受过抗凝或溶栓治疗者;重症感染、发热、恶性肿瘤者;严重肝肾功能不全或肌肉病变者。
1.2 研究方法记录患者基本资料,包括年龄、性别、吸烟史,以及高血压、糖尿病、高脂血症等既往史。将入选患者按发病时间分为 < 3 h组和3~6 h组;按诊断分为急性ST段抬高型心肌梗死组(STEMI)和非ST段抬高型心肌梗死组(NSTEMI)。以患者出院预后生存或死亡为研究终点,计算不同组别患者病死率。所有患者入院即刻采用荧光免疫分析仪(Triage MeterPro, Alere San Digeo. Inc., San Digeo, CA, USA),行血清各项心肌损伤相关指标联合检测,包括H-FABP,CK-MB,cTnI,MYO及D-Dimer。
1.3 冠脉造影和评分所有患者均采用Judkins法行冠状动脉造影,常规多体位投照,由2名经验丰富的心血管介入医师完成并记录结果。记录左主干(LM)、前降支(LAD)、回旋支(LCX)、右冠状动脉(RCA)病变。狭窄≥50%的病变冠状动脉计入支数,采用冠脉Gensini评分标准对冠脉病变进行评分,根据冠脉狭窄程度计算积分[4]:狭窄直径 < 25%计1分,≥25%- < 50%计2分,≥50%~ < 75%计4分,≥75%~ < 90%计8分,≥90%~ < 99%计16分,99%~100%计32分。再乘以各血管对应系数:LM×5.0;LAD:近段×2.5,中段×1.5,远段×1.0;对角支病变:D1×1.0,D2×0.5;LCX:近段×2.5,钝缘支×1.0,远段×1.0,后降支×1.0,后侧支×0.5;RCA:近、中、远和后降支均×1.0。
1.4 统计学方法采用SPSS 20.0对数据进行统计分析。计数资料用率表示,组间比较采用χ2检验;计量资料,经Kolmogorov-Smirnov检验,均为非正态分布,故采用中位数(四分位数)表示,组间比较采用Kruskal-Wallis秩和检验。诊断效能分析采用ROC曲线,指标间相关分析采用Spearman相关,回归分析采用曲线回归,预后危险因素分析采用Logistic回归。以P < 0.05为差异有统计学意义。
2 结果 2.1 一般情况最终纳入2 104例患者,其中男性1 278例(60.7%),女性826例(39.3%);年龄(62.22±22.83)岁。死亡177例,病死率8.4%。既往吸烟1 047例,高血压1 209例,2型糖尿病118例,高脂血症1 135例。首发症状以胸痛就诊者1 056人,胸闷就诊者238人,咽部不适者397人,上腹痛112人,背部不适123人,肩部伴上臂部不适101人,胸闷伴牙痛77人。其中发病 < 3 h者235例,发病3~6 h者1 869例;确诊STEMI 1 453例,NSTEMI 651例。不同时间分组间患者一般状况差异无统计学意义(均P > 0.05)。0~3 h组患者中NSTEMI者占6.40%,3~6 h组患者中NSTEMI者占39.09%,两组间差异有统计学意义(χ2=61.241, P < 0.01)。不同诊断分组间患者以胸闷、胸痛、咽部不适等典型AMI症状就诊患者比例差异有统计学意义。STEMI与NSTEMI组患者以胸痛、胸闷、咽部不适为首发症状就诊患者比例分别为:60.4% vs 27.5%, χ2=194.199, P < 0.01; 18.6% vs 8.1%, χ2=49.731, P < 0.001; 26.1% vs 2.8%, χ2=159.694, P < 0.01。
2.2 各组间检测项指标比较3~6 h组MYO和H-FABP显著高于 < 3 h组(P < 0.01),其余各指标两组之间差异无统计学意义。而STEMI和NSTEMI组间比较,除D-Dimer差异无统计学意义外,其余各指标NSTEMI组均显著升高(P < 0.01)(表 1)。
| 分组 | MYO | H-FABP | CK-MB | cTnI | D-Dimer |
| 时间分组 | |||||
| < 3 h | 100 (60, 198) | 5.1 (2.7, 21.7) | 13 (10, 17) | 0.05 (0.05, 0.09) | 478 (240, 915) |
| 3~6 h | 127 (69, 301) | 14.6 (9.1, 30.7) | 12 (8, 20) | 0.08 (0.04, 0.20) | 450 (209, 1106) |
| χ2值 | 7.536 | 34.207 | 2.387 | 1.718 | 0.028 |
| P值 | 0.006 | < 0.001 | 0.122 | 0.190 | 0.868 |
| 诊断分组 | |||||
| STEMI | 96 (55, 195) | 9.2 (3.3, 21.7) | 12 (8, 16) | 0.05 (0.01, 0.09) | 431 (225, 928) |
| NSTEMI | 211 (120, 387) | 21.1 (12.9, 42.3) | 19 (12, 24) | 0.14 (0.08, 0.40) | 512 (202, 1223) |
| χ2值 | 36.704 | 48.187 | 29.704 | 62.534 | 1.659 |
| P值 | < 0.001 | < 0.001 | < 0.001 | < 0.001 | 0.198 |
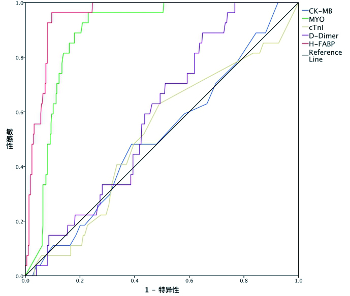
应用ROC曲线对各项指标对AMI诊断效能进行分析,MYO及H-FABP曲线下面积(AUC)明显高于其他3项指标(P < 0.05)。二者检测AMI的敏感性及特异性也显著高于其他3项指标。尤其H-FABP检测特异性要高于MYO。见表 2,图 1。
|
| 图 1 各项指标对AMI的诊断效能的ROC曲线 |
|
|
| 指标 | MYO | CK-MB | cTnI | D-Dimer | H-FABP |
| 敏感度 | 0.963 | 0.481 | 0.519 | 0.889 | 0.963 |
| 特异度 | 0.769 | 0.611 | 0.566 | 0.351 | 0.903 |
| AUC | 0.886 | 0.509 | 0.515 | 0.588 | 0.951 |
各指标间Spearman相关系数见表 3。H-FABP与Gensini评分间相关系数显著高于其他指标。
| 指标 | cTnI | D-Dimer | H-FABP | Gensini评分 | CK-MB |
| MYO | 0.184 | 0.193 | 0.403 | 0.392 | 0.217 |
| P值 | < 0.01 | < 0.01 | < 0.01 | < 0.01 | < 0.01 |
| cTnI | 0.110 | 0.247 | 0.217 | 0.434 | |
| P值 | 0.028 | < 0.01 | < 0.01 | < 0.01 | |
| D-Dimer | 0.145 | 0.242 | 0.079 | ||
| P值 | 0.004 | < 0.01 | 0.112 | ||
| H-FABP | 0.867 | 0.198 | |||
| P值 | < 0.01 | < 0.01 | |||
| Gensini评分 | 0.179 | ||||
| P值 | . | < 0.01 |
以Gensini评分为自变量,H-FABP为因变量,对两组数据进行曲线回归分析,发现二者分布符合幂函数曲线(图 2),拟合如下:H-FABP= 14.964 × Gensini 0.448(R2 = 0.814,P < 0.01)。
|
| 图 2 冠脉Gensini评分与H-FABP曲线拟合结果 |
|
|
以患者出院预后为因变量,以各项心肌损伤相关指标为自变量进行二分类Logistic回归分析,结果显示,MYO和H-FAPB升高为患者预后不良的危险因素。见表 4。
| 变量 | B | S.E. | P值 | RR | 95% CI | |
| MYO | -0.007 | 0.002 | < 0.01 | 0.993 | 0.989 | 0.997 |
| H-FABP | -0.119 | 0.022 | < 0.01 | 0.888 | 0.851 | 0.926 |
AMI发作的早期是再灌注治疗的黄金时间,血管再通时间越早,并发症越少,生存率越高[5]。AMI 6 h后心肌细胞将出现不可逆损伤。AMI的及时治疗是建立在早期诊断基础上的,而早期诊断主要依赖于典型胸痛症状、心电图及心肌酶谱结果。对于临床症状和心电图表现不典型的患者,制约对其进行早期干预的瓶颈在于不同心肌损伤标志物的检测结果。AMI患者在急诊就诊期间,采用POCT进行临床标本检验,节省了大量的时间[6]。H-FABP作为诊断AMI的早期标志物,能够对AMI做出快速诊断[7]。
本研究中在AMI发病6 h内,H-FABP对AMI的诊断敏感度(96.3%)高于cTnI(51.9%)和CK-MB(48.1%),AUC差异具有统计学意义(P < 0.01)。MYO虽然敏感度(96.3%)与H-FABP一致,但特异度(76.9%)不如H-FABP(90.3%)。H-FABP是所有心肌损伤相关指标中AUC最大的,表明其对AMI的诊断效能最佳。研究还表明[8],H-FABP的升高与AMI的死亡危险和主要心血管事件增加相关,并且独立于其他的临床危险因子和生化标志物。本研究的结果也显示,MYO与H-FABP的升高是AMI预后不良的危险因素。所有指标中,H-FABP与Gensini评分的相关系数最高(r=0.867, P < 0.01)。由于二者分布均非正态,对其进行曲线相关分析发现二者分布符合幂函数,方程拟合结果良好(R2 = 0.814,P < 0.01)。冠状动脉造影Gensini评分是一种非常有效的评估冠状动脉病变程度的方法[9]。冠状动脉病变越严重, Gensini评分越高,Gensini评分同时显示了冠状动脉病变的弥散程度。显而易见,冠状动脉病变范围越弥散、越严重,AMI时心肌损伤越严重,H-FABP也就越高。而二者分布非线性关系,也就意味着H-FABP的轻度变化,可能对应着Gensini评分的显著恶化。这也提醒临床医生,高H-FABP患者的冠脉病变有可能异常严重,应当格外警惕。
H-FABP是目前早期(0~6 h)诊断AMI的最敏感的心脏生化标志物。在时间分组患者中,仅有H-FABP与MYO两项指标在6h内升高,其余各指标虽有波动,但未见明显升高,这使得其在诊断早期AMI中意义重大。值得注意的是,除D-Dimer外的其余各项指标,NSTEMI组均显著高于STEMI组(P < 0.01)。进一步分析NSTEMI患者在不同时间分组中所占比例发现,3~6 h组显著高于 < 3 h组(χ2=61.241, P < 0.01),这说明NSTEMI患者确诊时间更晚。而NSTEMI组患者以胸闷、胸痛、咽部不适等典型AMI症状就诊患者显著低于STEMI组这一现象,也造成了NSTEMI更难确诊,确诊时间更晚。从而使得NSTEMI组患者各种心肌损伤指标显著高于STEMI组患者。而H-FABP恰恰能早期诊断AMI,更加强了其在此类患者中应用的意义。
诊断早期(3~6 h以内)AMI,CK-MB, cTnI及D-Dimer仍有较大局限性。H-FABP及MYO在诊断早期AMI上具有较好的敏感性及特异性,与其酶峰形成时间短,反应灵敏有关。除此之外,H-FABP为小分子的胞浆蛋白,平日贮存于心肌细胞内,在发生心肌梗死1~3 h内即可快速释放入血,8 h达到峰值浓度,12~24 h后恢复正常[10]。而cTnI与CK-MB在AMI发生后升高时间较晚。其中cTnI在发生AMI 2~8 h后释放入血,8~12 h达到峰值浓度;CK-MB在AMI后3~6 h升高,16~20 h方可达到峰值。因此对于诊断早期AMI,H-FABP较cTnI与CK-MB更为敏感,有助于提高早期诊断率,减少漏诊。这也是本研究中ROC曲线显示二者诊断效能不如H-FABP的原因。既往通常采用ELISA法检测H-FABP,需60 min才能得出结果。本研究采用快速检测试剂盒(胶体金法)检测H-FABP,检测时间短(10 min),操作简便,有利于进行POCT,更适合急诊应用。D-Dimer虽然与血栓形成有关,但造成AMI冠状动脉阻塞的血栓不一定是导致D-Dimer升高的红色血栓。即便有红色血栓形成,因其微量也不一定能导致凝血系统的显著变化[11-12]。
| [1] | Nakata T, Hashimoto A, Hase M, et al. Human heart-type fatty acid-binding protein as an early diagnostic and prognostic marker in acute coronary syndrome[J]. Cardiology, 2003, 99(2): 96-104. DOI:10.1159/000069726 |
| [2] | 中华医学会心血管病学分会, 中华心血管病杂志编辑委员会. 急性ST段抬高型心肌梗死诊断和治疗指南[J]. 中华心血管病杂志, 2010, 38: 675-690. DOI:10.3760/cma.j.issn.0253-3758.2015.05.003 |
| [3] | 中华医学会心血管病学分会, 中华心血管病杂志编辑委员会.非ST段抬高型急性冠状动脉综合征诊断和治疗指南(2016)[J]. 2017, 45(5): 359-376. DOI: 10.3760/cma.j.issn.0253-3758.2017.05.003. http://www.wanfangdata.com.cn/details/detail.do?_type=perio&id=zhxxgb201705003 |
| [4] | Reardon F, Nestel J, Craig H, et al. Lipoprotein predictors of the severity of coronary artery disease in men and women.[J]. Circulation, 1985, 71(5): 881-888. DOI:10.1161/01.cir.71.5.881 |
| [5] | Chamnarnphol N, Wisaratapong T, Cheevatanakornkul S. Correlation between percutaneous coronary intervention volume, door-to-balloon time and mortality of patients with acute ST-segment elevation myocardial infarction[J]. J Med Assoc Thai, 2012, 95(3): 325-329. |
| [6] | 方捷, 吴飞, 秦保东, 等. 心肌标志物的床边检测技术在急性心肌梗死患者中的应用价值[J]. 中国实验诊断学, 2012, 16(3): 444-447. DOI:10.3969/j.issn.1007-4287.2012.03.021 |
| [7] | Watanabe T, Ohkubo Y, Matsuoka H, et al. Development of a simple whole blood panel test for detection of human heart-type fatty acid-binding protein[J]. Clin Biochem, 2001, 34(4): 257-263. DOI:10.1016/S0009-9120(01)00200-4 |
| [8] | O'Donoghue M, de Lemos JA, Morrow DA, et al. Prognostic utility of heart-type fatty acid binding protein in patients with acute coronary syndromes[J]. Circulation, 2006, 114(6): 550-557. DOI:10.1161/circulationaha.106.641936 |
| [9] | Gensini GG. A more meaningful scoring system for determining the severity of coronary heart disease[J]. Am J Cardiol, 1983, 51(3): 606-606. DOI:10.1016/S0002-9149(83)80105-2 |
| [10] | McMahon CG, Lamont JV, Curtin E, et al. Diagnostic accuracy of heart-type fatty acid binding protein for the early diagnosis of acute myocardial infarction[J]. Am J Emerg Med, 2012, 30(2): 267-274. DOI:10.1016/j.ajem.2010.11.022 |
| [11] | Lippi G, Filippozzi L, Montagnana M, et al. Diagnostic value of D-dimer measurement in patients referred to the emergency department with suspected myocardial ischemia[J]. J Thromb Thrombolysis, 2008, 25(3): 247-250. DOI:10.1007/s11239-007-0060-6 |
| [12] | Smid M, Dielis AWJH, Winkens M, et al. Thrombin generation in patients with a first acute myocardial infarction[J]. J Thromb Haemost, 2011, 9(3): 450-456. DOI:10.1111/j.1538-7836.2010.04162.x |
2019, Vol. 28



