2 武汉大学中南医院急诊科 430071
心脏骤停(cardiac arrest,CA)年平均发生率为9.59/10 000,是导致全球患者死亡的主要原因[1]。中国作为世界人口最多的国家,心脏骤停发生事件最高[2],而院外心脏骤停患者的生存率仅为1%左右[3],远低于全球院外心脏骤停的平均生存率5.8%[4]。早期高质量心肺复苏(cardiopulmonary resuscitation,CPR)是提高心脏骤停患者生存率的关键,将直接影响患者预后[5-7]。实时反馈装置是针对CPR进行实时定量/定性的监测和反馈,从而保证CPR质量,提高心搏骤停患者的成活率。临床上,有关实时反馈装置对CPR质量的影响已提示其对于提升CPR质量的意义[8-9]。教学中,传统CPR教学常常难以评估和保证培训质量,实时反馈装置则能准确判断和反馈CPR质量。近年来,实时反馈装置越来越多的运用于CPR技能的教学培训中,但是有关实时反馈装置对CPR培训质量的研究结论不一。相关研究显示带有反馈装置的CPR训练较之传统的教学方式质量更好[11-14];但也有实验表明视听反馈装置与标准的CPR培训质量差异无统计学意义[15-16],甚至导师指导反馈的CPR质量优于反馈装置[17],或者相同实时反馈装置中,不同训练时长的训练效果相同[18]。这些尚存矛盾的实验结果提示,实时反馈装置在CPR培训中的效果仍需进一步改进和保持, 而强化是一种新趋势[10]。基于此,本实验拟采用随机对照的研究方法,通过强化训练联合实时反馈装置的CPR培训,观察其对心肺复苏培训效果的影响,希望探讨一种可更好保持培训效果的心肺复苏培训方法。
1 资料与方法 1.1 一般资料招募没有参加过任何形式的CPR培训的武汉大学学生志愿者,收集其基本信息包括性别、身高、体质量,并计算体质量指数(Body Mass Index,BMI)。
1.2 实验分组与方法实验以抽签方式随机分为有反馈组和无反馈组,实验包括两个阶段。阶段1:实验前的理论知识讲解:全部志愿者统一由美国心脏协会(American Heart Association, AHA)-基础生命支持(basic life support, BLS)导师教授30 minCPR的理论课程。结束后每名志愿者将进行“院外实施CPR的自信心量表”的初始评分,评分等级从1-10,“0”代表“完全没自信”,“10”代表“十分有自信”。阶段2:CPR技能强化训练和即时技能考核:共有三轮,分别在理论授课的当天(第1天)、第3天和第5天完成。每轮实验,两组分别在两个技能操作室在相同型号的Resusci Anne QCPR模拟人(Laerdal中国有限公司,杭州,中国)上操作;训练前导师助手将为有反馈组的志愿者讲解反馈装置用法,直至该组所有志愿者均熟练掌握。实时反馈装置(Simpad)的CPR参数根据最新指南[19]设置,反馈内容包括按压位置、按压频率、按压深度、回弹情况和通气情况,如图 1所示。训练过程中,实时反馈装置将对志愿者的CPR质量进行监测和实时反馈,并由AHA-BLS导师对志愿者的操作进行基于授课教案的实时指正;无反馈组在训练过程中仅由AHA-BLS导师对志愿者的操作进行基于授教案的实时指正。两组分别完成第一次2 min的CPR训练后,休息1 h,再进行相同的第2次2 min的CPR训练,训练完成。充分休息(1 h)后两组都进行相同的无反馈的CPR技能考核,并完成“院外实施CPR的自信心量表”的再评分。SimPad技能报告系统将收集每一位志愿者的CPR质量参数数据,如图 2所示。实验流程如图 3所示。
|
| 图 1 QCPR-SimPad反馈装置 |
|
|
|
| 图 2 SimPad技能报告系统 |
|
|
|
| 图 3 实验流程 |
|
|
采用SPSS 19.0统计软件,计量资料用均数±标准差(Mean±SD)表示,两组间比较采用成组t检验,多组内比较采用多因素方差分析;计数资料用率表示,频数(率)之间的比较采用χ2检验,以P < 0.05为差异有统计学意义。
2 结果 2.1 一般资料本次实验共招募到96名志愿者,一般情况见表 1,两组间差异无统计学意义。
| 指标 | 有反馈组(n=48) | 无反馈组(n=48) | P值 |
| 性别(例,%) | 0.873 | ||
| 男 | 22(45.8) | 21(43.8) | |
| 女 | 26(54.2) | 27(56.2) | |
| 身高(cm,Mean±SD) | 167±7 | 167±8 | 0.934 |
| 体质量(kg,Mean±SD) | 57.2±8.6 | 59.0±10.6 | 0.382 |
| BMI(kg/m2,Mean±SD) | 20.4±2.2 | 21.1±2.9 | 0.228 |
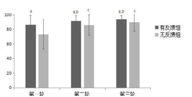
CPR总分为心肺复苏反馈系统SimPad技能报告评分生成,结果如图 4,三轮强化训练,有反馈组的CPR总分均高于无反馈组(均P < 0.05);组内比较,有反馈组第二轮、第三轮均优于第一轮(均P < 0.05),无反馈组第二轮、第三轮均优于第一轮(均P < 0.01)。
|
| 有反馈组与无反馈组比较,a:P < 0.05;有反馈组第二轮、第三轮与第一轮比较,b:P < 0.01;无反馈组第二轮、第三轮与第一轮比较,c:P < 0.001 图 4 两组CPR总分比较 |
|
|
两组CPR质量数据见表 2。两组间正确按压位置比较差异无统计学意义(P=0.056);两组间合适按压频率比例比较差异无统计学意义(P=0.097),但有反馈组内第三轮显著优于第一轮(P=0.032),无反馈组内第三轮分别显著优于第一轮(P < 0.01)和第二轮(P=0.036);两组间合适按压深度比例比较差异有统计学意义(P=0.003);两组间胸廓回弹率比较差异有统计学意义(P < 0.001);两组间合适通气比例比较差异有统计学意义(P=0.023),有反馈组内合适通气比例第三轮显著优于第一轮(P=0.003)。
| 指标 | 有反馈组(n=48) | 无反馈组(n=48) | P值 |
| 按压位置(%) | 0.056 | ||
| 第一轮 | 98.7±3.9 | 95.7±16.8 | 0.228 |
| 第二轮 | 99.3±2.6 | 96.8±12.5 | 0.175 |
| 第三轮 | 99.9±0.3 | 97.4±14.5 | 0.224 |
| 合适频率比例(%) | 0.097 | ||
| 第一轮 | 77.7±27.2a | 68.8±29.6b | 0.361 |
| 第二轮 | 84.0±25.4 | 76.0±31.1c | 0.343 |
| 第三轮 | 87.5±20.9 | 86.7±20.5 | 0.540 |
| 合适深度比例(%) | 0.003 | ||
| 第一轮 | 67.7±29.6 | 55.6±31.9 | 0.058 |
| 第二轮 | 70.6±27.0 | 64.6±33.4 | 0.337 |
| 第三轮 | 76.9±20.7 | 59.2±27.8 | 0.001 |
| 胸廓回弹(%) | < 0.01 | ||
| 第一轮 | 93.7±10.6 | 82.2±25.8 | 0.006 |
| 第二轮 | 94.7±10.0 | 82.9±24.6 | 0.003 |
| 第三轮 | 95.9±8.0 | 84.0±18.5 | 0.002 |
| 合适通气比例(%) | 0.023 | ||
| 第一轮 | 39.9±23.5d | 33.4±25.2 | 0.194 |
| 第二轮 | 46.6±28.5 | 42.1±28.3 | 0.437 |
| 第三轮 | 55.6±30.6 | 39.8±28.9 | 0.011 |
| 注:a:与第三轮按压频率比较,P=0.032;b:与第三轮按压频率比较,P < 0.001;c:与第三轮按压频率比较,P=0.036;d:与第三轮合适通气比例比较,P=0.003 | |||
“院外实施CPR自信心量表”评分结果见表 3。每轮的两组间比较差异无统计学意义;两组内每轮训练后的评分均分别优于训练前(P < 0.01)。
| 时点 | 有反馈组(n=48) | 无反馈组(n=48) | P值 |
| 第一轮培训前 | 2.58±1.99a | 2.71±1.97a | 0.757 |
| 第一轮培训后 | 6.31±2.27b | 6.25±1.78b | 0.881 |
| 第二轮培训后 | 7.17±1.77c | 7.21±1.38c | 0.898 |
| 第三轮培训后 | 8.13±1.63d | 8.44±1.20d | 0.288 |
| 注:a为第一轮培训后与第一轮培训前的比较,P < 0.01;b为第二轮培训后与第一轮培训后的比较,P < 0.01;c为第三轮培训后与第二轮培训后的比较,P < 0.01;d为第三轮培训后与第一轮培训后的比较,P < 0.01 | |||
本次研究显示组间、组内正确按压位置比较差异无统计学意义,与有关研究的反馈装置提高正确按压位置比例的结果不同[18];考虑本研究参与者正确掌握按压位置的情况较好,因此提升的空间有限,也与强化训练后正确按压位置的识别和维持得到加强有关。有/无反馈装置训练并未影响合适按压频率比例,与既往研究[18]的结果一致;但在强化训练的第二轮、第三轮与第一轮进行比较,两组组内的合适按压频率比例均有显著提升,表明强化训练可以独立有效的指导操作者进行合适频率的按压,形成正确的按压频率节律。对于合适按压深度,两组间的差异在第三轮显现,这与以往相关的研究结果一致[11-14],与随着强化训练的进行反馈装置的作用得到凸显和放大有关。有反馈组的完全回弹率较无反馈组的高,但随着强化训练的进行两组内完全回弹率的增加不显著,与既往实验结果[18]一致;结果说明反馈装置可以提示或减少因疲劳而产生的对胸廓的倚靠,确保按压胸廓的充分回弹,并通过强化训练来保持这种效果。
本实验显示合适通气比例在强化训练第三轮有反馈组优于无反馈组,有反馈组内第三轮优于第一轮, 可能原因是通气技能较胸外按压难以掌握,但随着强化训练的进行,志愿者能够更好应用反馈装置来提高通气质量。
自信心影响院外CPR施救率,研究结果表明随着训练强化,操作者的自信心增强,并且这种自信心的提升与有无反馈装置无关,可能原因是在院外实施CPR的自信心与对CPR知识的了解和熟练掌握的程度有关,但与掌握的精确程度无关。
| [1] | Berdowski J, Berg RA, Tijssen JG, et al. Global incidences of out-of-hospital cardiac arrest and survival rates: systematic review of 67 prospective studies[J]. Resuscitation, 2010, 81(11): 1479-1487. DOI:10.1016/j.resuscitation.2010.08.006 |
| [2] | Wang W, Hu SS, Kong LZ, et al. Summary of report on cardiovascular diseases in china, 2012[J]. Biomed Environ Sci, 2014, 27(7): 552-558. |
| [3] | Hua W, Zhang LF, Wu YF, et al. Incidence of sudden cardiac death in china: analysis of 4 regional populations[J]. J Am Coll Cardiol, 2009, 54(12): 1110-1118. DOI:10.1016/j.jacc.2009.06.016 |
| [4] | BenjaminEJ, Blaha MJ, Chiuve SE, et al. Heart Disease and Stroke Statistics-2017 Update: AReport From the American Heart Association[J]. Circulation, 2017, 135(10): e146-603. |
| [5] | WallaceSK, Abella BS, Becker LB, et al. Quantifying the effect of cardiopulmonary resuscitation quality oncardiacarrest outcome:a systematic review and meta-analysis[J]. Circ Cardiovasc Qual Outcomes, 2013, 6(2): 148-156. DOI:10.1161/CIRCOUTCOMES.111.000041 |
| [6] | Abella BS. The importance of cardiopulmonary resuscitation quality[J]. Curr Opin Crit Care, 2013, 19(3): 175-180. DOI:10.1097/MCC.0b013e328360ac76 |
| [7] | Krishna CK, Showkat HI, Taktani M, et al. Out of hospital cardiac arrest resuscitation outcome in North India - CARO study[J]. World J Emerg Med, 2017, 8(3): 200-205. DOI:10.5847/wjem.j.1920-8642.2017.03.007 |
| [8] | 陈水红, 曹巧丹, 陈昊天, 等. 实时反馈装置在心搏骤停患者心肺复苏中的应用研究[J]. 中华急诊医学杂志, 2018, 27(10): 1173-1175. |
| [9] | Couper K, Kimani PK, Abella BS, et al. The System-Wide Effect of Real-Time Audiovisual Feedback and Postevent Debriefing for In-Hospital Cardiac Arrest: The Cardiopulmonary Resuscitation Quality Improvement Initiative[J]. Crit Care Med, 2015, 43(11): 2321-2331. DOI:10.1097/CCM.0000000000001202 |
| [10] | 余涛, 唐万春. 主动、强化的复苏策略——心肺复苏新趋势[J]. 中华急诊医学杂志, 2017, 26(1): 4-6. DOI:10.3760/cma.j.issn.1671-0282.2017.01.002 |
| [11] | Bobrow BJ, Vadeboncoeur TF, Stolz U, et al. The influence of scenario-based training and real-time audiovisual feedback on out-of-hospital cardiopulmonary resuscitation quality and survival from out-of-hospital cardiac arrest[J]. Ann Emerg Med, 2013, 62(1): 47-56. DOI:10.1016/j.annemergmed.2012.12.020 |
| [12] | Cheng A, Brown LL, Duff JP, et al. Improving cardiopulmonary resuscitation with a CPR feedback device and refresher simulations (CPR CARES Study): a randomized clinical trial[J]. JAMA Pediatr, 2015, 169(2): 137-144. DOI:10.1001/jamapediatrics.2014.2616 |
| [13] | Yeung J, Davies R, Gao F, et al. A randomised control trial of prompt and feedback devices and their impact on quality of chest compressions-a simulation study[J]. Resuscitation, 2014, 85(4): 5535. |
| [14] | Mpotos N, Yde L, Calle P, et al. Retraining basic life support skills using video, voice feedback or both: a randomised controlled trial[J]. Resuscitation, 2013, 84(1): 72-77. DOI:10.1016/j.resuscitation.2012.08.320 |
| [15] | Pavo N, Goliasch G, Nierscher FJ, et al. Short structured feedback training is equivalent to a mechanical feedback device in two-rescuer BLS: a randomized simulation study[J]. Scand J Trauma Resusc Emerg Med, 2016, 24(5): 70. |
| [16] | Zapletal B, Greif R, Stumpf D, et al. Comparing three CPR feedback devices and standard BLS in a singlerescuer scenario: a randomised simulation study[J]. Resuscitation, 2014, 85(4): 560-566. DOI:10.1016/j.resuscitation.2013.10.028 |
| [17] | Sutton RM, Niles D, Meaney PA, et al. Low-dose, high-frequency CPR training improves skill retentionof in-hospital pediatricproviders[J]. Pediatrics, 2011, 128(1): e145-151. DOI:10.1542/peds.2010-2105 |
| [18] | BaldiE, Cornara S, Contri E, et al. Real-time visual feedback during training improveslaypersons' CPR quality: a randomized controlledmanikin study[J]. CJEM, 2017, 24(1): 1-8. |
| [19] | Kleinman ME, Brennan EE, Goldberger ZD, et al. Part 5:Adult Basic Life Support and Cardiopulmonary Resuscitation Quality: 2015 American Heart Association GuidelinesUpdate for Cardiopulmonary Resuscitation and EmergencyCardiovascular Care[J]. Circulation, 2015, 132(18 Suppl 2): S414-435. DOI:10.1161/CIR.0000000000000259 |
2019, Vol. 28



