重症肺炎是呼吸科常见的危重疾病,容易导致急性呼吸窘迫综合征、感染性休克、急性肾功能衰竭等并发症[1]。因此,研究重症肺炎的炎症反应过程,在重症肺炎的发生、发展及治疗过程中起着重要的作用[2]。青蒿琥酯是从中草药甜蒿提取的部分合成和水杨醛青蒿素衍生物,是一种安全有效的抗疟疾药物[3],除了抗疟活性外,青蒿琥酯已显示出抗癌和抗病毒活性。先前的研究已报道青蒿琥酯可以阻断TNF-α刺激的人类风湿性关节炎成纤维细胞样滑膜细胞中的IL-1β,IL-6和IL-8的产生[4-5]。
巨噬细胞移动抑制因子(MIF)是一种前炎性细胞因子,MIF表达在脓毒症的实验模型中增加,而重组MIF(rMIF)的治疗能增加炎症反应并导致更严重的炎性损伤和更高的病死率[6]。为了阐明重症肺炎的局部炎症反应水平,探索MIF在重症肺炎病程中的作用,因此,本研究动态检测重症肺炎病变部位巨噬细胞抑制因子的表达、髓过氧化物酶活性和炎性细胞浸润等指标变化,以及对重症肺炎大鼠炎症反应的影响。
1 材料与方法健康SPF级Sprague Dawleg(SD)雄性大鼠,购买自北京大学医学部实验动物中心,鼠龄为7周,体质量180~220 g。肺炎克雷伯菌临床株是从临床肺炎患者痰中分离出,鉴定为ESBLs(+),对亚胺培南敏感,对头孢曲松、头孢噻肟、头孢吡肟耐药,由本院检验科细菌室提供。
1.1 实验方法 1.1.1 菌悬液的制备冻存的肺炎克雷伯菌复苏后接种于MH培养基上,37℃恒温孵箱过夜培养24 h,采用麦氏标准管比浊计数,以无菌双蒸水配成1.2×109CFU/mL。
1.1.2 重症肺炎模型制备参考陈业民等[7]的方法制作。实验动物在实验前12h禁食,自由饮水。大鼠50 mg~100 mg/kg氯胺酮腹腔注射麻醉后,颈部消毒、备皮无菌操作,暴露大鼠上段气管,用1 mL注射器经气管滴入菌悬液。其中,模型组和青蒿琥酯各组滴入0.3 mL菌悬液,对照组滴入0.3 mL生理盐水。接种后立即竖立大鼠固定台,使大鼠保持直立位约20 min,以保证接种菌液因重力作用而入肺,并左右旋转体位,使菌液均匀分布于两肺。
1.1.3 动物分组和用药SD雄性大鼠100只,随机(随机数字法)分为5组,分别为对照组、模型组、青蒿琥酯高剂量组、青蒿琥酯中剂量组和青蒿琥酯低剂量组,每组均为20只。除对照组外各组均采用气管穿刺注入感染法制作大鼠重症肺炎模型,对照组气管穿刺注入法滴入0.3 mL生理盐水。青蒿琥酯高、中、低剂量组分别予80 mg/kg、40 mg/kg和20 mg/kg的青蒿琥酯注射液腹腔注射[8],对照组和模型组予2.5mL生理盐水腹腔注射。
1.1.4 取材和指标检测造模第5天后,各组大鼠使用CO2窒息法处死,取大鼠部分肺组织,做肺组织匀浆菌落计数和石蜡切片HE染色。右肺部分用10%甲醛溶液固定24 h后,石蜡包埋切片,一部分经HE染色,光镜观察病理变化,证实重症肺炎模型的建立。
1.1.5 支气管肺泡灌洗液(bronchialveolar lavage fluid,BALF)细胞计数左肺以2 mL无菌生理盐水注入气管,轻轻按摩左肺30 s抽回灌注液体,再灌注该液体,反复抽注3次,最后将灌入的液体抽出为1次灌洗完毕。同法操作共3次。将全部灌洗液收集一起,测总容量,回收支气管肺泡灌洗液BALF(回收率>50%),用双层干纱布过滤后于1 500 r/min离心15 min,去上清液后的沉淀部分做细胞计数。
1.1.6 髓过氧化物酶(MPO)活性的测量使用市售的MPO测定试剂盒(南京建成生物工程研究所,南京,中国),根据制造商的说明测量来自差异处理的重症肺炎大鼠的肺匀浆中的MPO活性。肺组织制成匀浆,并将含有MPO的上清液与含有底物H2O2(1.5 mmol)和邻联茴香胺二盐酸盐(167 mg/mL,Sigma-Aldrich)的50 mmol KPO4缓冲液孵育30 min。最后,使用96孔板读数测量460 nm处吸光度的变化来测定酶活性。结果表示为单位/g蛋白。
1.1.7 ELISA测定重症肺炎中标志物和炎症细胞因子使用ELISA检测试剂盒(USCNLIFE, 武汉, 中国),根据厂家的标准步骤,检测炎症标志物,如C反应蛋白(CRP)、降钙素原、CD14的表达。BALF中的炎性细胞因子和趋化因子的产生,包括肿瘤坏死因子-α(TNF-α)、IL-1、IL-6和IL-10。
1.1.8 测定大鼠血清及肺泡灌洗液中的MIF使用夹心酶联免疫吸附法(Sunred Bio,上海,中国),根据制造商的说明书,测量MIF的水平。将样品一式三份分析,结果表示为两次或三次独立实验的均数±标准差(x±s)。
1.2 生存曲线为了评价青蒿琥酯对重症肺炎大鼠的存活的影响,将60只大鼠随机(随机数字法)分为对照组(n=20),重症肺炎组(n=20),80 mg/kg青蒿琥酯治疗重症肺炎组(n=20)。每24 h进行存活率的测定,直到120 h的终点。
1.3 统计学方法结果表示为均数±标准差(x±s)。使用SPSS 16.0软件进行统计分析。使用单因素方差分析、Fisher最小显著差异检验分析组间差异。使用Kaplane Meier分析测定存活。以P < 0.05为差异具有统计学意义。
2 结果 2.1 减轻肺炎克雷伯杆菌诱导的重症肺炎来自正常组大鼠的肺显示正常结构,没有发现组织病理学变化(图 1A)。与正常组相比,来自肺炎克雷伯杆菌诱导的无青蒿琥酯治疗的重症肺炎大鼠的肺组织表现出广泛的形态学损伤和病理学异常,包括嗜中性粒细胞浸润到肺泡腔中,肺泡壁厚度增加,肺泡萎缩,水肿(图 1B)。说明克雷伯杆菌诱导的重症肺炎大鼠模型造模成功。然而,与未治疗的重症肺炎组相比,通过以浓度依赖性方式使用青蒿琥酯(图 1C~1E),这些重症肺炎诱导的组织病理学损伤显着减轻(图 2B)。因此,这些结果表明青蒿琥酯对大鼠体内肺炎克雷伯杆菌诱导的重症肺炎具有潜在的保护作用。
如图 2A和2B所示,肺炎克雷伯杆菌的诱导显著增加了肺组织中的MPO活性(图 2A)和支气管肺泡灌洗液中炎症细胞的充盈(图 2B)。然而,通过不同浓度的青蒿琥酯给药,MPO活性和炎性细胞浸润的增加显著降低。这些结果表明青蒿琥酯可以保护大鼠免受炎症性损伤。
|
| 肺炎克雷伯杆菌的诱导显著增加了肺组织中的MPO活性(A)和支气管肺泡灌洗液中炎症细胞的充盈(B) 图 2 不同分组大鼠MPO活性及支气管肺泡灌洗液炎细胞浸润 Figure 2 MPO activity and inflammatory cell infiltration of lung tissues in rats in different groups |
|
|
与对照组相比,肺炎克雷伯杆菌诱导显著增加促炎细胞因子的产生,包括IL-1(图 3A),IL-6(图 3B),IL-10(图 3C)和TNF-α(图 3D)。然而,通过以浓度依赖性方式施用青蒿琥酯,由肺炎克雷伯杆菌诱导引起的这些促炎细胞因子的升高显著降低。这些结果表明青蒿琥酯干预阻止了在重症肺炎状态下促炎细胞因子的释放。
|
| 肺炎克雷伯杆菌诱导显著增加促炎细胞因子的产生,包括IL-1(A),IL-6(B),IL-10(C)和TNF-α(D) 图 3 不同分组大鼠支气管肺泡中炎症因子的表达 Figure 3 Expression of inflammation cytokines in rats in different groups |
|
|
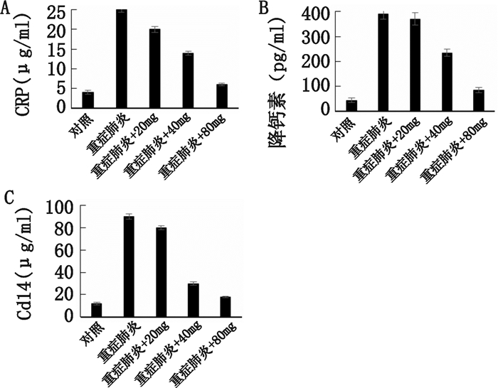
肺炎克雷伯杆菌诱导增加这些重症肺炎标志物,包括CRP(图 4A),降钙素原(图 4B),IL-14(图 4C)。这些分子的增加被青蒿琥酯浓度增高而显著抑制。这些结果表明青蒿琥酯对肺炎克雷伯杆菌诱导的大鼠重症肺炎具有潜在的抑制作用。
|
| 肺炎克雷伯杆菌诱导增加这些重症肺炎标志物,包括CRP(A),降钙素原(B),CD14(C) 图 4 不同分组大鼠重症肺炎标志物的表达 Figure 4 Expression of inflammatory markers in rats in different groups |
|
|
研究已经报道MIF可以调节革兰阴性细菌感染中细胞因子的级联产生,并诱导促炎功能[8],并且研究认为MIF作为感染性疾病的重要预测因子[9]。为了进一步评估青蒿琥酯对肺炎克雷伯杆菌诱导的重症肺炎的作用,本研究中检测了差异处理的重症肺炎大鼠的血浆和支气管肺泡灌洗液中的MIF水平。如图 5所示,肺炎克雷伯杆菌诱导显著增加血浆(图 5A)和支气管肺泡灌洗液(图 5B)中MIF的产生。然而,通过青蒿琥酯以浓度依赖性方式的干预,MIF产生的增加被显著抑制。
|
| 肺炎克雷伯杆菌诱导增加血浆(A)和支气管肺泡灌洗液(B)中MIF的产生。青蒿琥酯以浓度依赖性方式的干预减少MIF产生 图 5 青蒿琥酯对不同分组大鼠重症肺炎MIF的影响 Figure 5 Effects of artesunate on MIF expression in rats in different groups |
|
|
为了进一步评估青蒿琥酯对肺炎克雷伯杆菌诱导的重症肺炎大鼠的作用,根据先前的报告[10],在差异处理的重症肺炎大鼠中对比青蒿琥酯对肺炎克雷伯杆菌诱导的重症肺炎的保护作用。我们观察到,与未处理的重症肺炎组大鼠相比,青蒿琥酯干预显著改善了肺炎克雷伯杆菌诱导的重症肺炎大鼠的存活率(图 6)。
|
| 未处理的重症肺炎组大鼠相比,青蒿琥酯干预显著改善了肺炎克雷伯杆菌诱导的重症肺炎大鼠的存活率 图 6 青蒿琥酯治疗改善重症肺炎大鼠存活率 Figure 6 Survival analysis of rats treated by artesunate in different groups |
|
|
重症肺炎是危重患者高发病率和病死率的主要原因。肺炎克雷伯杆菌诱导的重症肺炎大鼠已被证明是典型的重症肺炎模型,呼吸功能障碍是预后的关键决定因素。本研究证实青蒿琥酯对肺炎克雷伯杆菌诱导的重症肺炎大鼠具有保护作用,证据是大鼠的肺组织中炎症细胞浸润、形态破坏、肺水肿的减轻。本研究结果表明青蒿琥酯可能是重症肺炎减弱炎症浸润的潜在治疗方法。
在本研究中,为了研究青蒿琥酯对肺炎克雷伯杆菌诱导的重症肺炎的影响,通过肺炎克雷伯杆菌建立了大鼠的重症肺炎的模型。由于其广泛的适用性、良好的可重复性和高稳定性,肺炎克雷伯杆菌诱导的重症肺炎模型目前被认为是重症肺炎相关研究的黄金标准。证据表明动物在肺炎克雷伯杆菌感染后24~96 h表现出肺损伤、炎症细胞浸润[10-12]。
重症肺炎大鼠模型的特征在于肺水肿和炎症细胞浸润[7],并且是大鼠死亡的主要原因。以前的研究已经证明青蒿琥酯具有潜在的抗细菌活性。因此,在本研究中观察到青蒿琥酯治疗可以显着减少细菌负荷(图 5),并减少重症肺炎的几种诊断生物标志物的水平,包括CRP(图 4A),降钙素原(图 4B),CD14(图 4C)。这些结果表明青蒿琥酯可以保护大鼠减轻肺炎克雷伯杆菌诱导的重症肺炎。此外,由大量炎性细胞浸润和细胞因子产生引起的未受控的肺部炎症在重症肺炎的过程中也起重要作用,这些过度炎症反应可直接损害肺组织。青蒿琥酯可以减少由肺炎克雷伯杆菌诱导引起的炎性细胞因子的产生,并保护肺组织免受由炎症引起的损伤,例如降低肺MPO活性(图 2B)和炎症细胞浸润(图 2A)。
MIF已经成为炎症反应的重要介质,并参与重症肺炎的发展。在输注LPS后,MIF增加了致死率,而MIF敲除大鼠在LPS攻击后显示改善的存活率[13-15]。这些证据表明MIF可能是重症肺炎治疗的靶点。因此,我们发现与未治疗的重症肺炎大鼠相比,青蒿琥酯治疗可以降低血清中MIF的浓度。这些结果表明青蒿琥酯通过抑制MIF这一体内和体外的重要炎症介质的产生,减弱肺炎克雷伯杆菌诱导的重症肺炎损伤。
| [1] | 张耀亭, 殷建团, 杨松, 等. 经纤维支气管镜导管介入治疗社区获得性重症肺炎[J]. 临床肺科杂志, 2010, 15(12): 1725-1727. DOI:10.3969/j.issn.1009-6663.2010.12.020 |
| [2] | 黄光举, 张慧玉, 田玲, 等. 血清IL-6、TNF-α、IL-10的动态监测在儿童重症肺炎中的意义[J]. 中华实验诊断学, 2015, 19(6): 1010-1011. |
| [3] | Efferth T, Kaina B. Toxicity of the antimalarial artemisinin and its dervatives[J]. Crit Rev Toxicol, 2010, 40(5): 405-421. DOI:10.3109/10408441003610571 |
| [4] | Smith SE, Toledo AA, Massey JB, et al. Anti-malarial agent artesunate inhibits TNF-alpha-induced production of proinflammatory cytokines via inhibition of NF-kappaB and PI3 kinase/Akt signal pathway in human rheumatoid arthritis fibroblast-like synoviocytes[J]. Rheumatology, 2007, 46(6): 920-926. DOI:10.1093/rheumatology/kem014 |
| [5] | Li B, Zhang R, Li J, et al. Antimalarial artesunate protects sepsis model mice against heat-killed Escherichia coli challenge by decreasing TLR4, TLR9 mRNA expressions and transcription factor NF-kappa B activation[J]. Int Immunopharmacol, 2008, 8(3): 379-389. DOI:10.1016/j.intimp.2007.10.024 |
| [6] | Calandra T, Froidevaux C, Martin C, et al. Macrophage migration inhibitory factor and host innate immune defenses against bacterial sepsis[J]. J Infect Dis, 2003, 187 Suppl 2: S385-390. DOI:10.1086/374752 |
| [7] | 陈业民, 黄文杰, 李胜利, 等. 肺炎克雷伯菌致大鼠重症肺炎模型的建立[J]. 第一军医大学学报, 2005, 25(12): 1498-1502. DOI:10.3321/j.issn.1673-4254.2005.12.009 |
| [8] | Zhao D, Zhang J, Xu G, W Q, et al. Artesunate Protects LPS-Induced Acute Lung Injury by Inhibiting TLR4 Expression and Inducing Nrf2 Activation[J]. Inflammation, 2017, 40(3): 798-805. DOI:10.1007/s10753-017-0524-6 |
| [9] | Calandra T, Bernhagen J, Mitchell RA, et al. The macrophage is an important and previously unrecognized source of macrophage migration inhibitory factor[J]. J Exp Med, 1994, 179(6): 1895-1902. DOI:10.1084/jem.179.6.1895 |
| [10] | Baugh JA, Bucala R. Macrophage migration inhibitory factor[J]. Crit Care Med, 2002, 30(1 Suppl): S27-35. |
| [11] | Cheng PY, Lee YM, Wu YS, et al. Protective effect of baicalein against endotoxic shock in rats in vivo and in vitro[J]. Biochem Pharmacol, 2007, 73(6): 793-804. DOI:10.1016/j.bcp.2006.11.025 |
| [12] | Holdsworth RJ. Regeneration of the spleen and splenic antotransplan-tation[J]. Br J Surg, 1991, 78(3): 270. DOI:10.1002/bjs.1800780305 |
| [13] | Bozza FA, Gomes RN, Japiassú AM, et al. Macrophage migration inhibitory factor levels correlate with fatal outcome in sepsis[J]. Shock, 22(4): 309-313. DOI:10.1097/01.shk.0000140305.01641.c8 |
| [14] | 陈淼, 林晓军, 张红璇, 等. 降钙素原和C反应蛋白在肺炎合并脓毒血症中的意义[J]. 中华急诊医学杂志, 2017, 26(7): 807-810. DOI:10.3760/cma.j.issn.1671-0282.2017.07.017 |
| [15] | Zhang HW, Wei LY, Zhao G, et al. Periplaneta americana extract used in patients with systemic inflammatory response syndrome[J]. World J Emerg Med, 2016, 7(1): 50-54. DOI:10.5847/wjem.j.1920-8642.2016.01.009 |
2017, Vol. 26



