ICU内的重症患者经常出现昏迷,昏睡以及谵妄等脑功能障碍的表现[1-3], 这些表现的严重程度以及生化指标与患者的预后存在密切关系[4-5],往往很难单纯通过临床症状以及检验手段如神经元特异性烯醇化酶(NSE)以及S100β等予以分级[6],而脑电监测则为医师判断重症患者的大脑功能状态提供了新的工具[7]。神志障碍的重症患者的脑电监测中经常可发现一些特殊的波形,如三相波,爆发-抑制以及痫样波等[8-9],并且可以按照不同的评分标准予以评分(如Synek评分以及Young评分),见表 1。这些特殊的波形以及评分分值可能预示着脑功能的不同状态,而不同的脑功能状态则影响着患者的预后[10],但目前仍缺乏足够的证据阐明脑电的不同结论与患者预后的关系。本研究的目标是通过分析神志障碍的重症患者的脑电监测图谱,获得大脑电活动情况并分析其与患者28 d病死率的关系。
| 得分 | Synek评分 | Young评分 |
| 0 | 正常脑电图 | 正常脑电图 |
| 1 | α波主导伴或不伴Delta或Theta波 | Theta波主导 |
| 2 | Delta或Theta波主导伴α波 | Delta波主导 |
| 3 | Delta或Theta波主导伴α波 | 三相波主导 |
| 4 | 低波幅Delta波,爆发-抑制,α昏迷,Theta昏迷,PD,痫样放电,脑电活动广泛低波幅 | 抑制 |
| 5 | 电静息 |
本研究选取了湘雅医院中心ICU自2014年1月自2015年12月收住的存在意识障碍的患者,由各患者的医疗组长决定是否行脑电监测明确大脑电活动状况。排除标准:年龄 < 18岁,监测期间因病情变化再次手术,患者预后不明确病例。共有67例患者行脑电监测,其中2例患者因年龄因素剔除,7例患者因病情变化剔除,最终有58例患者入选。
1.2 基本指标收集患者的一般情况,如年龄,性别,原发疾病,既往病史,是否存在癫痫和APACHE Ⅱ评分。
1.3 预后评估患者的预后包括入ICU后28 d病死率以及随访至2016年3月1日患者的生存状态,转归包括清醒,嗜睡,昏迷以及死亡,并将患者出现GCS < 8分的昏迷以及死亡均定义为预后差。
脑电监测记录以及分析脑电监测自各医疗组组长认为患者需行脑电监测起即行放置,选用的脑电仪器型号为:上海诺诚脑电监测平台(mfile 020407版),安放标准遵循Guidelines of the International Federation of Clinical Neurophysiology for the use of EEG in the ICU。部分患者由于头部存在伤口或其他原因放置8导导联脑电监测,其余患者均行16导联脑电监测,行8导导联脑电监测时,如有一个电极(不含)以上脱落时,则脑电监测自动中止;行16导导联监测时,如有两个电极(不含)以上脱落时,则脑电监测自动中止。脑电监测过程中如出现特殊波形(如痫性波,PD以及三相波)则标记并记录。脑电监测结束后由本科室的两位不负责患者临床工作的医师共同按照Synek评分以及Young评分予以评分,分析波形并记录,如有结论冲突,则请本院脑电图室的医师共同评定。
1.4 统计学方法以SPSS 23.0录入以及统计数据。计量资料采用均数±标准差(x±s)表示, 组间比较采用成组t检验。生存资料采用Kaplan-Meier法及Cox回归模型进行分析,以P < 0.05为差异有统计学意义。
2 结果 2.1 基本情况比较共有58例脑电监测患者最终入选,28 d内共死亡25例患者,中位随访时间为7.3个月,10例患者存在GCS < 8分的昏迷,9例患者嗜睡,14例患者最终清醒,预后差的患者共计35例,占所有患者的60.3%, 其中死亡25例,10例患者最终GCS评分小于8分,33例患者使用抗癫痫药物治疗,28例患者在监测期间行镇静镇痛治疗。
2.2 脑电监测资料本研究共纳入58例患者,其中男性35例,女性23例,在原发疾病组成中,颅脑外伤14例,脓毒症20例,心肺复苏术后17例,其他7例,APACHE Ⅱ评分(21.26±7.39),NSE水平(24.98±11.89)ng/ mL,S100β水平(0.46±0.67)μg/L。20例患者使用8导导联进行监测,38例患者使用16导导联进行监测,监测时间为(7.27±7.28) h,5例患者监测期间出现抽搐,51例患者的脑电监测存在异常,24例患者的脑电监测中存在三相波等特殊波形,其中三相波2例, 周期样放电7例,痫样波7例,爆发-抑制2例,43例患者出现不同程度的脑电节律减慢,部分波形见图 1-图 4,脑电监测异常的患者S100β水平较正常患者更高;见表 2,脑电监测的平均Young评分为(3.03±1.43),Synek评分为(2.51±1.68)。
|
| 患者因CO中毒,深度昏迷入院,GCS=3分,脑电监测提示电静息 图 1 39岁女性 Figure 1 39-year-old female |
|
|
|
| CPR22 min,脑电监测提示大量三相波出现 图 2 81岁男性 Figure 2 81-year-old male |
|
|
|
| 脑梗死,脑电监测提示爆发-抑制波形 图 3 84岁男性 Figure 3 84-year-old male |
|
|
|
| 癫痫、CPR17 min,脑电监测提示痫性放电 图 4 33岁女性 Figure 4 33-year-old male |
|
|
| 指标 | 脑电阳性患者(倒数) | 脑电阴性患者(倒数) | t值 | P值 |
| S100β(μg/L) | 0.79±0.93 | 0.21±0.15 | 3.232 | 0.001 |
| NSE(ng/ ml) | 29.09±14.59 | 23.70±11.15 | 0.676 | 0.649 |
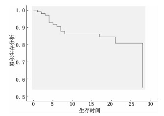
入选患者28 d内共死亡25例,死亡原因分别为多器官功能障碍10例,循环衰竭11例以及中枢功能障碍导致的死亡4例。对58例患者进行COX分析之后发现,患者APACHE Ⅱ评分[OR: 1.08; (95% CI:1.03 to 1.14)]、Synek评分>2[OR: 0.17; (95% CI: 0.03 to 0.80)]、是否出现痫样波[OR: 23.70; (95% CI: 2.02 to 277.73)]以及电节律减慢[OR:8.54; (95% CI :1.72 to 42.32)]与患者的28 d病死率独立相关,见表 3,其生存曲线见图 5。
| 因素 | B | SD | Wald | 单因素P值 | 多因素分析 | |||
| P值 | OR | 95%CI | ||||||
| 下限 | 上限 | |||||||
| APACHE Ⅱ | .082 | .026 | 8.820 | .001 | .003 | 1.083 | 1.027 | 1.141 |
| Synek > 2 | -1.793 | .803 | 4.988 | .011 | .026 | .166 | .034 | .803 |
| 痫样波 | 3.165 | 1.256 | 6.353 | .004 | .012 | 23.695 | 2.022 | 277.732 |
| 电节律减慢 | 2.145 | .817 | 6.901 | .002 | .009 | 8.542 | 1.724 | 42.324 |
| Delta波明显增加 | -1.065 | .700 | 2.312 | .034 | .128 | - | - | - |
| 非惊厥样癫痫 | -2.366 | 1.598 | 2.192 | .046 | .139 | - | - | - |
| S100β | .640 | .380 | 2.847 | .021 | .092 | - | - | - |
|
| 图 5 脑电监测患者的生存曲线 Figure 5 Kaplan-Meier survival curves of patients with EEG monitoring |
|
|
在本研究中,脑电监测中出现痫样波与患者的病死率独立相关,共有7例患者的脑电监测中发现了痫样波的存在,其中2例患者表现为非惊厥性癫痫,5例患者表现为伴有明显抽搐的癫痫发作,出现抽搐的患者即由当班医师加用抗癫痫药物控制癫痫,而非惊厥性癫痫发作的患者在次日调整了抗癫痫药物,7例出现痫样波的患者最终死亡2例,其余患者均存在GCS < 8分的昏迷,出现痫样波患者的预后明显较之未出现痫样波患者的更差。Oddo等[11]针对脓毒症患者脑电监测的研究中得到了类似的结果,在该项研究中,约10%的患者出现了痫样波,这部分患者的病死率为43%,对比未出现痫样波患者的病死率(22%)差异有统计学意义。
电节律减慢同样与患者病死率独立相关,在43例电节律减慢的患者中,有28例患者大脑电活动明显抑制,5例患者脑电活动提示电静息,意味着患者大脑皮层的活动可能受到了抑制甚至可能意味着更深部的大脑结构如间脑以及基底神经节的病变[12]。背景波的减慢,特别是以theta/delta波为主的背景波与预后变差相关,如脓毒症脑病患者的脑电图早期的表现即为基础节律的减慢[13],这种脑电节律的减慢甚至有可能早于患者的临床症状出现。如在最近的一例包含43例发生SAE的重症患者的研究中,12%的患者(5/43)在脓毒症脑病的早期即出现了脑电波的减慢,临床均表现为神志不同程度的障碍[14]。
本次研究电节律减慢的患者中,24例(55.8%)的患者使用了镇静镇痛药物,在Kurtz等[15]的研究中,镇静镇痛药物的使用与脑电反应性的下降显著相关,而下降的脑电反应性可能与患者的预后变差尤其是死亡相关,这一点在Schramm等[16]的研究中也得到了证实。由于条件的限制,在本次研究中并未行系统的脑电反应性的统计,仅在6例患者中进行了尝试性的研究。在6例进行脑电反应性测试的患者中,2例脑电反应性消失,而脑电反应性消失的患者最终预后均为死亡,从侧面反映了脑电反应性对于评估患者预后的潜在价值。
在本研究中Synek评分> 2与患者死亡独立相关。Synek评分>2意味着在患者的脑电监测中至少存在下列异常波形之一,如delta波为主波,无α波存在,爆发抑制,痫性波等等。在Eric Azabou等研究中也得到了类似的结论,患者脑电Synek评分> 2与患者的病死率独立相关[17]。在本研究中,特殊波形除痫性波外均未表现出与患者病死率明确的相关性,但是在其他学者的研究中,一些特殊波形的出现可能预示着更差的预后。如在ICU患者中,三相波多见于肝衰竭以及多器官功能衰竭的患者,但是在未合并器官功能衰竭的脓毒症患者也多有发现[18],本研究中发现2例(3.45%)患者出现三相波,2例患者均死亡。在针对多病种重症患者的研究中,三相波出现的概率从4%~22%不等[19],且有两例研究发现三相波与中枢功能衰竭的严重程度以及病死率相关[20-21]。在本研究中,2例患者出现爆发-抑制波形,2例患者均死亡,而在Watson等[22]针对125例行脑电监测的ICU患者的研究中,39%的患者(49/125)出现脑电爆发-抑制,并与患者6个月病死率独立相关。这些特殊波形的出现,意味着大脑功能的进一步损害,如基底节区以及间脑的损害,并与脑部影像学的急性缺血损伤的表现相关。
本研究通过对综合ICU内存在意识障碍的患者进行脑电监测时发现,在58例患者中,7例患者存在PD,7例患者存在痫样放电,2例患者存在NCS,存在NCS的患者均为脑外伤后昏迷患者,入ICU前均存在癫痫病史,存在NCS的患者远期预后均差(昏迷评分 < 8分或死亡)。本研究中NCS的发生率比其他研究报告发生率较低(3.45%vs.12%)[24], 一个可能的原因是本研究中行脑电监测的平均监测时间较短,且有超过一半的患者均行镇静镇痛以减少痫性放电的可能。而有学者认为,小于12 h的脑电监测可能会漏过多达65%的痫样放电[24]。但相似的是,出现NCS的患者预后均差,在Bauer的研究中,NCS的出现,是患者预后差的独立相关因素(P=0.046) [23],而在我们的研究中,NCS在单因素分析中与患者28 d病死率相关,但没有进入多元素分析。考虑到前文所述的干扰,NCS的出现,有可能是患者预后变差的相关因素。同样在单因素分析中与病死率相关而没有进入多因素分析的还有Delta波的明显增加,而Delta波的明显增加则可能意味着皮层或者皮层下白质存在局限性病灶(功能障碍或者结构异常),往往意味着患者的脑部病变位置较深,脑功能受疾病影响较大,可能与患者的死亡存在一定关系。
NSE以及S100β均是近年来研究较多的脑病患者的生化指标, NSE特异性地存在于神经元和神经内分泌细胞中,而S100β蛋白主要存在于神经胶质细胞和施万细胞,当患者出现中枢系统损害,血脑屏障受损,二者则从受损神经元细胞中释放穿过受损血脑屏障入血。有学者认为二者水平升高均与患者预后变差密切相关[25-26],有研究[6]通过统计112例脓毒症患者的血清NSE以及S100β水平后发现,在脓毒症患者的诊断以及预后判断上,S100β较之NSE敏感性更高。在本研究中,脑电监测显示阳性结论的患者,S100β水平较脑电监测正常的患者更高且差异有统计学意义,而NSE差异无统计学意义,这提示S100B可能较之NSE更敏感的反映了患者大脑情况的变化,也从侧面印证了Yao等的研究。尽管在生存分析中S100β没有进入多因素分析,但在单因素分析中仍然与患者的病死率相关(P=0.021), 而NSE未体现出与病死率的相关性,这也从另外一个角度体现了S100β在判断患者预后上的价值。
| [1] | Gholipour C, Rad BS, Vahdati SS, et al. Evaluation of preventable trauma death in emergency[J]. World J Emerg Med, 2016, 7(2): 135. DOI:10.5847/wjem.j.1920-8642.2016.02.009 |
| [2] | 王力军, 余慕明, 柴艳芬. 天津地区成人急诊患者横断面研究分析[J]. 中华急诊医学杂志, 2017, 26(1): 96-102. DOI:10.3760/emn.j.issn.1671-0282.2017.01.019 |
| [3] | Roodsari GS, Chari G, Mera B, et al. Can patients with non-convulsive seizure be identified in the emergency department?[J]. World J Emerg Med, 2017, 8(3): 190. DOI:10.5847/wjem.j.1920-8642.2017.03.005 |
| [4] | 仲冬, 花嵘, 张咏梅, 等. IL-17A在创伤性脑损伤后炎症反应中的作用[J]. 中华急诊医学杂志, 2016, 25(12): 1237-1243. DOI:10.3760/cma.j.issn.1671-0282.2016.12.005 |
| [5] | Ely EW, Shintani A, Truman B, et al. Delirium as a predictor of mortality in mechanically ventilated patients in the intensive care unit[J]. JAMA, 2004, 291(14): 1753-1762. DOI:10.1123/1667283635172 |
| [6] | Yao B, Zhang LN, Ai YH, et al. Serum S100β is a better biomarker than neuron-specific enolase for sepsis-associated encephalopathy and deterIL-17Amining its prognosis: a prospective and observational study[J]. Neurochem Res, 2014, 39(7): 1263-1269. DOI:10.1007/s11064-014-1308-0 |
| [7] | Claassen J, Taccone FS, Horn P, et al. Recommendations on the use of EEG monitoring in critically ill patients: consensus statement from the neuro-intensive care section of the ESICM[J]. Intensive Care Med, 2013, 39(8): 1337-1351. DOI:10.1007/s00134-013-2938-4 |
| [8] | Foreman B, Claassen J, Abou Khaled K, et al. Generalized periodic discharges in the critically ill: a case control study of 200 patients[J]. Neurology, 2012, 79(19): 1951-1960. DOI:10.1022/s111102-002-1221-1 |
| [9] | Sutter R, Stevens RD, Kaplan PW. Clinical and imaging correlates of EEG patterns in hospitalized patients with encephalopathy[J]. J Neurol, 2013, 260(4): 1087-1098. DOI:10.1007/s10735-013-9514-7 |
| [10] | Escobedo LV, Habboushe J, Kaafarani H. Traumatic brain injury: A case-based review[J]. World J Emerg Med, 2016, 2(4): 245-252. DOI:10.5847/wjemj.1920-8642.2016.04.001 |
| [11] | Oddo M, Carrera E, Claassen J, et al. Continuous electroencepha-lography in the medical intensive care unit[J]. Crit Care Med, 2009, 37(6): 2051-2056. DOI:10.1016/CCM.2009.06.025.10.2174/1381612821666150803151758 |
| [12] | Hosokawa K, Gaspard N, Su F, et al. Clinical neurophysiological assessment of sepsis-associated brain dysfunction: a systematic review[J]. Crit Care, 2014, 18(6): 674-686. DOI:10.1186/s13054-014-0674-y |
| [13] | Chaudhry N, Duggal AK. Sepsis associated encephalopathy[J]. Adv Med, 2014, 10(1): 20-36. DOI:10.1161/AIM<109.888784 |
| [14] | Polito A, Eischwald F, Maho AL, et al. Pattern of brain injury in the acute setting of human septic shock[J]. Crit Care, 2013, 17(5): R204. DOI:10.1016/CC.2008.10.011 |
| [15] | Kurtz P, Gaspard N, Wahl AS, et al. Continuous electroencephalography in a surgical intensive care unit[J]. Intensive Care Med, 2014, 40(2): 228-234. DOI:10.1016/S0735-1097(00)00708.7 |
| [16] | Schramm P, Klein KU, Falkenberg L, et al. Impaired cerebrovascular autoregulation in patients with severe sepsis and sepsis-associated delirium[J]. Crit Care, 2012, 16(5): R181. DOI:10.1016/CC.2012.01.013 |
| [17] | Sutter R, Stevens RD, Kaplan PW. Clinical and imaging correlates of EEG patterns in hospitalized patients with encephalopathy[J]. J Neurol, 2013, 260(4): 1087-1098. DOI:10.4049/RSAA01.180.10.6954 |
| [18] | Straver JS, Keunen RW, Stam CJ, et al. Nonlinear analysis of EEG in septic encephalo-pathy[J]. Neurol Res, 1998, 20(2): 100-106. DOI:10.1080/01616412.1998.11740490 |
| [19] | Young GB, Bolton CF, Archibald YM, et al. The electroencephalogram in sepsis-associated encephalopathy[J]. J Clin Neuro physiol, 1992, 9(1): 145-152. DOI:10.1022/S0755-1011(00)00711.9 |
| [20] | Sutter R, Stevens RD, Kaplan PW. Significance of triphasic waves in patients with acute encephalopathy: A nine-year cohort study[J]. Clin Neuro physiol, 2013, 124(10): 1952-1958. |
| [21] | Polito A, Eischwald F, Maho AL, et al. Pattern of brain injury in the acute setting of human septic shock[J]. Crit Care, 2013, 17: R204. DOI:10.1112/CC.2013.10.010 |
| [22] | Watson PL, Shintani AK, Tyson R, et al. Presence of electroencephalogram burst suppression in sedated, critically ill patients is associated with increased mortality[J]. Crit Care Med, 2008, 36(12): 3171-3177. DOI:10.1097/CCM.0b013e318186b9ce |
| [23] | Kurtz P, Gaspard N, Wahl AS, et al. Continuous electroencephalography in a surgical intensive care unit[J]. Intensive Care Med, 2014, 40(2): 228-234. DOI:10.1007/s00134-013-3149-8 |
| [24] | Oddo M, Taccone FS. How to monitor the brain in septic patients[J]. Minerva Anestesiol, 2015, 81(7): 776-788. DOI:10.1041/Cs20070379 |
| [25] | Gao J, Zheng Z. Development of prognostic models for patients with traumatic brain injury: a systematic review[J]. Int J Clin Exp Med, 2015, 8(11): 19881-19885. DOI:10.1691/IJCEM.2014.4598 |
2017, Vol. 26



