2. 重庆市万州区第一人民医院急诊医学科,重庆 404000;
3. 天津医科大学口腔医院急诊医学科,天津 300070;
4. 重庆三峡医药高等专科学校附属人民医院急诊医学科,重庆 404000;
5. 重庆三峡医药高等专科学校附属中医院急诊医学科,重庆 404000;
6. 重庆市万州区上海医院急诊医学科,重庆 404020
2. Department of Emergency Medicine, The First People's Hospital of Wanzhou District, Chongqing 404000, China;
3. Department of Emergency Medicine, Stomatological Hospital of Tianjin Medical University, Tianjin 300070, China;
4. Department of Emergency Medicine, Affiliated People's Hospital of Chongqing Three Gorges Medical College, Chongqing 404000, China;
5. Department of Emergency Medicine, Affiliated Traditional Chinese Medicine Hospital of Chongqing Three Gorges Medical College, Chongqing 404000, China;
6. Department of Emergency Medicine, Shanghai Hospital of Wanzhou District, Chongqing 404020, China
急性中毒是指人体在短时间内经由皮肤、黏膜、呼吸道、消化道等一种或多种途径接触毒物或超过中毒剂量的物质,导致机体内环境紊乱,引起器官功能障碍[1],是全球重大公共卫生健康问题[2]。世界卫生组织2021年数据增编估计,2019年仅因接触特定化学品引起的中毒就造成200万人死亡并损失5 300万伤残调整寿命年[3]。《2024中国卫生健康统计年鉴》[4]报告,中毒和损伤是继脑血管疾病、心脏病、恶性肿瘤、呼吸系统疾病之后的我国第五大死因。急性中毒作为急诊常见急重症之一,约占同期急诊患者的2.7%~3.6%,并呈逐渐上升趋势[5],其中,4%~40%的急性中毒患者需要送入重症监护室(intensive care unit, ICU)[6],在ICU全部住院患者中,需要生命支持的重症急性中毒患者占比高达6%,病死率约4.5%~7.2%[7-8]。
急性中毒不仅是临床救治问题,同时也是公共卫生与社会安全问题,其有效防治依赖于可靠的流行病学资料。然而,我国目前尚缺乏大规模流行病学调查[9],且由于地域辽阔、地理环境各异、经济水平不均、文化背景不同等原因,中毒特征存在明显的地区差异。重庆市万州区地处三峡库区腹地,兼具山地丘陵地形与工农并重的产业格局,其急性中毒现状有待明确。为系统了解其急性中毒特点,为精准防控提供循证依据,本研究回顾性分析了2020至2024年万州区各大医院急诊收治的急性中毒患者临床资料。
1 资料与方法 1.1 研究对象基于ICD-10疾病编码,利用医院急诊病历信息管理系统,回顾性收集2020年1月至2024年12月重庆市万州区第一人民医院、重庆三峡医药高等专科学校附属人民医院、重庆三峡医药高等专科学校附属中医院、重庆市万州区上海医院急诊收治的各类急性中毒患者资料。纳入标准:24 h内因急性暴露于有毒物质、酒精、药物、有毒动植物、化学毒物、职业、生活或环境毒素、生物制剂等产生不良健康影响而急诊就诊的患者。排除标准:(1)慢性中毒患者;(2)病史不详、临床资料缺失者。本研究为回顾性研究,研究方案符合1964年《赫尔辛基宣言》及后来修正案的伦理学标准,已获得重庆市万州区第一人民医院伦理委员会批准(审查编号:2025LL-KY001)。
1.2 研究内容收集入组患者的性别、年龄、职业(工人/农民/学生/不详)、住址(城镇/农村)、中毒原因(意外/自杀/职业接触)、毒物种类(1种/2~4种/≥5种)、中毒途径(经口/吸入/皮肤黏膜接触/动物致伤/静脉注射)、就诊时间(min)、生命体征、急诊诊治(洗胃/吸附/导泄/全肠道灌洗/补液/利尿/气管插管/机械通气/特效解毒剂)、转归(急诊留观/普通病房住院/ICU住院/离院/转院/死亡)、来院途径(自行来院/120来院/外院转入)及临床诊断。根据具体中毒毒物及当地常见中毒原因进行一级及二级诊断分类:急性酒精中毒、药物类中毒(抗精神病药物/镇静催眠药物/其他药物)、植物类中毒(蘑菇/乌头类/其他植物)、动物类中毒(蛇咬伤/蜂蜇伤/其他动物)、农药中毒(有机磷杀虫剂/拟菊酯类杀虫剂/百草枯/其他农药)、鼠药中毒、气体类中毒(一氧化碳/其他气体)、其他类中毒(清洁用品/不明原因/其他化学品/混合毒物)。
1.3 统计学方法应用SPSS软件(version 25.00)进行统计学分析,应用OriginPro 2024软件(version 2024 SR1)绘制统计图。定量数据采用Shapiro-Wilk法进行正态性检验,本研究定量数据均为非正态分布,以中位数(四分位数)[M(Q1, Q3)]表示,组间比较采用Kruskal-Wallis H检验。定性数据以例(率)[n(%)]表示,组间比较采用Pearson χ2检验及Fisher精确检验法,当列联表维度太高无法完成Fisher精确检验时,采用Monte Carlo模拟进一步估算。分层分析采用Bonferroni法进行多重比较。以P < 0.05(双侧)为差异有统计学意义。
2 结果 2.1 一般资料特点本研究共纳入急性中毒患者3 035例,其中男性1 883例、女性1 152例,男女比为1.63∶1。中位年龄为40(27, 53)岁,中位就诊时间为60(57.5, 120)min。中毒原因以意外接触为主(2 649例,87.3%),绝大多数为单一毒物暴露(2 902例,95.6%),主要中毒途径为口服(2 463例,81.2%)。急诊干预措施包括洗胃(394例,13.0%)、导泻(51例,1.7%)、补液(2 403例,79.2%)、利尿(17例,0.6%)、气管插管(6例,0.2%)、机械通气(4例,0.1%)及特效解毒剂应用(40例,1.3%),后续自行离院426例(14.0%)、急诊留观1 895例(62.4%)、收治普通病房507例(16.7%)、ICU住院168例(5.5%)、转院35例(1.2%)及急诊死亡4例(0.1%)。各年份详细资料见表 1。统计分析显示,性别、年龄、毒物种类、体温、呼吸频率、舒张压、导泻、利尿、气管插管及特效解毒剂使用在不同年份间差异无统计学意义(P > 0.05);职业、住址、中毒原因、中毒途径、就诊时间、脉搏、收缩压、SpO2、洗胃、补液、机械通气、转归及来院途径在不同年份间差异有统计学意义(P < 0.05)。
| 指标 | 2020年 | 2021年 | 2022年 | 2023年 | 2024年 | 总计 | 统计值 | P值 |
| 性别a | 4.764 | 0.312 | ||||||
| 男性 | 256 (64.8) | 384 (59.3) | 336 (60.9) | 475 (63.8) | 432 (62.1) | 1 883 (62) | ||
| 女性 | 139 (35.2) | 264 (40.7) | 216 (39.1) | 269 (36.2) | 264 (37.9) | 1 152 (38) | ||
| 年龄(岁)b | 40 (29, 51) | 38 (26, 50.75) | 40 (28, 52) | 42 (27, 54) | 39.5 (26, 55) | 40 (27, 53) | 4.904 | 0.297 |
| 职业a | 22.783 | 0.030 | ||||||
| 工人 | 7 (1.8) | 7 (1.1) | 7 (1.3) | 18 (2.4) | 13 (1.9) | 52 (1.7) | ||
| 农民 | 34 (8.6) | 84 (13) | 57 (10.3) | 88 (11.8) | 63 (9.1) | 326 (10.7) | ||
| 学生 | 28 (7.1) | 69 (10.6) | 51 (9.2) | 85 (11.4) | 86 (12.4) | 319 (10.5) | ||
| 不详 | 326 (82.5) | 488 (75.3) | 437 (79.2) | 553 (74.3) | 534 (76.7) | 2 338 (77) | ||
| 住址a | 9.575 | 0.048 | ||||||
| 城镇 | 286 (72.4) | 517 (79.8) | 424 (76.8) | 554 (74.5) | 520 (74.7) | 2 301 (75.8) | ||
| 农村 | 109 (27.6) | 131 (20.2) | 128 (23.2) | 190 (25.5) | 176 (25.3) | 734 (24.2) | ||
| 中毒原因a | 35.492 | < 0.001 | ||||||
| 意外 | 363 (91.9) | 590 (91) | 471 (85.3) | 636 (85.5) | 589 (84.6) | 2 649 (87.3) | ||
| 自杀 | 31 (7.8) | 55 (8.5) | 81 (14.7) | 102 (13.7) | 107 (15.4) | 376 (12.4) | ||
| 职业接触 | 1 (0.3) | 3 (0.5) | 0 (0) | 6 (0.8) | 0 (0) | 10 (0.3) | ||
| 毒物种类a | 11.777 | 0.078 | ||||||
| 1种 | 385 (97.5) | 621 (95.8) | 522 (94.6) | 717 (96.4) | 657 (94.4) | 2902 (95.6) | ||
| 2-4种 | 9 (2.3) | 27 (4.2) | 29 (5.3) | 27 (3.6) | 38 (5.5) | 130 (4.3) | ||
| ≥5种 | 1 (0.3) | 0 (0) | 1 (0.2) | 0 (0) | 1 (0.1) | 3 (0.1) | ||
| 中毒途径a | 45.789 | < 0.001 | ||||||
| 经口 | 316 (80) | 562 (86.7) | 450 (81.5) | 557 (74.9) | 578 (83) | 2 463 (81.2) | ||
| 吸入 | 5 (1.3) | 14 (2.2) | 9 (1.6) | 21 (2.8) | 6 (0.9) | 55 (1.8) | ||
| 皮肤黏膜接触 | 1 (0.3) | 2 (0.3) | 2 (0.4) | 1 (0.1) | 2 (0.3) | 8 (0.3) | ||
| 动物致伤 | 73 (18.5) | 70 (10.8) | 91 (16.5) | 165 (22.2) | 109 (15.7) | 508 (16.7) | ||
| 静脉注射 | 0 (0) | 0 (0) | 0 (0) | 0 (0) | 1 (0.1) | 1 (0) | ||
| 就诊时间(min)b | 60 (30, 120) | 60 (30, 120) | 60 (52.5, 120) | 60 (60, 120) | 60 (41.25, 120) | 60 (50, 120) | 18.536 | 0.001 |
| 生命体征b | ||||||||
| 体温(℃) | 36.6 (36.5, 36.8) | 36.6 (36.4, 36.7) | 36.5 (36.5, 36.7) | 36.5 (36.5, 36.7) | 36.5 (36.5, 36.8) | 36.5 (36.5, 36.7) | 7.967 | 0.093 |
| 脉搏(次/min) | 78 (70, 85) | 78 (75, 85) | 79 (76, 85) | 80 (73, 86) | 80 (74, 86) | 79 (73, 86) | 13.819 | 0.008 |
| 呼吸频率(次/min) | 20 (19, 21) | 20 (19, 20) | 20 (19, 21) | 20 (19, 21) | 20 (19, 21) | 20 (19, 21) | 5.455 | 0.244 |
| 收缩压(mmHg) | 120 (115, 124) | 120 (115, 128) | 120 (114, 126) | 120 (112, 125) | 122 (115, 126) | 120 (115, 126) | 12.388 | 0.015 |
| 舒张压(mmHg) | 76 (70, 80) | 76 (70, 80) | 76 (70, 80) | 75 (70, 80) | 75 (70, 80) | 76 (70, 80) | 3.130 | 0.536 |
| SpO2(%) | 96 (96, 97) | 96 (96, 97) | 96 (96, 97) | 96 (95, 97) | 96 (96, 97) | 96 (96, 97) | 23.035 | < 0.001 |
| 急诊诊治a | ||||||||
| 洗胃 | 22 (5.6) | 77 (11.9) | 69 (12.5) | 109 (14.7) | 117 (16.8) | 394 (13) | 30.882 | < 0.001 |
| 吸附 | 0 (0) | 0 (0) | 0 (0) | 0 (0) | 0 (0) | 0 (0) | - | - |
| 导泄 | 5 (1.3) | 10 (1.5) | 13 (2.4) | 8 (1.1) | 15 (2.2) | 51 (1.7) | 4.604 | 0.330 |
| 全肠道灌洗 | 0 (0) | 0 (0) | 0 (0) | 0 (0) | 0 (0) | 0 (0) | - | - |
| 补液 | 212 (53.7) | 543 (83.8) | 449 (81.3) | 588 (79) | 612 (87.9) | 2404 (79.2) | 198.402 | < 0.001 |
| 利尿 | 5 (1.3) | 5 (0.8) | 3 (0.5) | 2 (0.3) | 2 (0.3) | 17 (0.6) | 5.581 | 0.204 |
| 气管插管 | 1 (0.3) | 4 (0.6) | 0 (0) | 0 (0) | 1 (0.1) | 6 (0.2) | 6.238 | 0.065 |
| 机械通气 | 0 (0) | 4 (0.6) | 0 (0) | 0 (0) | 0 (0) | 4 (0.1) | 7.642 | 0.009 |
| 特效解毒剂 | 3 (0.8) | 15 (2.3) | 6 (1.1) | 8 (1.1) | 8 (1.1) | 40 (1.3) | 6.614 | 0.158 |
| 转归a | 159.514 | < 0.001 | ||||||
| 急诊留观 | 178 (45.1) | 475 (73.3) | 372 (67.4) | 419 (56.3) | 451 (64.8) | 1895 (62.4) | ||
| 普通病房住院 | 92 (23.3) | 57 (8.8) | 83 (15) | 164 (22) | 111 (15.9) | 507 (16.7) | ||
| ICU住院 | 12 (3) | 46 (7.1) | 30 (5.4) | 37 (5) | 43 (6.2) | 168 (5.5) | ||
| 离院 | 104 (26.3) | 66 (10.2) | 57 (10.3) | 115 (15.5) | 84 (12.1) | 426 (14) | ||
| 转院 | 8 (2) | 4 (0.6) | 10 (1.8) | 7 (0.9) | 6 (0.9) | 35 (1.2) | ||
| 死亡 | 1 (0.3) | 0 (0) | 0 (0) | 2 (0.3) | 1 (0.1) | 4 (0.1) | ||
| 来院途径a | 44.036 | < 0.001 | ||||||
| 自行来院 | 336 (85.1) | 475 (73.3) | 395 (71.6) | 558 (75) | 491 (70.5) | 2 255 (74.3) | ||
| 120来院 | 57 (14.4) | 169 (26.1) | 148 (26.8) | 170 (22.8) | 184 (26.4) | 728 (24) | ||
| 外院转入 | 2 (0.5) | 4 (0.6) | 9 (1.6) | 16 (2.2) | 21 (3) | 52 (1.7) | ||
| 注:a为(例,%),b为[M(Q1, Q3)],-表示无相关数据;SpO2为经皮动脉血氧饱和度,ICU为重症监护室;1 mmHg=0.133 kPa | ||||||||
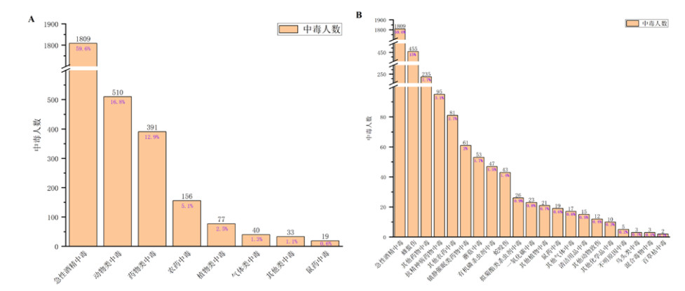
如图 1所示,急性酒精中毒是中毒病例数最多的类型,共1 809例(59.6%)。一级诊断中排名前3位的类型还包括:动物类中毒(510例,16.8%)和药物类中毒(391例,12.9%)。在二级诊断中,排名前5位的类型还有:蜂蛰伤(455例,15.0%)、其他药物中毒(235例,7.7%)、抗精神病药物中毒(95例,3.1%)和其他农药中毒(81例,2.7%)。各年份急性中毒具体类型的病例分布见表 2。
|
| 注:A为急性中毒一级诊断类型;B为急性中毒二级诊断类型 图 1 重庆市万州区2020—2024年急性中毒一级及二级诊断类型分布 Fig 1 Distribution of acute poisoning by level of diagnosis in Wanzhou District, Chongqing, 2020–2024 |
|
|
| 中毒类型 | 2020年 | 2021年 | 2022年 | 2023年 | 2024年 | 总计 |
| 急性酒精中毒 | 245(62) | 436(67.3) | 318(57.6) | 392(52.7) | 418(60.1) | 1 809(59.6) |
| 药物类中毒 | 38(9.6) | 80(12.3) | 65(11.8) | 97(13) | 111(15.9) | 391(12.9) |
| 抗精神病药物 | 8(2) | 19(2.9) | 12(2.2) | 27(3.6) | 29(4.2) | 95(3.1) |
| 镇静催眠药物 | 9(2.3) | 10(1.5) | 11(2) | 16(2.2) | 15(2.2) | 61(2) |
| 其他药物 | 21(5.3) | 51(7.9) | 42(7.6) | 54(7.3) | 67(9.6) | 235(7.7) |
| 植物类中毒 | 9(2.3) | 11(1.7) | 14(2.5) | 30(4.0) | 13(1.9) | 77(2.5) |
| 蘑菇 | 5(1.3) | 6(0.9) | 11(2) | 28(3.8) | 3(0.4) | 53(1.7) |
| 乌头类 | 1(0.3) | 0(0) | 0(0) | 0(0) | 2(0.3) | 3(0.1) |
| 其他植物 | 3(0.8) | 5(0.8) | 3(0.5) | 2(0.3) | 8(1.1) | 21(0.7) |
| 动物类中毒 | 74(18.7) | 70(10.8) | 92(16.7) | 165(22.2) | 109(15.7) | 510(16.8) |
| 蛇咬伤 | 2(0.5) | 8(1.2) | 12(2.2) | 9(1.2) | 12(1.7) | 43(1.4) |
| 蜂蜇伤 | 62(15.7) | 62(9.6) | 79(14.3) | 155(20.8) | 97(13.9) | 455(15) |
| 其他动物 | 10(2.5) | 0(0) | 1(0.2) | 1(0.1) | 0(0) | 12(0.4) |
| 农药中毒 | 22(5.6) | 34(5.2) | 42(7.6) | 30(4.0) | 28(4.0) | 156(5.1) |
| 有机磷杀虫剂 | 8(2) | 9(1.4) | 12(2.2) | 11(1.5) | 7(1) | 47(1.5) |
| 拟菊酯类杀虫剂 | 5(1.3) | 9(1.4) | 7(1.3) | 2(0.3) | 3(0.4) | 26(0.9) |
| 百草枯 | 0(0) | 0(0) | 1(0.2) | 1(0.1) | 0(0) | 2(0.1) |
| 其他农药 | 9(2.3) | 16(2.5) | 22(4) | 16(2.2) | 18(2.6) | 81(2.7) |
| 鼠药中毒 | 1(0.3) | 3(0.5) | 5(0.9) | 6(0.8) | 4(0.6) | 19(0.6) |
| 气体类中毒 | 3(0.8) | 6(0.9) | 7(1.3) | 18(2.4) | 6(0.9) | 40(1.3) |
| 一氧化碳 | 1(0.3) | 6(0.9) | 5(0.9) | 7(0.9) | 4(0.6) | 23(0.8) |
| 其他气体 | 2(0.5) | 0(0) | 2(0.4) | 11(1.5) | 2(0.3) | 17(0.6) |
| 其他类中毒 | 3(0.8) | 8(1.2) | 9(1.6) | 6(0.8) | 7(1) | 33(1.1) |
| 清洁用品 | 0(0) | 4(0.6) | 4(0.7) | 4(0.5) | 3(0.4) | 15(0.5) |
| 不明原因 | 1(0.3) | 2(0.3) | 2(0.4) | 0(0) | 0(0) | 5(0.2) |
| 其他化学品 | 1(0.3) | 1(0.2) | 2(0.4) | 2(0.3) | 4(0.6) | 10(0.3) |
| 混合毒物 | 1(0.3) | 1(0.2) | 1(0.2) | 0(0) | 0(0) | 3(0.1) |
图 2所示,急性酒精中毒在2022年略有回落,但此后持续上升,整体呈增长态势。动物类中毒病例数较2020年有所增加,其中蜂蜇伤与蛇咬伤呈同步上升趋势,其他动物所致中毒病例有所减少。药物类中毒总体呈上升趋势,其各二级诊断类型的发病数均较2020年增加。农药中毒中百草枯中毒病例数相对较少,其他类型农药中毒呈现上升趋势。植物类中毒以2023年最多,主要因该年度蘑菇中毒病例数较多所致。气体类中毒同样在2023年最为高发,与当年其他类型气体中毒病例增多有关。
|
| 注:A为急性中毒一级诊断类型;B为急性中毒二级诊断类型 图 2 重庆市万州区2020—2024年急性中毒年度变化趋势 Fig 2 Temporal trends of acute poisoning in Wanzhou District, Chongqing, 2020–2024 |
|
|
本研究显示,急性酒精中毒好发于1月,动物类中毒集中于6~10月高发(图 3A)。由于上述两类中毒的病例数显著多于其他类型,剔除后进一步分析发现,植物中毒在10月呈现明显高峰,而其他类型中毒未见月份集中现象(图 3B)。动物类中毒的二级诊断分型与其一级诊断的发病时间分布相似,高发期集中于5~10月(图 3C)。植物类中毒的二级诊断中,蘑菇中毒主要集中于6~10月,而乌头类及其他植物中毒未表现出明显的月份聚集性(图 3D)。
|
| 注:A为急性中毒一级诊断月度分布;B为急性中毒一级诊断(除外急性酒精中毒与动物类中毒)月度分布;C为动物类中毒二级诊断月度分布;D为植物类中毒二级诊断月度分布 图 3 重庆市万州区2020—2024年急性中毒月度分布情况 Fig 3 Monthly distribution of acute poisoning in Wanzhou District, Chongqing, 2020–2024 |
|
|
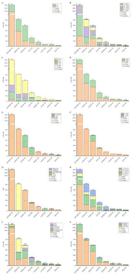
性别与年龄分层结果显示,急性酒精中毒与动物类中毒以男性为主,药物类、农药、植物类及其他类中毒多见于女性,急性酒精中毒好发于20~60岁人群,20岁以下人群为药物类中毒不可忽视的发病群体,且学生群体与其他职业相比在职业分层中差异有统计学意义(图 4A~4C)。农药与鼠药中毒以农村人口居多,药物类、农药及鼠药中毒多为蓄意自杀,此外,药物与农药中毒还是同时接触2种及以上毒物的主要类型(图 4D~4F)。除农药与其他类中毒途径较为多样外,其余类型中毒途径相对单一(图 4G)。植物类中毒就诊时间多超过2 h,其他类型中毒多在2 h内就诊(图 4H)。农药中毒患者中120入院、入住ICU和急诊死亡的比例均较高(图 4I、4J)。
|
| 注:A为性别分层;B为年龄分层;C为职业分层;D为住址分层;E为中毒原因分层;F为毒物种类分层;G为中毒途径分层;H为就诊时间分层;I为急诊转归分层;J为来院途径分层;图中标注同一字母表示组间比较差异无统计学意义,标注不同字母表示组间比较差异有统计学意义 图 4 重庆市万州区2020—2024年急性中毒分层分布 Fig 4 Stratified distribution of acute poisoning in Wanzhou District, Chongqing, 2020–2024 |
|
|
急性中毒是急诊医学的重要内容,是急诊科常见疾病之一,严重危害公众健康与社会安全[9]。我国突发中毒事件卫生应急信息平台数据显示,2016—2022年急性中毒病例排名前5位的分别为农药(30.4%)、药物(22.4%)、工业/日用化学品(20.4%)、动物(13.7%)和真菌(6.9%)[10],但该数据未包含急性酒精中毒病例。通过整合我国其他大型研究发现[11-13],急性酒精中毒仍然是我国急性中毒的最常见类型,这与本研究结果[1 809例(59.6%)]一致。本研究中,急性中毒的主要毒物类型还包括动物(16.8%)、药物(12.9%)、农药(5.1%)和植物(2.5%)。尽管此毒物谱系与国家平台数据[10]整体相似,但具体排序有所不同,这或许与当地独特的地理环境,如气候潮湿、山地丘陵广布及由此带来的丰富动植物多样性有关。
《2019年全球疾病负担研究》[14]显示,酒精滥用是导致伤残调整寿命年的第九大危险因素,在所有年龄段中占比达3.7%,且在1990—2019年增幅高达37%。特别值得注意的是,饮酒已成为25~49岁人群致残的首要危险因素,是该年龄段首位可预防的致病原因[14]。本研究中,急性酒精中毒位列2020—2024年急性中毒首位,主要集中于20~60岁年龄段,与上述结论一致。此外,本研究急性酒精中毒以1月发病人数最多,男性为主,可能与该月务工返乡人员增多和春节假期节日饮酒有关。研究显示,美国从2006—2014年因急性酒精中毒前往急诊科就诊人数激增47%,导致相关急诊费用暴涨272%[15],这对急诊医疗体系造成了重大冲击、严重增加了急诊医疗负担。此外,急性酒精中毒还是交通事故、行人受伤、暴力事件、自杀未遂、跌倒或车祸造成颅脑损伤的主要原因,这些事件往往伴随着严重的创伤后残疾和死亡[16]。因此,预防急性酒精中毒的发生意义重大。
本研究中,动物中毒(510例)为万州区第2位急性中毒原因,其中,蜂蜇伤455例,占比高达89.2%,为急性动物中毒的主要原因。此外,蛇咬伤43例(8.4%),蜈蚣等其他动物咬伤12例(2.4%)。蜂蜇伤多发生于山区,发生率较低、受到的关注较少,但近年发病率有上升趋势,病死率较高,可诱发严重过敏反应、脑卒中、心肌梗死、严重凝血功能障碍、代谢性酸中毒、脓毒性休克、多器官功能障碍而死亡[17]。同时,我国还是蛇类资源最丰富国家之一,据不完全统计,我国每年约发生25~28万例毒蛇咬伤,4~10月多发[18]。本研究发现,近年蜂蜇伤与蛇咬伤病例数逐渐增多,多发生于5~10月,与上述结论一致。这可能与当地以山地丘陵地形为主、林木茂密、气候潮湿、5~10月动物活动频繁、人们田间劳作时间较长和防护意识不足等有关,提醒媒体及相关政府部门在该时间段应加强动物中毒防护与救治的科普宣传,并充足配备抗蛇毒血清等特效救治药物。
本研究共统计药物类中毒391例,包括抗精神病药物95例(24.3%)、镇静催眠药物61例(15.6%)及包含解热镇痛药、抗生素、不明成分中药及自制药酒等其他药物中毒235例(60.1%),其中,以自制药酒占多数。药物中毒是我国急性中毒的主要毒物类型之一[10],方英莲等[11]通过分析21 155例急性中毒患者资料发现,抗精神病类药物中毒患者数量开始逐年增多,且患者群体趋向年轻化,这与本研究结论一致。这一现象提示,需进一步关注青少年心理健康,通过适当减轻其在考试、升学等方面面临的压力,缓解焦虑、抑郁等负面情绪。同时,应加强对相关药物的管控力度,限制其可及性,避免因获取途径便利导致药物在个人手中囤积,从而降低蓄意过量服药的风险。
本研究中,农药中毒的主要原因为自杀,多发生于农村人口,与其接触农药机会多有关。尽管随着百草枯禁售政策的实施,百草枯中毒人数较少,但其他类型农药中毒有上升趋势,这与合成化学工业的持续发展及新型农药的广泛使用有关,分层分析发现,农药中毒后ICU住院(70/156,44.87%)和急诊死亡(3/156,1.92%)比例较高,提示该类中毒病情重、预后差,需重点关注。万州区植物中毒以蘑菇中毒多见(53/77,68.8%),偶有乌头类生物碱、豆角、芦荟、夹竹桃叶及自采草药等中毒的发生,发生时间多在6~10月,与其自采自食野蘑菇有关。气体类中毒中,一氧化碳中毒最为常见(23/40, 57.5%),多发生于密闭环境内炭火取暖或木炭火锅使用等场景;其他中毒气体包括沼气、天然气以及含苯、油漆等成分的挥发性有机混合物。2023年该类中毒病例数显著上升,与一起职业暴露事件相关。鼠药中毒呈散发性,多因自杀行为导致。其他类中毒原因多样,主要涉及各类消毒剂(如草酸、戊二醛、含氯制剂和84消毒液)以及洁厕剂、油漆、卸妆水等日化产品,另有部分为不明成分毒物,多数为意外接触所致。急诊诊治数据表明,该地区急诊应用吸附剂和全肠道灌洗治疗的理念有待加强,以减少重金属、缓释药物、肠溶药物中毒或消化道藏毒品者的胃肠道吸收[19]。
本研究存在若干局限:(1)研究设计为回顾性,部分病例信息记录不完整可能对结果的精确性造成影响;(2)数据来源未覆盖乡镇卫生院等基层医疗机构,可能导致部分中毒病例未被纳入,影响疾病谱的完整性;(3)中毒诊断主要依据临床表现而非实验室毒物检测,存在毒物类型误判的风险。未来需整合更多层级医疗机构的资源,推进毒物检测技术的普及与应用,以获取更全面的流行病学数据,为临床诊疗提供更精准的依据。
利益冲突 所有作者声明无利益冲突
作者贡献声明 续国武、柳树林、周文静:研究设计与实施,文稿撰写,数据整理,统计分析;黄磊、王宗东、向可佳、李娟、张华:数据收集、整理与质量控制;王力军、余慕明、靳衡:数据整理与分析、解释;柴艳芬、王爱军、王晋祥:研究设计、论文修改、经费支持
| [1] | 薛祥, 孙兆瑞, 聂时南. 急性中毒诊治进展和面临的挑战[J]. 中华急诊医学杂志, 2024, 33(3): 276-280. DOI:10.3760/cma.j.issn.1671-0282.2024.03.002 |
| [2] | World Health Organization. Guidelines for establishing a poison centre [EB/OL]. (2021-01-14)[2025-09-30]. https://www.who.int/publications/i/item/9789240009523. |
| [3] | World Health Organization. The public health impact of chemicals: knowns and unknowns [EB/OL]. (2016-05-23) [2025-09-30]. https://www.who.int/publications/i/item/WHO-FWC-PHE-EPE-16-01. |
| [4] | 国家卫生健康委员会. 中国卫生健康统计年鉴. 2024[M]. 北京: 中国协和医科大学出版社, 2025. |
| [5] | 乔莉, 张劲松, 陈建荣, 等. 1965例急性中毒多中心前瞻性临床流行病学调查[J]. 中华急诊医学杂志, 2016, 25(11): 1376-1380. DOI:10.3760/cma.j.issn.1671-0282.2016.11.005 |
| [6] | Brandenburg R, Brinkman S, de Keizer NF, et al. The need for ICU admission in intoxicated patients: a prediction model[J]. Clin Toxicol, 2017, 55(1): 4-11. DOI:10.1080/15563650.2016.1222616 |
| [7] | Lindqvist E, Edman G, Hollenberg J, et al. Long-term mortality and cause of death for patients treated in Intensive Care Units due to poisoning[J]. Acta Anaesthesiol Scand, 2019, 63(4): 500-505. DOI:10.1111/aas.13289 |
| [8] | Telayneh AT, Habtegiorgis SD, Birhanu MY, et al. Mortality of acute poisoning and its predictors in Ethiopia: a systematic review and meta-analysis[J]. Heliyon, 2024, 10(8): e29741. DOI:10.1016/j.heliyon.2024.e29741 |
| [9] | 高艳霞, 孙同文. 中国急性中毒十年研究回顾与展望[J]. 中华急诊医学杂志, 2023, 32(3): 282-287. DOI:10.3760/cma.j.issn.1671-0282.2023.03.002 |
| [10] | 张驭涛, 蒋绍锋, 郎楠, 等. 2016—2022年中国急性中毒病例流行病学特征及毒物类型构成分析[J]. 中华流行病学杂志, 2024, 45(10): 1376-1382. DOI:10.3760/cma.j.cn112338-20240507-00240 |
| [11] | 方英莲, 蒲艳, 钟加菊, 等. 21 155例急性中毒患者流行病学及预后影响因素分析[J]. 中华急诊医学杂志, 2025, 34(3): 376-381. DOI:10.3760/cma.j.issn.1671-0282.2025.03.014 |
| [12] | 刘圣娣, 何斌, 张劲松, 等. 我国2012—2016年急性中毒流行病学概况分析[J]. 临床急诊杂志, 2018, 19(8): 528-532. DOI:10.13201/j.issn.1009-5918.2018.08.008 |
| [13] | 樊凰玉, 毕正琴, 徐聪秀, 等. 南昌市某三甲医院2 217例急性中毒患者流行病学分析[J]. 江西医药, 2024, 59(10): 987-990. DOI:10.3969/j.issn.1006-2238.2024.10.021 |
| [14] | GBD 2019 Risk Factors Collaborators. Global burden of 87 risk factors in 204 countries and territories, 1990-2019: a systematic analysis for the Global Burden of Disease Study 2019[J]. Lancet, 2020, 396(10258): 1223-1249. DOI:10.1016/S0140-6736(20)30752-2 |
| [15] | White AM, Slater ME, Ng G, et al. Trends in alcohol-related emergency department visits in the United States: results from the nationwide emergency department sample, 2006 to 2014[J]. Alcohol Clin Exp Res, 2018, 42(2): 352-359. DOI:10.1111/acer.13559 |
| [16] | Mirijello A, Sestito L, Antonelli M, et al. Identification and management of acute alcohol intoxication[J]. Eur J Intern Med, 2023, 108: 1-8. DOI:10.1016/j.ejim.2022.08.013 |
| [17] | 中国毒理学会中毒与救治专业委员会, 中华医学会湖北省急诊医学分会, 湖北省中毒与职业病联盟. 胡蜂螫伤规范化诊治中国专家共识[J]. 中华危重病急救医学, 2018, 30(9): 819-823. DOI:10.3760/cma.j.issn.2095-4352.2018.09.001 |
| [18] | 中华医学会急诊医学分会, 国家急诊质控中心, 中国医师协会急诊医师分会, 等. 中国蛇伤救治指南[J]. 中华急诊医学杂志, 2024, 33(7): 891-906. DOI:10.3760/cma.j.issn.1671-0282.2024.07.005 |
| [19] | 中国医师协会急诊医师分会, 中国毒理学会中毒与救治专业委员会. 急性中毒诊断与治疗中国专家共识[J]. 中华急诊医学杂志, 2016, 25(11): 1361-1375. DOI:10.3760/cma.j.issn.1671-0282.2016.11.004 |
2026, Vol. 35



