2. 广东医科大学附属阳江医院急诊科, 阳江 529500
2. Department of Emergency Diagnosis, Yangjiang Hospital affiliated to Guangdong Medical University, Yangjiang 529500, China
全球每年约有500万人被毒蛇咬伤,其中8~13万人死亡[1],2017年世卫组织将毒蛇咬伤纳入A类被忽视的热带病名单,需优先被关注[2-3]。在我国每年毒蛇咬伤人数约10万,其中竹叶青毒蛇在肇事蛇中占比可达33%~56%[4],成为主要致伤蛇之一。竹叶青毒蛇属于蝰科蝮亚科管状牙小型蛇,多集中分布在南方两广地区,常出没于夏秋季夜间[4]。该蛇蛇毒以血循毒为主[5],单次排毒量仅5.1 mg,而致死量需达到100 mg[6],因此患者全身症状较轻,但少数患者由于就医不及时延误病情,最终出现多器官衰竭死亡,对人们生产生活、生命健康安全产生严重影响。抗蛇毒血清是目前毒蛇咬伤的首选、唯一、有效的治疗手段,单价抗竹叶青的抗蛇毒血清尚未生产使用,临床上常使用抗蝮蛇毒血清及抗五步蛇毒血清治疗竹叶青咬伤[7]。然目前竹叶青咬伤抗蛇毒血清的应用研究较少,且抗蛇毒血清用量尚需更多的研究验证[8]。本研究通过分析竹叶青蛇伤住院患者的基本信息、临床特征、血清方案与用量等信息,以Lasso回归分析筛选变量,依据结果进行Logistic回归分析筛选独立预测变量,对比不同模型之间的特征后筛选最合适的模型,最终以列线图的形式直观呈现竹叶青蛇伤患者抗蛇毒血清用量>3支的预测模型。从而探索竹叶青蛇伤的抗蛇毒血清用量的影响因素,为临床治疗提供参考。
1 资料与方法 1.1 研究对象回顾性选取2021年10月31日至2024年11月1日广东医科大学附属阳江医院(阳江市人民医院)急诊综合病区收治的165名竹叶青蛇毒蛇咬伤患者,均完成规范化血清治疗,且达到治愈标准后出院,治疗过程中所使用的血清均由上海赛伦生物技术有限公司提供。根据患者治疗期间使用抗蛇毒血清总量(是否>3支)分为两组。本研究中所采用的纳入标准:(1)明确的竹叶青毒蛇接触史;(2)符合《中国蛇伤救治指南》中毒蛇咬伤的诊断标准;(3)接受抗蛇毒血清治疗的患者。排除标准包括:(1)存在与病情无关的严重认知障碍者;(2)既往存在严重基础病、肿瘤或严重器官功能障碍者;(3)抗蛇毒血清严重过敏者、正在使用其他药物与抗蛇毒血清冲突者及因其他原因未能完成血清治疗患者;(4)治疗顺应性差不配合治疗者;(5)病历信息缺失者。本研究经阳江市人民医院伦理委员会批准(NO:20230124),由于研究的回顾性质,豁免知情同意的要求。
1.2 临床资料收集人口学特征包括年龄和性别;基础疾病包括高血压、糖尿病及冠心病病史;入院时的体温、心率、呼吸频率、收缩压、舒张压、平均动脉压及指脉氧;入院后24 h内即刻测定白细胞(white blood cell,WBC)、血红蛋白(hemoglobin,HGB)、血小板计数(platelet count,PLT)、丙氨酸氨基转移酶(alanine transaminase,ALT)、天门冬氨酸氨基转移酶(aspartate aminotransferase,AST)、肌酐(creatinine,CR)、肌酸激酶(creatine kinase,CK)、肌酸激酶同工类酶(creatine kinase isoenzyme,CK-MB)、活化部分凝血活酶时间(activated partial thromboplastin time,APTT)、凝血酶原时间(prothrombin time,PT)、D-二聚体(D-Dimer,DD)、纤维蛋白原(fibrinogen,FIB)、纤维蛋白原降解产物(fibrin degradation products,FDP)、血浆鱼精蛋白副凝试验(plasma protamin paracoagulation test,3P-test)等;评分系统包括蛇咬伤严重程度评分(snakebite severity scale, SSS)。
规范化治疗:所有患者均参考了《2018年的中国蛇伤救治专家共识》的指导意见及本院蛇伤救治中心的诊疗经验进行规范化治疗:入院后立即予抗蛇毒血清皮试,阴性后根据患者严重程度酌情予2 000 U~4 000 U静脉滴注;皮试阳性者予脱敏治疗;过敏者予抗过敏处理;静脉滴注血清后6~8 h复查凝血功能及观察局部肿胀情况,按需继续追加血清;予破伤风预防。
出院标准:患者患肢肿胀消退,对比健侧肢体无明显肿胀;出院前最后一次凝血功能指标均已恢复正常值。
1.3 质量控制局部肿胀程度定义:0度:无肿胀;Ⅰ度:局部肿胀皮纹正常且范围未超过半个肢体;Ⅱ度:患者肿胀皮纹变浅、消失或范围超过半个肢体;Ⅲ度:患者皮纹变浅、消失且范围超过半个肢体;Ⅳ度:局部肿胀出现水泡或超过整个肢体。
疼痛程度定义:0度:无疼痛;Ⅰ度:压痛、肢体活动时疼痛,无静息痛;Ⅱ度:静止时疼痛,且疼痛与肿胀范围基本一致;Ⅲ度:静息时疼痛,且伴有患侧淋巴区疼痛;Ⅳ度:全身多处疼痛,且严重影响睡眠。
血清方案定义:单一方案:治疗过程中仅使用抗五步蛇蛇毒血清;联合方案:治疗过程中联合使用抗五步蛇蛇毒血清与抗蝮蛇蛇毒血清。
个人资料、既往病史、疾病相关资料、实验室检查指标均由研究人员通过询问患者或查询病例资料获取。患者局部肿胀程度与疼痛程度分别由3名研究人员评定,2名以上研究人员评定一致方可确认。所有信息均经过校正且双人录入,信息输入完毕后随机抽查8%进行校准,不合格率≤0.5%,数据采集准确、可靠。
1.4 统计学方法采用SPSS 25.0软件进行统计学分析,计量资料采用K-S检验并明确正态分布,以均数±标准差(x±s)表示,两组间比较采用独立样本t检验,非正态分布以M(IQR)表示, 两组间比较采用Z检验;计数资料以(n, %)表示,两组间比较采用检验;Lasso—Logistic回归分析筛选独立影响因素,采用R4.2.0构建列线图预测模型;绘制受试者工作特征曲线(receiveroperatingcharacteristic,ROC)并计算曲线下面积(areaundercurve,AUC);采用R4.2.0软件绘制校准曲线用于评估预测结果与实际结果一致性,并绘制决策曲线(decisioncurveanalysis,DCA)分析列线图预测模型临床效用性,以P<0.05为差异有统计学意义。
2 结果 2.1 一般资料共纳入165名符合研究标准的竹叶青毒蛇咬伤住院患者,所有患者均有完整病历资料,男性86名,女性79名,年龄在18~78岁,年龄54.22±14.03岁,共使用血清649支,每人使用3.93±1.76支,根据使用抗蛇毒血清总剂量分组,总剂量≤3支组71例,总剂量>3支94例。
2.2 分组资料比较165例竹叶青蛇伤患者中,抗蛇毒血清使用总剂量≤3支组与总剂量>3支组患者进行比较,其中,年龄、性别、咬伤至入院时长、入院时间段、有无基础病、咬伤部位、体温、脉搏、收缩压、舒张压、HGB、PLT、CR、ALT、AST、CK、CK-MB、APTT、PT之间差异无统计学意义(P > 0.05);肿胀程度、疼痛程度、血清方案、3P-test、WBC、FIB、FDP、D-D之间差异均有统计学意义(P < 0.05)。见表 1。
| 指标 | ≤3支组(n=71) | >3支组(n=94) | t/z/χ2值 | P值 |
| 男a | 43(60.56) | 43(45.74) | 3.56 | 0.059 |
| 年龄(岁)b | 55(21.5) | 56.5(18.75) | 1.02 | 0.308 |
| 有基础病a | 40 (56.34) | 40 (42.55) | 3.08 | 0.079 |
| 咬伤至入院时间(h)b | 2.00(2.00) | 2.00(3.00) < | -1.42 | 0.156 |
| 入院时间段a | 4.81 | 0.186 | ||
| 06时—12时 | 13 (18.31) | 28 (29.79) | ||
| 12时—18时 | 15 (21.13) | 14 (14.89) | ||
| 18时—24时 | 34 (47.89) | 46 (48.94) | ||
| 00时—06时 | 9 (12.68) | 6 (6.38) | ||
| 咬伤部位a | 2.51 | 0.474 | ||
| 左手 | 15 (21.13) | 22 (23.40) | ||
| 右手 | 29 (40.85) | 30 (31.91) | ||
| 左足 | 15 (21.13) | 22 (23.40) | ||
| 右足 | 10 (14.08) | 21 (22.34) | ||
| 肿胀程度a | 25.47 | < 0.001 | ||
| Ⅰ度 | 35 (49.30) | 13 (13.83) | ||
| Ⅱ度 | 30 (42.25) | 61 (64.89) | ||
| Ⅲ度 | 6 (8.45) | 20 (21.28) | ||
| 疼痛程度a | 10.01 | 0.007 | ||
| Ⅰ度 | 53 (74.65) | 48 (51.06) | ||
| Ⅱ度 | 16 (22.54) | 37 (39.36) | ||
| Ⅲ度 | 2 (2.82) | 9 (9.57) | ||
| 单一血清方案a | 50 (70.42) | 45 (47.87) | 8.42 | 0.004 |
| 3P-test阳性a | 45 (63.38) | 77 (81.91) | 7.21 | 0.007 |
| 体温(℃)b | 36.6 (0.3) | 36.6 (0.4) | -1.10 | 0.271 |
| 脉搏(次/min)b | 77.0 (13) | 79.5 (17.5) | -0.98 | 0.328 |
| 收缩压(mmHg)b | 140 (29) | 139 (30.75) | -0.51 | 0.608 |
| 舒张压(mmHg)b | 87.0 (17) | 90.5 (13.75) | -1.42 | 0.155 |
| WBC(×109/L)b | 7.09 (3.35) | 8.78 (4.55) | -3.83 | < 0.001 |
| HGB(g/L) b | 136.00 (25.5) | 136.50 (20.75) | -0.84 | 0.402 |
| PLT(×109/L)c | 219.01 ± 55.24 | 225.23 ± 78.23 | -0.60 | 0.550 |
| CR(μmol/L) b | 73 (24.00) | 68 (18.75) | -1.44 | 0.149 |
| ALT(U/L) b | 20.00 (16.1) | 20.50 (12.57) | -0.23 | 0.816 |
| AST(U/L)) b | 23.00 (9.65) | 22.75 (6.00) | -0.27 | 0.788 |
| CK(U/L) b | 138 (85.50) | 121 (111.25) | -0.91 | 0.364 |
| CK-MB(U/L) b | 18.80 (6.30) | 19.05 (7.67) | -0.43 | 0.665 |
| APTT(s) b | 24.3 (4.7) | 23.8 (4.5) | -0.39 | 0.700 |
| PT(s) b | 10.7 (0.85) | 10.6 (1.15) | -0.32 | 0.750 |
| FIB(g/L) b | 2.65 (0.89) | 2.44 (0.95) | -2.40 | 0.016 |
| FDP(μg/mL) b | 4.58 (9.49) | 8.21 (22.34) | -2.28 | 0.023 |
| D-D(μg/mL) b | 0.28 (0.38) | 0.44 (0.69) | -2.60 | 0.009 |
| 注:WBC为白细胞计数,HGB为血红蛋白,PLT为血小板计数、ALT为丙氨酸氨基转移酶,AST为天门冬氨酸氨基转移酶,CR为肌酐,CK为肌酸激酶,CK-MB为肌酸激酶同工类酶,APTT为活化部分凝血活酶时间,PT为凝血酶原时间,D-D为D-二聚体,FIB为纤维蛋白原,FDP为纤维蛋白原降解产物,3P-test为血浆鱼精蛋白副凝试验,SSS为蛇咬伤严重程度评分,a为n%,b为M(IQR),c为x±s,t: t-test, Z: Mann-Whitney test, χ2: Chi-square test | ||||
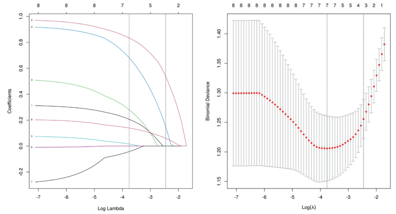
以竹叶青蛇伤患者治疗中抗蛇毒血清用量是否>3支为因变量,共纳入8个自变量:肿胀程度、疼痛程度、血清方案、3P-test、WBC、FIB、FDP、D-D,按照表 2赋值方法,采用R4.2.3软件中glmnet4.1.8进行Lasso分析,最小均方误差的λ为0.023,最终所纳入的变量为疼痛程度、肿胀程度、血清方案、3P-test、WBC、FIB及D-D共7个变量。
| 变量 | 赋值 |
| 因变量 | |
| 血清使总剂量分组 | 总剂量≤3支=0,总剂量>3支=1 |
| 自变量 | |
| 肿胀程度 | Ⅰ度=1,Ⅱ度=2,Ⅲ度=3 |
| 疼痛程度 | Ⅰ度=1,Ⅱ度=2,Ⅲ度=3 |
| 血清方案 | 单一方案=0,联合方案=1 |
| 3P-test | 阴性=0,阳性=1 |
| WBC | 连续变量,原值代入 |
| FIB | 连续变量,原值代入 |
| FDP | 连续变量,原值代入 |
| D-D | 连续变量,原值代入 |
| 注:3P-test为血浆鱼精蛋白副凝试验,WBC为白细胞计数,FIB为纤维蛋白原,FDP为纤维蛋白原降解产物,D-D为D-二聚体 | |
|
| 图 1 抗蛇毒血清用量>3支的LASSO回归模型危险因素筛选 Fig 1 Screening for risk factors in the > 3 dose group with antivenom using the LASSO binary logistic regression model |
|
|
以竹叶青蛇伤患者治疗使用抗蛇毒血清用量是否>3支为因变量,将Lasso回归筛选出的相关因素作为自变量,通过Logistic进行单因素回归分析(如表 3)显示,疼痛程度、肿胀程度、血清方案、3P-test、WBC、FIB均为抗蛇毒血清用量是否>3支的影响因素(P < 0.05)。
| 变量 | β | S.E | Z值 | P值 | OR (95%CI) |
| 肿胀程度 | |||||
| Ⅰ度 | 1.00 (Reference) | ||||
| Ⅱ度 | 1.70 | 0.39 | 4.32 | < .001 | 5.47 (2.53 ~ 11.85) |
| Ⅲ度 | 2.19 | 0.57 | 3.87 | < .001 | 8.97 (2.95 ~ 27.30) |
| 疼痛程度 | |||||
| Ⅰ度 | 1.00 (Reference) | ||||
| Ⅱ度 | 0.94 | 0.36 | 2.61 | 0.009 | 2.55 (1.26 ~ 5.17) |
| Ⅲ度 | 1.60 | 0.81 | 1.99 | 0.047 | 4.97 (1.02 ~ 24.15) |
| 联合血清方案 | 0.95 | 0.33 | 2.87 | 0.004 | 2.59 (1.35 ~ 4.97) |
| 3P-test阳性 | 0.96 | 0.36 | 2.64 | 0.008 | 2.62 (1.28 ~ 5.34) |
| WBC | 0.24 | 0.06 | 3.72 | < .001 | 1.27 (1.12 ~ 1.44) |
| FIB | -0.51 | 0.21 | -2.43 | 0.015 | 0.60 (0.40 ~ 0.91) |
| FDP | 0.02 | 0.01 | 2.19 | 0.028 | 1.02 (1.01 ~ 1.03) |
| D-D | 0.12 | 0.09 | 1.33 | 0.182 | 1.13 (0.94 ~ 1.35) |
| 注:3P-test为血浆鱼精蛋白副凝试验,WBC为白细胞计数,FIB为纤维蛋白原,FDP为纤维蛋白原降解产物,D-D为D-二聚体 | |||||
通过Lasso回归分析可发现模型纳入的最佳变量数量为7、5、4,利用Logistic回归分析后发现最终筛选出的6个影响因素作为预测变量,分别纳入筛选后的所有变量、5个变量及4个变量作为预测因素,利用R语言以竹叶青蛇伤患者治疗使用抗蛇毒血清总剂量是否>3支为预测目标构建预测模型,并比较所有模型的曲线下面积(AUC)、特异度、敏感度,结果如表 4所示。最终选取以肿胀程度、疼痛程度、WBC及FIB4个指标进行构建的竹叶青蛇伤患者治疗使用抗蛇毒血清总剂量的预测模型,如图 2。
| 模型 | AUC (95%CI) | 敏感度(95%CI) | 特异度(95%CI) |
| 纳入6个影响因素的模型 | |||
| 肿胀程度+疼痛程度+血清方案+3P-test +WBC+FIB | 0.79 (0.73~0.86) | 0.85 (0.76 ~ 0.93) | 0.64 (0.54 ~ 0.74) |
| 纳入5个影响因素的模型 | |||
| 肿胀程度+疼痛程度+血清方案+3P-test +WBC | 0.79 (0.72~0.86) | 0.83 (0.74 ~ 0.92) | 0.64 (0.54 ~ 0.74) |
| 肿胀程度+疼痛程度+血清方案+3P-test +FIB | 0.77 (0.70~0.85) | 0.83 (0.74 ~ 0.92) | 0.64 (0.54 ~ 0.74) |
| 肿胀程度+疼痛程度+血清方案+WBC+FIB | 0.79 (0.73~0.86) | 0.80 (0.71 ~ 0.90) | 0.66 (0.56 ~ 0.76) |
| 肿胀程度+疼痛程度+3P-test +WBC+FIB | 0.78 (0.71~0.85) | 0.61 (0.49 ~ 0.72) | 0.84 (0.77 ~ 0.91) |
| 疼痛程度+血清方案+3P-test +WBC+FIB | 0.75 (0.68~0.83) | 0.82 (0.73 ~ 0.91) | 0.60 (0.50 ~ 0.69) |
| 肿胀程度+血清方案+3P-test +WBC+FIB | 0.79 (0.72~0.86) | 0.85 (0.76 ~ 0.93) | 0.64 (0.54 ~ 0.74) |
| 纳入4个影响因素的模型 | |||
| 肿胀程度+疼痛程度+血清方案+3P-test | 0.77 (0.70~0.84) | 0.70 (0.60 ~ 0.81) | 0.71 (0.62 ~ 0.80) |
| 肿胀程度+疼痛程度+血清方案+WBC | 0.79 (0.72~0.86) | 0.80 (0.71 ~ 0.90) | 0.66 (0.56 ~ 0.76) |
| 肿胀程度+疼痛程度+3P-test +WBC | 0.78 (0.71~0.85) | 0.62 (0.51 ~ 0.73) | 0.83 (0.75 ~ 0.91) |
| 肿胀程度+ 血清方案+3P-test +WBC | 0.79 (0.72~0.86) | 0.86 (0.78 ~ 0.94) | 0.64 (0.54 ~ 0.74) |
| 疼痛程度+血清方案+3P-test +WBC | 0.75 (0.68~0.83) | 0.89 (0.81 ~ 0.96) | 0.51 (0.41 ~ 0.61) |
| 肿胀程度+疼痛程度+血清方案+FIB | 0.77 (0.70~0.84) | 0.75 (0.65 ~ 0.85) | 0.70 (0.61 ~ 0.79) |
| 肿胀程度+血清方案+3P-test +FIB | 0.77 (0.69~0.84) | 0.80 (0.71 ~ 0.90) | 0.63 (0.53 ~ 0.73) |
| 疼痛程度+血清方案+3P-test +FIB | 0.72 (0.64~0.80) | 0.75 (0.65 ~ 0.85) | 0.61 (0.51 ~ 0.71) |
| 肿胀程度+疼痛程度+3P-test +FIB | 0.73 (0.66~0.81) | 0.58 (0.46 ~ 0.69) | 0.84 (0.77 ~ 0.91) |
| 肿胀程度+疼痛程度+WBC+FIB | 0.78 (0.71~0.85) | 0.70 (0.60 ~ 0.81) | 0.74 (0.66 ~ 0.83) |
| 肿胀程度+3P-test+WBC+FIB | 0.77 (0.70~0.85) | 0.62 (0.51 ~ 0.73) | 0.83 (0.75 ~ 0.91) |
| 疼痛程度+3P-test+WBC+FIB | 0.74 (0.66~0.82) | 0.62 (0.51 ~ 0.73) | 0.81 (0.73 ~ 0.89) |
| 肿胀程度+血清方案+WBC+FIB | 0.79 (0.72~0.86) | 0.65 (0.54 ~ 0.76) | 0.81 (0.73 ~ 0.89) |
| 疼痛程度+血清方案+WBC+FIB | 0.74 (0.66~0.82) | 0.77 (0.68 ~ 0.87) | 0.66 (0.56 ~ 0.76) |
| 血清方案+3P-test +WBC+FIB | 0.74 (0.66~0.82) | 0.75 (0.65 ~ 0.85) | 0.61 (0.51 ~ 0.71) |
| 注:3P-test为血浆鱼精蛋白副凝试验,WBC为白细胞计数,FIB为纤维蛋白原 | |||
|
| 图 2 竹叶青蛇伤的抗蛇毒血清用量的预测模型 Fig 2 A prediction model for antivenom dosage of Trimeresurus stejnegeri snakebite |
|
|
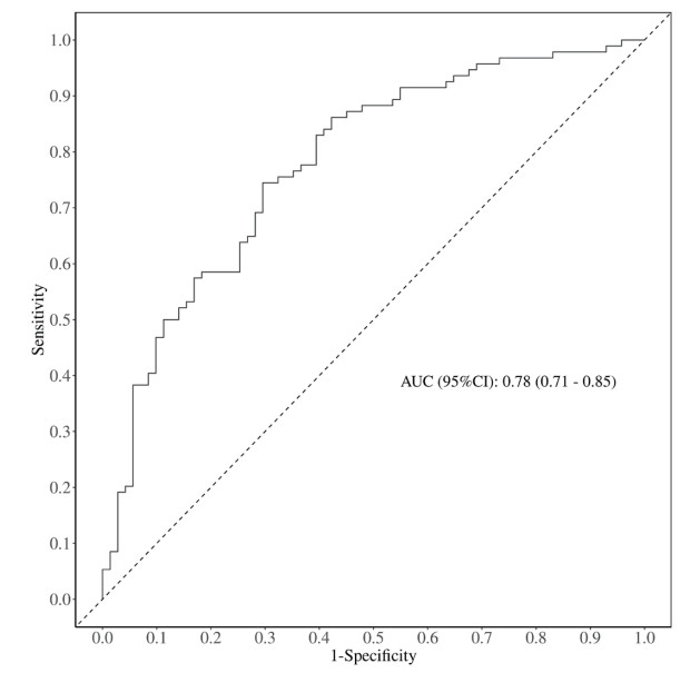
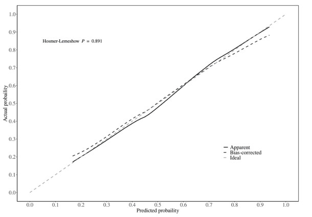
绘制列线图预测模型的ROC曲线(图 3)、校准曲线(图 4)及DCA(图 5),由图可知,该模型预测竹叶青蛇伤患者治疗使用抗蛇毒血清总剂量的是否超过3支的AUC为0.78 (95%CI: 0.71~0.85),预测敏感度、特异度分别为70.42%、74.47%,具有一定的预测效能;校准曲线显示该模型预测竹叶青蛇伤患者使用抗蛇毒血清总剂量超过3支的校准度良好,模型与实际观测结果有较好的一致性,Hosmer-Lemeshow检验P值为0.891,提示该模型具有较高拟合度;DCA显示该模型具有明显的正向净收益,在预测竹叶青蛇伤患者治疗使用抗蛇毒血清用量>3支的发生风险方面拥有良好的临床效用。
|
| 图 3 列线图预测模型的ROC曲线 Fig 3 ROC curves of the prediction model |
|
|
|
| 图 4 列线图预测模型的校准曲线 Fig 4 Calibration curve of the prediction model |
|
|
|
| 图 5 列线图预测模型的DCA曲线 Fig 5 DCA curve of the prediction model |
|
|
本研究经Lasso-Logistic回归分析发现肿胀程度、疼痛程度、血清方案、3P-test、WBC及FIB均为竹叶青蛇伤患者使用抗蛇毒血清用量>3支的影响因素。竹叶青蛇毒成分复杂,是一种由有毒多肽、酶、以及无机成分组成的混合毒物[9-10],主要成分有C型凝集素、类凝血酶、纤溶酶、透明质酸酶、金属蛋白酶及磷脂酶A2等多种毒素[11],竹叶青蛇伤中毒后的肿胀、疼痛表现多是因为其中透明质酸、金属蛋白酶及磷脂酶A2等成分具有较强的蛋白水解酶活性,破坏血管壁,引起局部组织血液循环和淋巴回流障碍,导致血管通透性增加,血液外渗,使患肢肿胀、疼痛甚至组织坏死[12]。有研究发现患者的局部肿胀程度会影响患者的生存质量和心理健康状态,同时患肢的长时间肿胀疼痛也使其社会价值下降[13]。此外以C型凝集素、类凝血酶、纤溶酶为代表的血循毒素进入人体后通过使纤维蛋白原及血小板发生聚集,并将凝血酶原转化为凝血酶,触发短暂的高凝状态。在毒素持续作用下造成机体纤溶、凝血、抗凝的失衡,引起蛇毒诱发的消耗性凝血病[14]。有学者在竹叶青动物试验中发现实验组小香猪的PLT和FIB等含量降低,PT延长[15],WBC、ALT及D-D水平升高[16],这也提示了D-D、FIB是判断竹叶青蛇伤严重程度的重要因素,或可成为抗蛇毒血清用量>3支预测模型的预测因素。2024年《中国蛇伤救治指南》[17]提出3P-test可用于提示血液类毒蛇咬伤,但其阳性结果对于蛇咬伤严重程度评估与指导血清使用的临床价值仍有待商榷。本研究中竹叶青咬伤患者的3P-test阳性率为73.94%,使用抗蛇毒血清用量>3支的患者中3P-test阳性率高达81.91%,而未超过3支的患者中的3P-test阳性率63.38%,有较为明显差距,对于抗蛇毒血清使用有一定指导意义。本研究对所有患者的FIB与3P-test进行Eta检验,发现其Phi值为0.844(> 0.5)具有强相关性,然FIB作为定量数据更适合作为预测变量。
抗蛇毒血清是毒蛇咬伤的最有效安全的治疗方法,2024年《中国蛇伤救治指南》中提出抗蛇毒血清的使用应当遵循“尽早足量、及时追加、同种专一、异种联合”原则,对于竹叶青蛇伤中毒应优先使用抗五步蛇毒血清[17]。有多项研究发现抗五步蛇毒血清和抗蝮蛇毒血清均对竹叶青蛇伤患者有一定的疗效,而抗五步蛇毒血清能更好地改善患者的凝血功能,并发症少,治疗时间缩短[18-19]。另有研究对比了单用抗五步蛇血清方案、单用抗蝮蛇血清方案及联合两种抗蛇毒血清对于竹叶青蛇伤患者的治疗效果,发现抗五步蛇蛇毒血清优先级最高,联合方案显著优于单用抗蝮蛇毒血清方案[20]。本研究在筛选预测变量过程用发现联合方案较单一抗五步蛇血清方案会造成抗蛇毒血清使用总剂量的增加,并对比列举的22个预测模型中纳入血清方案的16个模型的特异度均<0.66,占比达81.25%,因此最终未选择血清方案作为预测变量纳入预测模型。
列线图,具有可视化、图像化的特点[21]。本研究依据Lasso-Logistic回归分析筛选变量,对比不同变量组合后的模型特征[22],构建最佳列线图模型,同时本研究采用ROC曲线验证该模型预测标准化治疗竹叶青蛇伤患者使用抗蛇毒血清用量>3支发生概率为78%,提示该模型对竹叶青蛇伤抗蛇毒血清用量>3支的发生有鉴别能力强。DCA曲线中净获益达86%,说明模型在临床预测竹叶青蛇伤血清用量>3支的决策有实际价值。
综上所述,肿胀程度、疼痛程度、血清方案、3P-test、WBC及FIB为竹叶青蛇伤患者使用抗蛇毒血清用量>3支的影响因素,依据上述影响因素建立22个预测模型,对比模型的特征,最终选取“肿胀程度+疼痛程度+WBC+FIB”模型预测竹叶青蛇伤抗蛇毒血清用量>3支,临床医师可依据该预测模型筛选使用抗蛇毒血清>3支的患者,并指导竹叶青蛇伤患者的临床救治工作。本研究模型仅适用于竹叶青蛇伤咬伤的普通人群,而对于儿童、孕妇及严重基础病患者等特殊人群,尚需进一步探究。
利益冲突 所有作者声明无利益冲突
作者贡献声明 郭栓柱:研究设计、统计学分析、论文撰写和修改;庄烁峰、陈锦:负责数据收集及整理;李天星:研究设计、论文审阅及修改
| [1] | Ren MH, Malecela MN, Cooke E, et al. WHO's snakebite envenoming strategy for prevention and control[J]. Lancet Glob Health, 2019, 7(7): e837-e838. DOI:10.1016/S2214-109X(19)30225-6 |
| [2] | The Lancet. Snake-bite envenoming: a priori ty neglected tropical disease[J]. Lancet, 2017, 390(10089): 2. DOI:10.1016/S0140-6736(17)31751-8 |
| [3] | 颜时姣, 胡燕兰, 王选岩, 等. 中国蛇伤诊疗现状与展望[J]. 中华急诊医学杂志, 2024, 33(3): 281-285. DOI:10.3760/cma.j.issn.1671-0282.2024.03.003 |
| [4] | 黄培颖, 曾仲意, 刘强, 等. 竹叶青蛇咬伤的流行病学调查及院前影响因素分析[J]. 临床急诊杂志, 2020, 21(5) 393-396, 401. DOI:10.13201/j.issn.1009-5918.2020.05.012 |
| [5] | 罗毅, 张剑锋, 李其斌, 等. 竹叶青属毒蛇的毒理机制与临床治疗新进展[J]. 蛇志, 2019, 31(4): 446-449. DOI:10.3969/j.issn.1001-5639.2019.04.002 |
| [6] | 包水明, 周亚平. 我国主要毒蛇及其毒性、排毒量和蛇伤救治[J]. 江西教育学院学报(自然科学), 1997, 18(6): 51-52. |
| [7] | 任婕, 林起庆, 袁梓萌. 抗蛇毒血清在临床中的应用概况[J]. 蛇志, 2021, 33(3): 264-268. DOI:10.3969/j.issn.1001-5639.2021.03.005 |
| [8] | 李鹤. 竹叶青蛇咬伤临床诊治新进展[J]. 蛇志, 2021, 33(4) 387-388, 400. DOI:10.3969/j.issn.1001-5639.2021.04.005 |
| [9] | Wisner A, Braud S, Bon C. Snake venom proteinases as tools in hemostasis studies: structure-function relationship of a plasminogen activator purified from Trimeresurus stejnegeri venom[J]. Haemostasis, 2001, 31(3/4/5/6): 133-140. DOI:10.1159/000048056 |
| [10] | Seifert SA, Armitage JO, Sanchez EE. Snake envenomation[J]. N Engl J Med, 2022, 386(1): 68-78. DOI:10.1056/nejmra2105228 |
| [11] | 邓疆渝, 和七一, 文浩平, 等. 竹叶青属毒蛇的毒素研究进展[J]. 生物学杂志, 2011, 28(2) 83-86, 97. DOI:10.3969/j.issn.2095-1736.2011.02.083 |
| [12] | 王缓缓. 血清TNF-α、IL-1、IL-6及hs-CRP水平与竹叶青蛇伤患者肢体肿胀及病情严重程度的相关性研究[D]. 福州: 福建中医药大学, 2015. |
| [13] | 蔡明菊, 聂岸柳, 苏湘芬, 等. 竹叶青蛇咬伤患者肢体肿胀消退时间及生存质量研究[J]. 蛇志, 2021, 33(2): 128-131. DOI:10.3969/j.issn.1001-5639.2021.02.003 |
| [14] | 梁剑宁, 唐荣德, 张跃, 等. 凝血功能在毒蛇咬伤治疗前后变化规律的研究[J]. 国际检验医学杂志, 2015, 36(12): 1653-1655. DOI:10.3969/j.issn.1673-4130.2015.12.006 |
| [15] | 莫财锋, 程晓阳, 廖明, 等. 竹叶青蛇咬伤广西巴马小香猪动物模型的构建与评价[J]. 中国组织工程研究, 2021, 25(11): 1688-1692. |
| [16] | 莫财锋. 竹叶青蛇咬伤猪模型的构建及血清和尿液代谢组学研究[D]. 南宁: 广西医科大学, 2021. DOI: 10.27038/d.cnki.ggxyu.2021.000552. |
| [17] | 中华医学会急诊医学分会, 国家急诊质控中心, 中国医师协会急诊医师分会, 等. 中国蛇伤救治指南[J]. 中华急诊医学杂志, 2024, 33(7): 891-906. DOI:10.3760/cma.j.issn.1671-0282.2024.07.005 |
| [18] | 邓佳亮, 潘益辉, 苏君. 抗蝮蛇毒血清与抗五步蛇毒血清对竹叶青蛇咬伤患者凝血功能及炎症指标的影响[J]. 蛇志, 2024, 36(3): 285-288. |
| [19] | 韩建, 钟桂红, 詹安南. 不同蛇毒血清对竹叶青蛇咬伤后凝血功能的影响[J]. 深圳中西医结合杂志, 2021, 31(21): 101-103. DOI:10.16458/j.cnki.1007-0893.2021.21.040 |
| [20] | 蔡婷婷, 李天星, 叶曜衢, 等. 竹叶青蛇咬伤中毒抗蛇毒血清的选用与优化探讨[J]. 蛇志, 2021, 33(2): 121-124. DOI:10.3969/j.issn.1001-5639.2021.02.001 |
| [21] | Zhou ZR, Wang WW, Li Y, et al. In-depth mining of clinical data: the construction of clinical prediction model with R[J]. Ann Transl Med, 2019, 7(23): 796. DOI:10.21037/atm.2019.08.63 |
| [22] | Collins GS, Reitsma JB, Altman DG, et al. Transparent reporting of a multivariable prediction model for individual prognosis or diagnosis (TRIPOD): the TRIPOD statement[J]. BMJ, 2015, 350: g7594. DOI:10.1136/bmj.g7594 |
2025, Vol. 34



