2. 华北理工大学附属医院神经外科, 唐山 063007
2. Neurosurgery Department, Affiliated Hospital of North China University of Science and Technology, Tangshan 063007, China
自发性脑出血(spontaneous intracerebral hemorrhage, sICH)是脑卒中中最严重的一种类型,具有致死率高、致残率高的特点,早期病死率可达52%[1],是常见的急危重症疾病之一。目前sICH患者入院后,临床往往采用格拉斯哥昏迷量表(Glasgow coma scale, GCS)评估预后情况[2],但是评价指标未考虑瞳孔因素,且无法较好的判断重症患者死亡情况[3]。格拉斯哥-瞳孔(Glasgow coma scale-pupil, GCS-P)评分结合以上两点重要特征,在保留评估迅速、便捷性的同时,拓展了GCS评分,使得能更准确的判断急危重症患者的预后情况。乳酸同样是判断sICH患者重要的预后指标[4],但目前缺乏有关GCS-P评分联合乳酸水平预测sICH患者短期预后的相关研究,本研究旨在探索GCS-P评分联合乳酸水平对sICH患者短期预后的诊断效能,以期提供一种能准确、迅速和便捷的评估sICH患者预后方法,早期进行干预,改善患者预后。
1 资料与方法 1.1 研究对象回顾性收集2021年1月至2023年9月在华北理工大学附属医院急诊科收治的sICH的患者为研究对象,所有sICH患者均接受了相同的标准化治疗方案。
纳入标准:(1)符合自发性脑出血诊断标准[5];(2)发病6 h内完成头颅CT检查;(3)年龄≥18岁。排除标准:(1)外伤所致出血;(2)慢性肾病和肝病史的患者;(3)入院时有影响瞳孔检查的面部或眼部损伤(青光眼、白内障或视网膜脱离病史等)、既往义眼、动眼神经损伤等。本研究已通过伦理审批(伦理审查批准号:2023088)。
1.2 研究方法 1.2.1 GCS-P评分GCS-P定义为GCS评分减去瞳孔反应性评分[6]。瞳孔反应性分数用于反映无反应性瞳孔的数量。瞳孔反应赋分如下:两侧瞳孔均对光无反应,得分为2;一侧瞳孔对光无反应,得分为1;两侧瞳孔均对光有反应,得分为0。
1.2.2 观察指标患者于急诊科就诊后立即收集患者临床资料,包括性别、年龄、生命体征(体温、呼吸、心率、血压)、实验室指标(白细胞计数、红细胞计数、血小板计数、动脉乳酸、血糖水平)、疾病史(高血压病、糖尿病、冠心病和脑卒中等)及急诊评分(GCS评分、GCS-P评分),采用ABL80 FLEX血气分析仪(丹麦雷度米特医疗设备有限公司,丹麦)电极法检测动脉乳酸水平;使用URIT-2981全自动血细胞分析仪(杭州艾康生物技术有限公司,中国杭州)分析血常规;采用Indiko Plus全自动生化分析仪(美国赛默飞世尔科技公司,美国)测定电解质、血糖水平。
血肿体积采用CT检查使用ABC/2公式测量,其中A、B和C代表 3个垂直轴上最大血肿水平的尺寸[7]。影像科CT为PHILIPS Brilliance 256排螺旋CT(PHILIPS公司,以色列)。
1.2.3 预后评估患者脑出血发生后30 d时,以复诊或电话形式随访根据患者生存情况将患者分为生存组和死亡组。根据GCS将疾病严重程度分为轻度(13~15分)、中度(9~12分)、重度(5~8分)、极重度(GCS: 3~4分;GCS-P: 1~4分)。
1.3 统计学方法采用SPSS 27.0、R4.3.2统计学软件对数据进行分析。正态分布计量资料以均数±标准差(x±s)表示,采用独立样本t检验;非正态分布计量资料以中位数(四分位数)[M(Q1, Q3],采用非参数检验。计数资料用例数(%)表示,采用检验,采用分割法对病死率进行两两比较。使用方差膨胀因子(variance inflation factor, VIF)检验分析多重共线性,以确定变量之间的高度相关性。当VIF大于5时,协变量被认为具有多重共线性,因此在多因素Logistic回归删除GCS评分避免多重共线性的影响。
采用单因素分析筛选出P < 0.05的变量,在LASSO回归中进一步验证,并将相关指标纳入二元Logistic回归模型,分析影响sICH患者预后不良的独立危险因素,绘制受试者工作特性(receiver operating characteristic, ROC)曲线,评价GCS-P评分对sICH患者3个月预后不良的预测价值使用“glmnet”包进行LASSO回归并通过10次交叉验证,得出的最佳惩罚参数λ值对应的最优影响因素。采用DeLong分析比较AUC评估的诊断准确性。以P < 0.05为差异有统计学意义。
2 结果 2.1 临床资料根据纳入及排除标准,共纳入512例患者,其中生存组235例,死亡组277例。死亡组患者入院心率、血糖、乳酸水平高于生存组,且GCS评分及GCS-P评分低于生存组(均P < 0.05);死亡组高血压病、脑卒中患病人数高于生存组(均P < 0.05)。两组患者性别、年龄、体温、呼吸、红细胞计数、血小板计数、糖尿病患病人数,均差异无统计学意义(均P > 0.05)。见表 1。
| 指标 | 总体(n=512) | 生存组(n=235) | 死亡组(n=277) | 统计值 | P值 |
| 基本资料 | |||||
| 男/女(例数) | 350/162 | 165/70 | 185/92 | 0.690 | 0.406 |
| 年龄(岁)a | 60.37±14.41 | 59.56±13.78 | 61.03±14.81 | 1.150 | 0.251 |
| 生命体征b | |||||
| 体温(℃) | 36.7(36.4, 37.0) | 36.7(36.4, 37.0) | 36.7(36.4, 37.0) | -0.426 | 0.670 |
| 呼吸(次/min) | 19(16, 22) | 18(16, 21) | 19(16, 22) | -1.207 | 0.227 |
| 心率(次/min) | 86(72, 100) | 82(70, 98) | 86(74, 104) | -2.349 | 0.019 |
| 收缩压(mmHg) | 174(150, 199) | 172(149, 198) | 177(150, 200) | -0.891 | 0.373 |
| 舒张压(mmHg) | 97(83, 108) | 96 (83, 107) | 98 (84, 109) | -0.858 | 0.391 |
| 疾病史c | |||||
| 高血压 | 208(40.63) | 84(16.41) | 124(44.78) | 4.289 | 0.038 |
| 糖尿病 | 388(75.78) | 186(79.15) | 202(72.92) | 2.684 | 0.101 |
| 冠心病 | 173(33.79) | 75(31.91) | 98(35.38) | 0.682 | 0.409 |
| 脑卒中 | 325(63.48) | 133(56.60) | 192(69.31) | 8.871 | 0.003 |
| 实验室检查b | |||||
| 白细胞计数(×109/L) | 11.8(9.0, 15.0) | 11.5(9.0, 14.5) | 12.1(9.1, 15.5) | -1.787 | 0.074 |
| 红细胞计数(×1012/L) | 4.46(4.05, 4.93) | 4.46(4.11, 4.95) | 4.46(3.99, 4.92) | -0.502 | 0.616 |
| 血小板计数(×109/L) | 225(184, 275) | 226(184, 279) | 224(184, 275) | -0.526 | 0.599 |
| 血糖(mmol/L) | 8.73(6.71, 11.39) | 7.48(6.33, 9.77) | 9.61(7.51, 12.47) | -6.602 | < 0.001 |
| 动脉乳酸(mmol/L) | 1.6(0.9, 2.7) | 1.0(0.7, 1.9) | 1.9(1.2, 3.2) | -8.231 | < 0.001 |
| 出血部位c | 7.610 | 0.006 | |||
| 小脑幕上 | 280(54.69) | 144(61.28) | 136(49.10) | ||
| 小脑幕下 | 232(45.31) | 91(38.72) | 141(50.90) | ||
| 出血量(mL) | 30(15, 59.46) | 26(15, 46.4) | 31.41(14.75, 60.45) | -1.729 | 0.084 |
| 急诊评分b | |||||
| GCS评分(分) | 6.0(4.0, 8.0) | 8.0(6.0, 11.0) | 5.0(3.0, 6.0) | -9.748 | < 0.001 |
| GCS-P评分(分) | 4.0(2.0, 7.0) | 6.0(4.5, 11.0) | 3.0(1.0, 4.0) | 11.140 | < 0.001 |
| 注:a为(x±s),b为M(Q1, Q3),c为(例,%);GCS评分为格拉斯哥评分,GCS-P评分为格拉斯哥-瞳孔评分 | |||||
病死率随着疾病严重程度逐渐升高,sICH患者GCS-P分级为极重度组的病死率高于重度组患者,差异具有统计学意义(P < 0.05);GCS-P、GCS分级为重度组患者病死率均高于中度组患者,差异具有统计学意义(P < 0.05);而sICH患者GCS-P、GCS中度组患者病死率和轻度组患者之间差异无统计学意义(P > 0.05)。
| 严重程度 | GCS | GCS-P | |||||
| 生存(n=235) | 死亡(n=277) | 病死率(%) | 生存(n=235) | 死亡(n=277) | 病死率(%) | ||
| 轻度 | 44 | 9 | 16.98 | 44 | 5 | 10.20 | |
| 中度 | 59 | 15 | 20.27 | 53 | 8 | 13.12 | |
| 重度 | 83 | 155 | 65.13a | 80 | 57 | 41.61a | |
| 极重度 | 49 | 98 | 66.67 | 58 | 207 | 78.11a | |
| 注:a表示采用分割法两两比较,P < 0.05 | |||||||
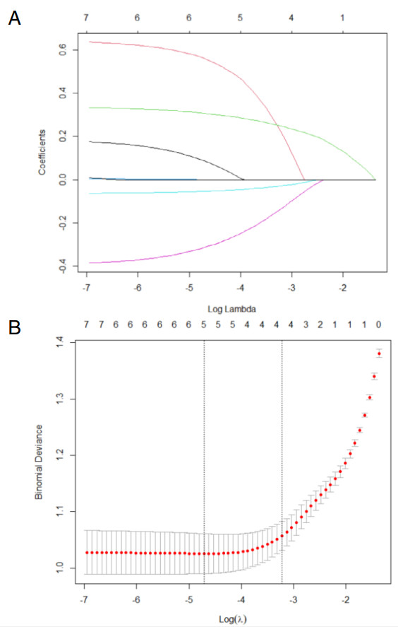
为进一步探讨GCS-P对预后的影响,采用LASSO回归分析显示GCS-P是死亡的独立危险因素,见图 1。二元Logistic结果显示,GCS-P评分(OR=1.400,95%CI: 1.297~1.512,P < 0.001)、动脉乳酸水平(OR=0.674,95%CI: 0.567~0.800,P < 0.001)、血糖和脑卒中病史是预后的独立危险因素(均P < 0.05)。
|
| A:LASSO回归筛选变量动态过程图;B:交叉验证最佳惩罚系数的选择过程图 图 1 sICH患者的LASSO回归分析 Fig 1 LASSO regression analysis in patients with spontaneous intracerebral hemorrhage |
|
|
| 项目 | 回归系数 | 标准误 | Wald值 | OR值 | 95%CI | P值 |
| GCS-P | 0.337 | 0.039 | 73.467 | 1.400 | 1.297~1.512 | < 0.001 |
| 动脉乳酸 | -0.395 | 0.088 | 20.278 | 0.674 | 0.567~0.800 | < 0.001 |
| 血糖 | -0.065 | 0.031 | 4.298 | 0.938 | 0.882~0.996 | 0.038 |
| 心率 | 0.003 | 0.005 | 0.429 | 1.003 | 0.993~1.014 | 0.512 |
| 出血部位 | 0.022 | 0.226 | 0.010 | 1.023 | 0.657~1.592 | 0.921 |
| 高血压 | 0.185 | 0.234 | 0.628 | 1.204 | 0.761~1.904 | 0.428 |
| 脑卒中 | 0.646 | 0, 244 | 6.988 | 1.908 | 1.182~3.080 | 0.008 |
| 注:GCS-P为格拉斯哥-瞳孔评分 | ||||||
以sICH患者死亡为状态变量,GCS、GCS-P、乳酸、GCS-P联合乳酸为检验变量绘制ROC曲线,两两比较结果显示,GCS-P联合乳酸的AUC明显高于其余因素(P < 0.001),GCS-P评分高于GCS评分及乳酸单独指标(P < 0.001、P=0.019)。见表 4、图 2。
| 指标 | AUC | 95%CI | P值 | 特异度 | 敏感度 | 截断值 |
| 乳酸(mmol/L) | 0.711 | 0.662~0.755 | < 0.001 | 0.545 | 0787 | 1.1 |
| GCS评分(分) | 0.748 | 0.703~0.793 | < 0.001 | 0.702 | 0.787 | 6.5 |
| GCS-P评分(分) | 0.783 | 0.741~0.826 | < 0.001 | 0.685 | 0.845 | 5.5 |
| GCS-P评分联合乳酸 | 0.819 | 0.783~0.856 | < 0.001 | 0.804 | 0.708 | - |
| 注:GCS评分为格拉斯哥评分,GCS-P评分为格拉斯哥-瞳孔评分 | ||||||
|
| 图 2 预测sICH患者30 d死亡的ROC曲线 Fig 2 ROC curves for predicting 30-day death in patients with sICH |
|
|
sICH是一种致死率和致残率高的疾病,患者30 d病死率可高达52%[8],预后受多种因素影响,其中包括GCS评分、乳酸水平和基础疾病情况等。目前,尽管GCS评分在判断sICH患者的病情和预后时取得了一定效果[9-10],但研究显示,GCS并非每个部分的评分都有助于患者预后的判断,Cevik等[11]表明患者言语反应条目得分对预后的判断效果较好,而GCS现有的睁眼反应和运动反应条目在评估重症患者时会出现“地板效应”。随着研究深入,研究者发现瞳孔反应性可以较好的预测sICH患者预后情况[12],可用于拓展GCS评分。
Brennan等[6]首次提出将瞳孔反应性与GCS评分进行算术组合形成GCS-P评分,其针对患者预后的预测效能优于单独的GCS及瞳孔反应。此后一些学者对此进行了进一步验证,表明其可以较好的反映患者病情严重程度及短期预后情况[13-14]。本研究结果显示,GCS-P评分可以较好的预测sICH患者脑出血后30 d死亡(OR=1.400,95%CI: 1.297~1.512,P < 0.001),预测sICH患者30 d病死率的AUC为0.783(P < 0.001,95%CI: 0.741~0.825),最佳截断值为5.5分,敏感度为68.5%,特异度为84.5%。与GCS评分相比AUC差异有统计学意义(P < 0.05),表明其针对sICH患者30 d病死率的预测效能优于GCS评分。
GCS-P评分可以较准确地判断重症sICH患者预后情况。Maye等[15]研究结果显示GCS-P的预测效果可以将病死率从GCS评分为3分时的51%提高至GCS-P评为1分时的74%。本研究结果显示GCS-P评分可以较好的区分预测重度患者死亡情况,GCS-P评为极重度患者的病死率78.11%高于重度患者41.61%(P < 0.05),而GCS评分则不能较好的区分重度和极重度患者死亡情况(P > 0.05),分析其原因可能是,部分重症患者当中由于血肿量较大,或幕下出血导致对脑干等部位的压迫效应较为明显,而介导瞳孔对光反射的副交感神经分支的脑干和中脑中心对压迫效应较为敏感[16],进而导致患者瞳孔对光反射通路障碍[17],动眼神经麻痹,瞳孔散大,对光反射消失。因此GCS-P可以更好的评估重症sICH患者的生存状况。
研究表明,入院乳酸水平升高与患者死亡、神经功能恶化等独立相关[18-19]。Lehmann等[20]研究发现入院乳酸水平 > 1.8 mmol/L是sICH患者3个月住院病死率的独立危险因素(OR=2.9,95%CI: 1.1~7.4,P=0.025);此外,Bender等[21]研究发现sICH患者乳酸水平≥1.72 mmol/L时心肺功能明显恶化。本研究结果显示,动脉乳酸水平是影响sICH患者30 d死亡的独立危险因素(OR=0.674,95%CI: 0.567~0.800,P < 0.001),分析其原因可能为sICH急性期血肿压迫导致下丘脑或脑干功能障碍,导致神经源性损伤,组织缺氧,此外sICH急性期间导致机体处于应激状态,大量肾上腺素分泌也会诱导葡萄糖代谢增加,进一步导致丙酮酸和乳酸的增加[22],同时sICH患者还易出现脓毒血症等临床并发症,可进一步增加乳酸水平[23]。因此动脉乳酸水平可以较好的评估sICH患者生存状况。本研究结果显示,GCS-P评分联合乳酸预测sICH患者30 d预后死亡的AUC为0.819,(95%CI: 0.783~0.856,P < 0.01),与GCS-P和乳酸单独相比预测效能更高。
但本研究尚存在不足:(1)本研究为单中心研究,存在一定的偏移,仍需进一步开展多中心、前瞻性研究以期减少偏倚;(2)本研究仅将患者30 d生存情况作为预后指标,应进一步研究GCS-P联合动脉乳酸水平与患者功能恢复状况的相关性。
综上所述,本研究发现GCS-P评分联合动脉乳酸水平可迅速、便捷地预测sICH患者30 d预后情况,具有较好的临床价值,有助于急诊医护人员早期识别sICH预后不良的患者,以便于早期干预积极改善患者预后。
利益冲突 所有作者声明无利益冲突
作者贡献声明 车腾雨:研究设计、实施研究、数据收集、文章撰写;吕磊、贺鑫:数据收集及整理;成杰:研究设计、论文修改;赵旭:文章修改、质量控制
| [1] | Zille M, Farr TD, Keep RF, et al. Novel targets, treatments, and advanced models for intracerebral haemorrhage[J]. EBioMedicine, 2022, 76: 103880. DOI:10.1016/j.ebiom.2022.103880 |
| [2] | Øie LR, Madsbu MA, Solheim O, et al. Functional outcome and survival following spontaneous intracerebral hemorrhage: a retrospective population-based study[J]. Brain Behav, 2018, 8(10): e01113. DOI:10.1002/brb3.1113 |
| [3] | Oddo M, Taccone FS, Petrosino M, et al. The neurological pupil index for outcome prognostication in people with acute brain injury (ORANGE): a prospective, observational, multicentre cohort study[J]. Lancet Neurol, 2023, 22(10): 925-933. DOI:10.1016/S1474-4422(23)00271-5 |
| [4] | Wu DJ, Shen SY, Luo DM. Association of lactate-to-albumin ratio with in-hospital and intensive care unit mortality in patients with intracerebral hemorrhage[J]. Front Neurol, 2023, 14: 1198741. DOI:10.3389/fneur.2023.1198741 |
| [5] | 中华医学会神经病学分会, 中华医学会神经病学分会脑血管病学组. 中国脑出血诊治指南(2019)[J]. 中华神经科杂志, 2019, 52(12): 994-1005. DOI:10.3760/cma.j.issn.1006-7876.2019.12.003 |
| [6] | Brennan PM, Murray GD, Teasdale GM. Simplifying the use of prognostic information in traumatic brain injury. part 1: the GCS-pupils score: an extended index of clinical severity[J]. J Neurosurg, 2018, 128(6): 1612-1620. DOI:10.3171/2017.12.JNS172780 |
| [7] | Divani AA, Majidi S, Luo XH, et al. The ABCs of accurate volumetric measurement of cerebral hematoma[J]. Stroke, 2011, 42(6): 1569-1574. DOI:10.1161/STROKEAHA.110.607861 |
| [8] | 邢晶晶, 俞忠, 王成雨, 等. BAT评分对自发性脑出血患者预后的预测价值研究[J]. 中华急诊医学杂志, 2022, 31(2): 241-246. DOI:10.3760/cma.j.issn.1671-0282.2022.02.019 |
| [9] | Ratcliff JJ, Hall AJ, Porto E, et al. Early minimally invasive removal of intracerebral hemorrhage (ENRICH): study protocol for a multi-centered two-arm randomized adaptive trial[J]. Front Neurol, 2023, 14: 1126958. DOI:10.3389/fneur.2023.1126958 |
| [10] | Kim ISY, Balogun OO, Prescott BR, et al. Quantitative pupillometry and radiographic markers of intracranial midline shift: a pilot study[J]. Front Neurol, 2022, 13: 1046548. DOI:10.3389/fneur.2022.1046548 |
| [11] | Cevik AA, Alao DO, Alyafei E, et al. Those who speak survive: the value of the verbal component of GCS in trauma[J]. Eur J Trauma Emerg Surg, 2023, 49(2): 837-842. DOI:10.1007/s00068-022-02153-0 |
| [12] | Mader MM, Piffko A, Dengler NF, et al. Initial pupil status is a strong predictor for in-hospital mortality after aneurysmal subarachnoid hemorrhage[J]. Sci Rep, 2020, 10(1): 4764. DOI:10.1038/s41598-020-61513-1 |
| [13] | Balakrishnan B, VanDongen-Trimmer H, Kim I, et al. GCS-pupil score has a stronger association with mortality and poor functional outcome than GCS alone in pediatric severe traumatic brain injury[J]. Pediatr Neurosurg, 2021, 56(5): 432-439. DOI:10.1159/000517330 |
| [14] | Wang YM, Zhu N, Zhou YM, et al. The combination of arterial lactate level with GCS-pupils score to evaluate short term prognosis in traumatic brain injury: a retrospective study[J]. BMC Neurol, 2022, 22(1): 430. DOI:10.1186/s12883-022-02970-1 |
| [15] | Maye H, Waqar M, Colombo F, et al. External validation of the GCS-pupils score as an outcome predictor after traumatic brain injury in adults: a single-center experience[J]. Acta Neurochir, 2023, 165(2): 289-297. DOI:10.1007/s00701-022-05431-3 |
| [16] | Mazhar K, Olson DM, Atem FD, et al. Supratentorial intracerebral hemorrhage volume and other CT variables predict the neurological pupil index[J]. Clin Neurol Neurosurg, 2021, 200: 106410. DOI:10.1016/j.clineuro.2020.106410 |
| [17] | Ishikawa M. Clinical factors affecting pupillary light reflex parameters: a single-centre, cross-sectional study[J]. Ophthalmic Physiol Opt, 2021, 41(5): 952-960. DOI:10.1111/opo.12858 |
| [18] | Liu Y, Yang SS, Cai EL, et al. Functions of lactate in the brain of rat with intracerebral hemorrhage evaluated with MRI/MRS and in vitro approaches[J]. CNS Neurosci Ther, 2020, 26(10): 1031-1044. DOI:10.1111/cns.13399 |
| [19] | Gicheru B, Shah J, Wachira B, et al. The diagnostic accuracy of an initial point-of-care lactate at the emergency department as a predictor of in-hospital mortality among adult patients with sepsis and septic shock[J]. Front Med, 2023, 10: 1173286. DOI:10.3389/fmed.2023.1173286 |
| [20] | Lehmann F, Schenk LM, Schneider M, et al. Predictive relevance of baseline lactate and glucose levels in patients with spontaneous deep-seated intracerebral hemorrhage[J]. Brain Sci, 2021, 11(5): 633. DOI:10.3390/brainsci11050633 |
| [21] | Bender M, Haferkorn K, Nagl J, et al. Serum lactate as serum biomarker for cardiopulmonary parameters within the first 24 hours after a spontaneous intracerebral hemorrhage[J]. Diagnostics, 2022, 12(10): 2414. DOI:10.3390/diagnostics12102414 |
| [22] | 孙峰, 张华忠, 梅勇, 等. 早期乳酸判断体外心肺复苏患者预后的研究[J]. 中华急诊医学杂志, 2022, 31(12): 1608-1611. DOI:10.3760/cma.j.issn.1671-0282.2022.12.006 |
| [23] | 李玉婷, 李洪祥, 张东. 脓毒性心肌病的发病率及危险因素分析[J]. 中华急诊医学杂志, 2019, 28(7): 836-840. DOI:10.3760/cma.j.issn.1671-0282.2019.07.006 |
2024, Vol. 33



